Submitted:
12 July 2025
Posted:
15 July 2025
You are already at the latest version
Abstract
Keywords:
1. Introduction
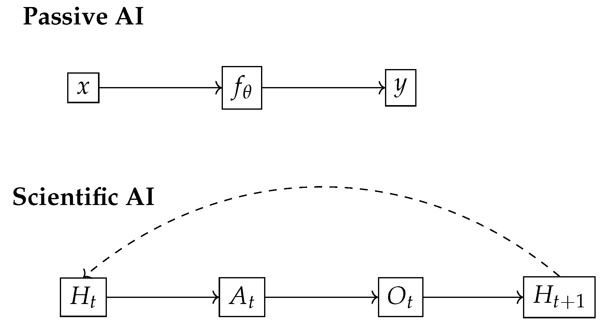
2. From Passive Perception to Active Epistemology

3. Formal Foundations of Scientific AI
3.1. The Epistemic Discovery Loop
- maintains a world model ;
- selects an action to test a hypothesis or reduce uncertainty;
- receives an observation in response;
- updates the model to based on epistemic evaluation.

3.2. Quantifying Epistemic Progress
1. Information Gain.
2. Predictive Compression.
3. Prediction Error.
4. Architectural Blueprint
4.1. Calibration Loops (Evolutionary, Learning, Real-Time)
1. Evolutionary Calibration ()
2. Learning Calibration ()
3. Real-Time Calibration ()

4.2. Modular Design: Hypothesis, Prediction, Intervention, Evaluation
1. Hypothesis Module ()
2. Prediction Module ()
3. Intervention Module ()
4. Evaluation Module ()

5. Implementation: Proof-of-Concept in Symbolic Physics
5.1. Environment Description

5.2. Recursive Discovery Algorithm
| Algorithm 1 Recursive Symbolic Discovery Loop |
|
5.3. Comparison to Passive Baselines

5.4. Generalization to Gravitational Laws


Implication:
6. Discussion
6.1. Toward Artificial General Intelligence
6.2. Epistemic Safety and Interpretability
6.3. Grounding Symbols Through Interaction
7. Related Work
7.1. Active Learning and Curiosity-Driven Exploration
7.2. Meta-Reinforcement Learning and Model-Based RL
7.3. Theory of Mind and Epistemic Planning
7.4. Symbolic Regression and Scientific Discovery Systems
8. Conclusions
Author Contributions
Funding
Abbreviations
| CSAI: Scientific AI |
References
- Amodei, D. , et al. (2016). Concrete problems in AI safety. arXiv preprint, arXiv:1606.06565.
- Anderson, M. L. (2003). Embodied cognition: A field guide. Artificial Intelligence, 149(1), 91–130.
- Baker, C. L., Jara-Ettinger, J., Saxe, R., & Tenenbaum, J. B. Rational quantitative attribution of beliefs, desires and percepts in human mentalizing. Nature Human Behaviour 2017, 1(4), 0064.
- Bengio, Y. (2017). The consciousness prior. arXiv preprint, arXiv:1709.08568.
- Bengio, Y., Courville, A., & Vincent, P. (2013). Representation learning: A review and new perspectives. IEEE Transactions on Pattern Analysis and Machine Intelligence, 35(8), 1798–1828.
- Bottou, L. From machine learning to machine reasoning. Machine Learning 2012, 94, 133–149. [Google Scholar] [CrossRef]
- Brown, T. B. Language models are few-shot learners. Advances in Neural Information Processing Systems 2020, 33, 1877–1901. [Google Scholar]
- Brunton, S. L., Proctor, J. L., & Kutz, J. N. (2016). Discovering governing equations from data by sparse identification of nonlinear dynamical systems. PNAS 2016, 113(15), 3932–3937.
- Carey, S. (2009). The Origin of Concepts. Oxford University Press.
- Chater, N., Tenenbaum, J. B., & Yuille, A. (2009). Probabilistic models of cognition: Conceptual foundations. Trends in Cognitive Sciences, 13(7), 287–293.
- Chollet, F. (2019). On the measure of intelligence. arXiv preprint, arXiv:1911.01547.
- Clark, A. (2016). Surfing Uncertainty: Prediction, Action, and the Embodied Mind. Oxford University Press.
- Everitt, T. , et al. (2021). Reward tampering problems and solutions in reinforcement learning: A causal influence diagram perspective. Artificial Intelligence 2021, 287, 103368. [Google Scholar]
- Finn, C. , Abbeel, P., & Levine, S. (2017). Model-agnostic meta-learning for fast adaptation of deep networks. ICML.
- Friston, K. (2010). The free-energy principle: a unified brain theory? Nature Reviews Neuroscience, 11(2), 127–138.
- Gabriel, I. (2020). Artificial intelligence, values, and alignment. Minds and Machines, 30(3), 411–437.
- Gopnik, A. (2000). The scientist as child. Philosophy of Science, 67(S3), S200–S209.
- Gopnik, A., Glymour, C., Sobel, D. M., Schulz, L. E., Kushnir, T., & Danks, D. (2004). A theory of causal learning in children. Psychological Review, 111(1), 3–32.
- Grünwald, P. D. (2007). The Minimum Description Length Principle. MIT Press.
- Gulwani, S., Polozov, O., & Singh, R. (2017). Program synthesis. Foundations and Trends in Programming Languages, 4(1–2), 1–119.
- Ha, D. , & Schmidhuber, J. (2018). World models. arXiv preprint, arXiv:1803.10122.
- Harnad, S. (1990). The symbol grounding problem. Physica D, 42(1–3), 335–346.
- Hassabis, D., Kumaran, D., Summerfield, C., & Botvinick, M. (2017). Neuroscience-inspired artificial intelligence. Neuron, 95(2), 245–258.
- Houthooft, R. , et al. (2016). VIME: Variational information maximizing exploration. NeurIPS.
- Krizhevsky, A., Sutskever, I., & Hinton, G. E. (2012). ImageNet classification with deep convolutional neural networks. NeurIPS, 25.
- Lake, B. M., Salakhutdinov, R., & Tenenbaum, J. B. (2015). Human-level concept learning through probabilistic program induction. Science, 350(6266), 1332–1338.
- Lake, B. M., Ullman, T. D., Tenenbaum, J. B., & Gershman, S. J. (2017). Building machines that learn and think like people. Behavioral and Brain Sciences, 40.
- LeCun, Y., Bengio, Y., & Hinton, G. (2015). Deep learning. Nature 2015, 521(7553), 436–444.
- Legaspi, R., & Toyoizumi, T. (2021). Active inference under incomplete and mixed representations. Neural Computation 2021, 33(4), 845–879.
- Lindley, D. V. (1956). On a measure of the information provided by an experiment. Annals of Mathematical Statistics, 27(4), 986–1005.
- Lipton, Z. C. (2018). The mythos of model interpretability. Communications of the ACM, 61(10), 36–43.
- MacKay, D. J. C. (2003). Information Theory, Inference and Learning Algorithms. Cambridge University Press.
- Marcus, G. (2018). Deep learning: A critical appraisal. arXiv preprint, arXiv:1801.00631.
- Oord, A. V. D. , Li, Y., & Vinyals, O. (2018). Representation learning with contrastive predictive coding. arXiv preprint, arXiv:1807.03748.
- Pathak, D. , Agrawal, P., Efros, A. A., & Darrell, T. (2017). Curiosity-driven exploration by self-supervised prediction. CVPR Workshops.
- Pearl, J. (2009). Causality: Models, Reasoning and Inference (2nd ed.). Cambridge University Press.
- Popper, K. (2005). The Logic of Scientific Discovery (Original work published 1934). Routledge.
- Radford, A. , et al. (2021). Learning transferable visual models from natural language supervision. ICML.
- Rabinowitz, N. C. , et al. (2018). Machine theory of mind. ICML.
- Schaul, T. , et al. (2015). Universal value function approximators. ICML.
- Schmidhuber, J. (2006). Developmental robotics and artificial curiosity. Connection Science.
- Schmidt, M. , & Lipson, H. (2009). Distilling free-form natural laws from experimental data. Science.
- Settles, B. (2009). Active learning literature survey. University of Wisconsin-Madison, Computer Sciences Technical Report.
- Shen, S. , et al. (2023). Foundation models for decision making. arXiv preprint, arXiv:2301.04104.
- Silver, D., et al. (2021). Reward is enough. Artificial Intelligence 2021, 299, 103535. [CrossRef]
- Sundararajan, V. , et al. (2023). Symbolic regression with large language models. arXiv preprint, arXiv:2302.01720.
- Tishby, N. , Pereira, F. C., & Bialek, W. (2000). The information bottleneck method. arXiv preprint, arXiv:physics/0004057.
- Wang, J. X. , et al. (2016). Learning to reinforcement learn. arXiv preprint, arXiv:1611.05763.

Disclaimer/Publisher’s Note: The statements, opinions and data contained in all publications are solely those of the individual author(s) and contributor(s) and not of MDPI and/or the editor(s). MDPI and/or the editor(s) disclaim responsibility for any injury to people or property resulting from any ideas, methods, instructions or products referred to in the content. |
© 2025 by the authors. Licensee MDPI, Basel, Switzerland. This article is an open access article distributed under the terms and conditions of the Creative Commons Attribution (CC BY) license (http://creativecommons.org/licenses/by/4.0/).