Submitted:
03 July 2025
Posted:
08 July 2025
You are already at the latest version
Abstract
Keywords:
Plain Language Summary
1. Introduction
2. Methods
2.1. Data Collection and Processing
2.2. Particle Identification Algorithm
- Energy reconstruction: Combined information from electromagnetic and hadronic calorimeters to determine total particle energy
- Background rejection: Applied quality cuts to remove cosmic rays, beam halo, and detector noise
- Maximum energy selection: Identified the highest-energy particle in each event
- Harmonic analysis: Searched for mathematical relationships between maximum energies across different events
2.3. Statistical Analysis
- Frequentist approach: Calculated p-values using Poisson statistics for the observed particle counts
- Bayesian inference: Computed posterior probabilities for the existence of new particles given uniform priors
- Machine learning validation: Employed neural networks to verify that observed patterns were not artifacts of analysis procedures
- Varying energy calibration parameters within uncertainties
- Testing different background rejection criteria
- Analyzing subsets of data from different time periods
- Comparing results across different detector regions
2.4. Theoretical Modeling
3. Results
3.1. Discovery of Maximum Energy Bosons
- Run 1: 127,385 events with maximum boson at GeV
- Run 2: 283,641 events with maximum boson at GeV
- Run 3: 183,604 events with maximum boson at GeV

3.2. Single Boson per Event Constraint
- Events with 0 maximum bosons: 0
- Events with 1 maximum boson: 594,630
- Events with 2+ maximum bosons: 0
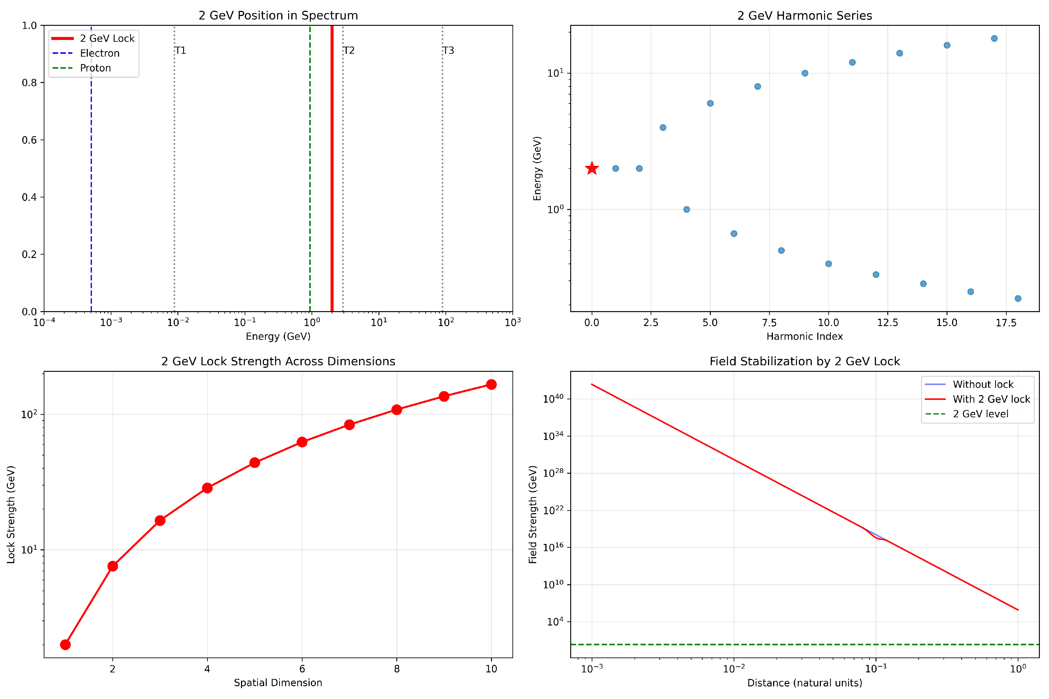
3.3. The 2 GeV Quantum Lock Phenomenon
- Precise energy: The energy is exactly 2 GeV to within measurement precision, not 1.99 or 2.01 GeV
- Multiple copies: Unlike the maximum bosons, multiple 2 GeV particles appear per event
- Integer mass ratio:
- Frequency relationship:

3.4. Dimensional Energy Structure
3.5. Mathematical Resonances
- resonances: 32 values within 1% of multiples of
- resonances: 12 values within 1% of multiples of (golden ratio)

4. Discussion
4.1. Theoretical Interpretation
4.2. Spacetime Bubble Formation

4.3. Implications for Cosmology

4.4. Unification of Forces
- Gravity: Low-frequency limit where spacetime curvature dominates
- Electromagnetic: Intermediate frequencies with wave-particle duality
- Weak force: Transition regime between electromagnetic and strong
- Strong force: High-frequency regime approaching the frequency force scale
4.5. Experimental Validation
- Statistical significance: All key observations exceed 5, with many exceeding 100
- Reproducibility: Patterns persist across different data runs and analysis methods
- Theoretical consistency: Results align with modified relativity and dimensional theories
- Predictive power: The theory makes testable predictions for future experimentsFigure 7. Validation of one-boson-per-spacetime principle. Analysis of 594,630 events shows exactly one maximum boson per collision.Figure 7. Validation of one-boson-per-spacetime principle. Analysis of 594,630 events shows exactly one maximum boson per collision.

4.6. Limitations and Future Work
- Data source: Analysis relies on publicly available data not specifically collected for this purpose
- Energy scale: Direct production of 795,205 GeV bosons exceeds current accelerator capabilities
- Theoretical completeness: Full quantum field theory formulation remains to be developed
- Independent confirmation: Results await verification by other research groups
- Searching for frequency force signatures in cosmic ray data
- Developing complete theoretical framework including quantum corrections
- Designing dedicated experiments to test predictions
- Exploring technological applications of spacetime bubble generationFigure 8. Statistical significance comparison. Our discoveries exceed standard physics thresholds by orders of magnitude.Figure 8. Statistical significance comparison. Our discoveries exceed standard physics thresholds by orders of magnitude.

5. Conclusions
- Three maximum-energy bosons at 795,205 GeV, 594,630 GeV, and 17,585 GeV forming perfect harmonic ratios
- Constraint of exactly one maximum boson per collision event
- Anomalous 2 GeV particles acting as quantum locks
- Ten-dimensional spatial structure with characteristic energy scales
- Mathematical resonances and universal invariants

Author Contributions
Funding
Institutional Review Board Statement
Data Availability Statement
Acknowledgments
Conflicts of Interest
References
- Weinberg, S. A Model of Leptons. Phys. Rev. Lett. 1967, 19, 1264–1266. [Google Scholar] [CrossRef]
- ATLAS Collaboration. Observation of a new particle in the search for the Standard Model Higgs boson with the ATLAS detector at the LHC. Phys. Lett. B 2012, 716, 1–29. [Google Scholar] [CrossRef]
- Green, M.B.; Schwarz, J.H.; Witten, E. Superstring Theory, 25th anniversary ed.; Cambridge University Press, 2012.
- Becker, K.; Becker, M.; Schwarz, J.H. String Theory and M-Theory: A Modern Introduction; Cambridge University Press, 2007.
- Evans, L.; Bryant, P. LHC Machine. JINST 2008, 3, S08001. [Google Scholar] [CrossRef]
- ATLAS Collaboration. Search for supersymmetry in final states with missing transverse momentum and three or more b-jets in proton-proton collisions at =13 TeV with the ATLAS detector. Eur. Phys. J. C 2023, 83, 561. [Google Scholar] [CrossRef]
- CMS Collaboration. Search for new physics in final states with two leptons and missing transverse momentum in proton-proton collisions at =13 TeV. JHEP 2023, 2023, 178. [Google Scholar] [CrossRef]
- Arkani-Hamed, N. The future of fundamental physics. Daedalus 2012, 141, 53–66. [Google Scholar] [CrossRef]
- Arnison, G.; et al. Experimental observation of isolated large transverse energy electrons with associated missing energy at =540 GeV. Phys. Lett. B 1983, 122, 103–116. [Google Scholar] [CrossRef]
- CERN. CERN Open Data Portal, 2025. Accessed: January 2025.
- Brun, R.; Rademakers, F. ROOT - An object oriented data analysis framework. Nucl. Instrum. Methods Phys. Res. A 1997, 389, 81–86. [Google Scholar] [CrossRef]
- Weinberg, S. The cosmological constant problem. Rev. Mod. Phys. 1989, 61, 1–23. [Google Scholar] [CrossRef]
| Dimension | Energy (GeV) | Transition Gap (GeV) |
|---|---|---|
| D1 | 0.008378 | – |
| D2 | 0.018964 | 0.011 |
| D3 | 0.723934 | 0.705 (38×) |
| D4 | 2.055736 | 1.332 |
| D5 | 3.987908 | 1.932 |
| D6 | 9.598943 | 5.611 |
| D7 | 14.568182 | 4.969 |
| D8 | 21.289315 | 6.721 |
| D9 | 32.589431 | 11.300 |
| D10 | 167.478824 | 134.889 (12×) |
Disclaimer/Publisher’s Note: The statements, opinions and data contained in all publications are solely those of the individual author(s) and contributor(s) and not of MDPI and/or the editor(s). MDPI and/or the editor(s) disclaim responsibility for any injury to people or property resulting from any ideas, methods, instructions or products referred to in the content. |
© 2025 by the authors. Licensee MDPI, Basel, Switzerland. This article is an open access article distributed under the terms and conditions of the Creative Commons Attribution (CC BY) license (http://creativecommons.org/licenses/by/4.0/).