Submitted:
02 July 2025
Posted:
03 July 2025
You are already at the latest version
Abstract
Keywords:
1. Introduction
2. Experimental Details
2.1. Sample Preparation
2.2. Film Characterization
3. Results and Discussion
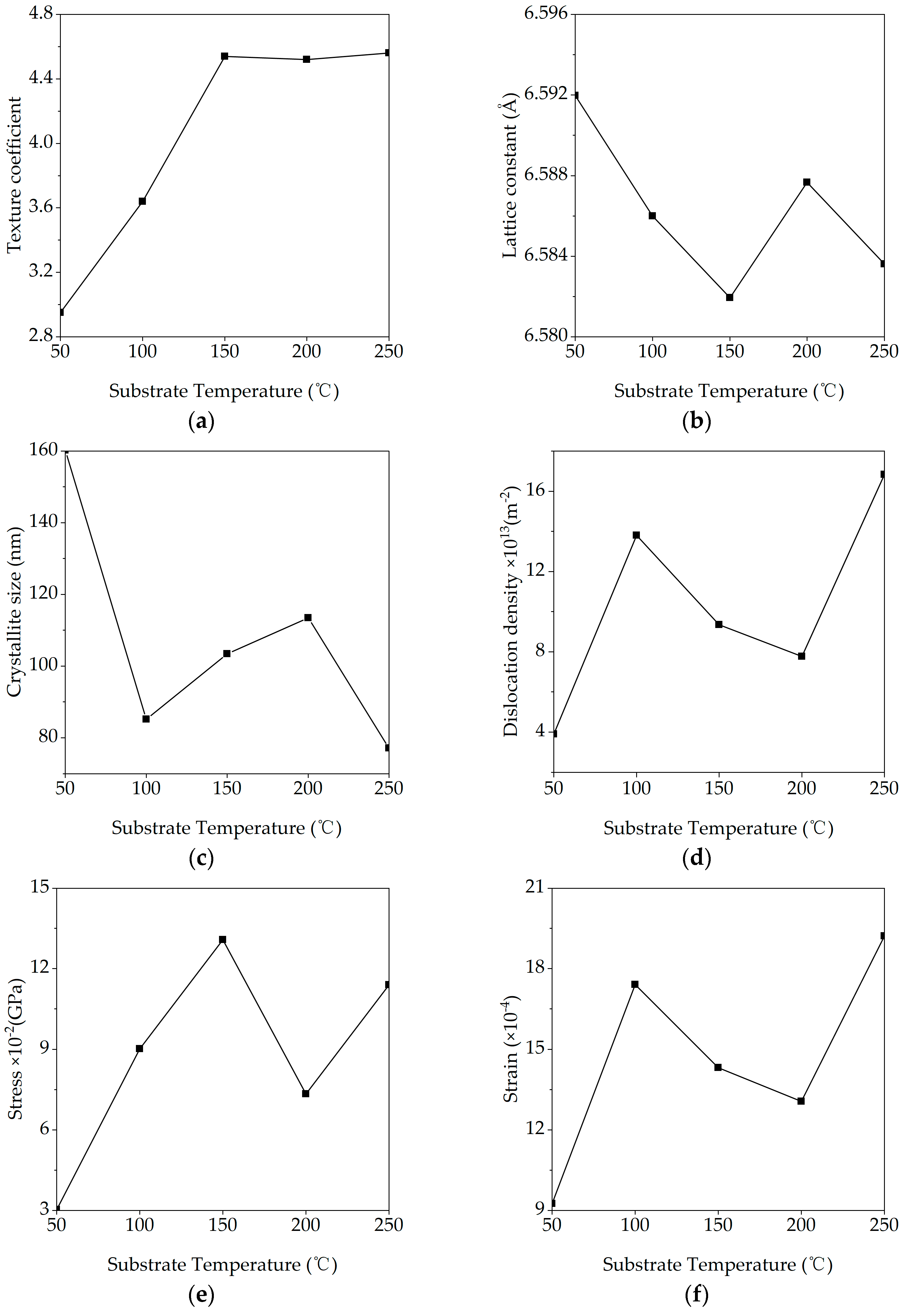
3.1. Structural Properties
3.2. Morphological Properties
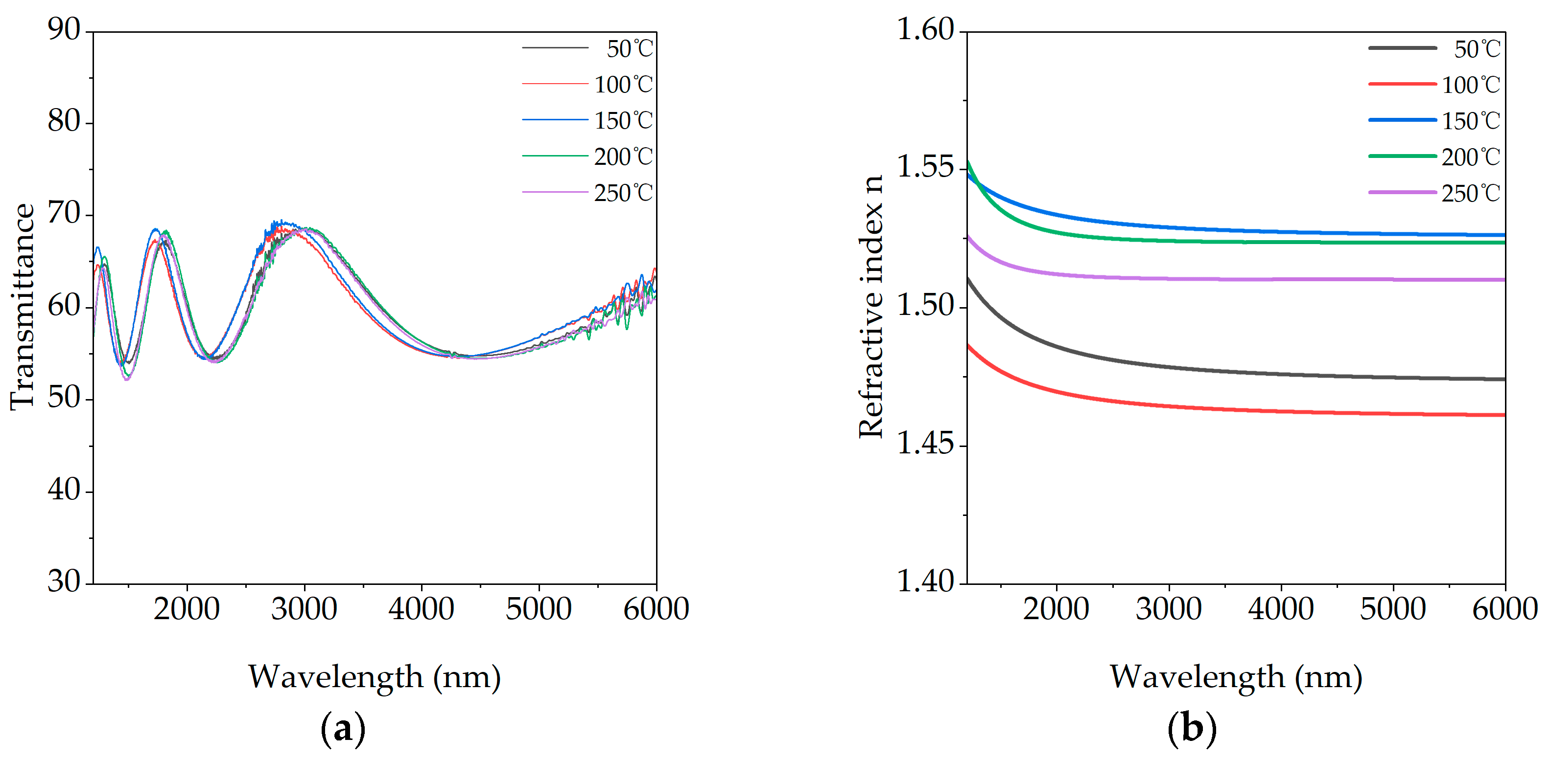
3.3. Optical Properties
4. Conclusions
Author Contributions
Funding
Institutional Review Board Statement
Informed Consent Statement
Data Availability Statement
Conflicts of Interest
References
- Kruschwitz, J.D.T.; Pawlewicz, W.T. Optical and Durability Properties of Infrared Transmitting Thin Films. Appl. Optics 1997, 36, 2157–2159. [Google Scholar] [CrossRef]
- Raut, H.K.; Ganesh, V.A.; Nair, A.S.; Ramakrishna, S. Anti-Reflective Coatings: A Critical, in-Depth Review. Energy Environ. Sci. 2011, 4, 3779–3804. [Google Scholar] [CrossRef]
- Yamauchi, M.; Maruyama, S.; Ohashi, N.; Toyabe, K.; Matsumoto, Y. Epitaxial Growth of Atomically Flat KBr(111) Films via a Thin Film Ionic Liquid in a Vacuum. CrystEngComm 2016, 18, 3399–3403. [Google Scholar] [CrossRef]
- Kolodziej, J.J.; Such, B.; Czuba, P.; Krok, F.; Piatkowski, P.; Szymonski, M. Scanning-Tunneling/Atomic-Force Microscopy Study of the Growth of KBr Films on InSb(). Surface Science 2002, 506, 12–22. [Google Scholar] [CrossRef]
- Saiki, K.; Nakamura, Y.; Nishida, N.; Gao, W.; Koma, A. Heteroepitaxy of Alkali Halide on Si and GaAs Substrates. Surface Science 1994, 301, 29–38. [Google Scholar] [CrossRef]
- Rahmlow, Jr., T.D.; Lazo-Wasem, J.E.; Rahmlow, D.A. Characterization of Far-Infrared Optical Thin Film Materials and Blends: AgBr, AgCl, KBr, Csl, and CsBr.; Datla, R.V., Hanssen, L.M., Eds.; San Diego, CA, October 8 1998; pp. 73–84.
- Rai, R.; Yadav, R.P.; Pandit, T.; Jammal, N.; Singh, A.K.; Singh, B.K. Morphological Evaluation of Self-Affine Thermally Grown KBr Thin Films. Mater. Res. Express 2019, 6, 126422. [Google Scholar] [CrossRef]
- Johnson, K.W.; Bell, E.E. Far-Infrared Optical Properties of KCl and KBr. Phys. Rev. 1969, 187, 1044–1052. [Google Scholar] [CrossRef]
- Hadni, A.; Claudel, J.; Chanal, D.; Strimer, P.; Vergnat, P. Optical Constants of Potassium Bromide in the Far Infrared. Phys. Rev. 1967, 163, 836–843. [Google Scholar] [CrossRef]
- Rai, R.; Triloki; Singh, B. K.; Jammal, N.F.A. Correlation between Photoemissive and Morphological Properties of KBr Thin Film Photocathodes. Nuclear Instruments and Methods in Physics Research Section A: Accelerators, Spectrometers, Detectors and Associated Equipment 2018, 912, 6–10. [Google Scholar] [CrossRef]
- Rai, R.; Singh, B.K. Study of KBr Thin FIlms for EUV and FUV Sensitive Photocathode Devices.
- Rai, R.; Triloki, T.; Singh, B.K. X-Ray Diffraction Line Profile Analysis of KBr Thin Films. Appl. Phys. A 2016, 122, 774. [Google Scholar] [CrossRef]
- Alidjanov, E.K.; Atabaev, B.G.; Gaipov, S.; Boltaev, N.N. Target Current Spectroscopy of the Alkali Halides KC1, CsC1 and KBr.
- He, W.; Vilayurganapathy, S.; Joly, A.G.; Droubay, T.C.; Chambers, S.A.; Maldonado, J.R.; Hess, W.P. Comparison of CsBr and KBr Covered Cu Photocathodes: Effects of Laser Irradiation and Work Function Changes. Applied Physics Letters 2013, 102, 071604. [Google Scholar] [CrossRef]
- Tremsin, A.S.; Siegmund, O.H.W. Heat Enhancement of Radiation Resistivity of Evaporated CsI, KI and KBr Photocathodes. Nuclear Instruments and Methods in Physics Research Section A: Accelerators, Spectrometers, Detectors and Associated Equipment 2000, 442, 337–341. [Google Scholar] [CrossRef]
- Larruquert, J.I.; Méndez, J.A.; Aznárez, J.A.; Tremsin, A.S.; Siegmund, O.H.W. Optical Properties and Quantum Efficiency of Thin-Film Alkali Halides in the Far Ultraviolet. Appl. Opt. 2002, 41, 2532. [Google Scholar] [CrossRef]
- Shao, J.; Dobrowolski, J.A. Multilayer Interference Filters for the Far-Infrared and Submillimeter Regions. Appl. Opt. 1993, 32, 2361. [Google Scholar] [CrossRef]
- Tremsin, A.S.; Siegmund, O.H.W. UV Radiation Resistance and Solar Blindness of CsI and KBr Photocathodes. IEEE Transactions on Nuclear Science 2001, 48, 421–425. [Google Scholar] [CrossRef]
- Crystalline Size Effects on Texture Coefficient, Electrical and Optical Properties of Sputter-Deposited Ga-Doped ZnO Thin Films. Journal of Materials Science & Technology 2015, 31, 175–181. [CrossRef]
- Bragg, W.L. The Diffraction of Short Electromagnetic Waves by a Crystal. Scientia 1929, 23. [Google Scholar]
- Choudhury, N.; Sarma, B.K. Structural Characterization of Lead Sulfide Thin Films by Means of X-Ray Line Profile Analysis. Bull Mater Sci 2009, 32, 43–47. [Google Scholar] [CrossRef]
- Patterson, A.L. The Scherrer Formula for X-Ray Particle Size Determination. Phys. Rev. 1939, 56, 978–982. [Google Scholar] [CrossRef]
- Patel, V.A.; Patel, B.H. Influence of Substrate Temperature on Structure, Stoichiometry, and Energy Band Gap of Zn1 − xMgxO Thin Films Deposited by Pulsed Laser Deposition. Appl. Phys. A 2022, 128, 1117. [Google Scholar] [CrossRef]
- Jaber, A.Y.; Alamri, S.N.; Aida, M.S.; Benghanem, M.; Abdelaziz, A.A. Influence of Substrate Temperature on Thermally Evaporated CdS Thin Films Properties. Journal of Alloys and Compounds 2012, 529, 63–68. [Google Scholar] [CrossRef]
- Basak, A. Impact of Substrate Temperature on the Structural, Optical and Electrical Properties of Thermally Evaporated SnS Thin Films. Materials Science in Semiconductor Processing 2016. [Google Scholar] [CrossRef]
- Hwang, Y.; Park, S.; Kang, M.; Um, Y. Effects of Temperature-Induced Stress on the Structural, Electrical, and Optical Properties of ZnO:Ga Thin Films Grown on Si Substrates. Current Applied Physics 2014, 14, S23–S28. [Google Scholar] [CrossRef]
- Hsu, J.-C.; Ma, Y.-S. Luminescence of CsI and CsI:Na Films under LED and X-Ray Excitation. Coatings 2019, 9, 751. [Google Scholar] [CrossRef]
- Kate, R.S.; Pathan, H.M.; Kalubarme, R.; Kale, B.B.; Deokate, R.J. Spray Pyrolysis: Approaches for Nanostructured Metal Oxide Films in Energy Storage Application. Journal of Energy Storage 2022, 54, 105387. [Google Scholar] [CrossRef]
- Hidaka, T.; Morikawa, T.; Shimada, J. Spectroscopic Small Loss Measurements on Infrared Transparent Materials. Appl. Opt. 1980, 19, 3763. [Google Scholar] [CrossRef]






| Deposition rate (Å/s) | Chamber pressure (Pa) | Rotation rate (rad/min) |
|---|---|---|
| 40 | 2-4×10-3 | 60 |
| Substrate Temperature (℃) | 50 | 100 | 150 | 200 | 250 |
|---|---|---|---|---|---|
| RMS Roughness(nm) | 25.13 | 26.56 | 24.64 | 25.16 | 28.30 |
Disclaimer/Publisher’s Note: The statements, opinions and data contained in all publications are solely those of the individual author(s) and contributor(s) and not of MDPI and/or the editor(s). MDPI and/or the editor(s) disclaim responsibility for any injury to people or property resulting from any ideas, methods, instructions or products referred to in the content. |
© 2025 by the authors. Licensee MDPI, Basel, Switzerland. This article is an open access article distributed under the terms and conditions of the Creative Commons Attribution (CC BY) license (http://creativecommons.org/licenses/by/4.0/).