Submitted:
01 July 2025
Posted:
03 July 2025
You are already at the latest version
Abstract
Keywords:
1. Introduction
2. Materials and Methods
2.1. DAQ Essential Parts
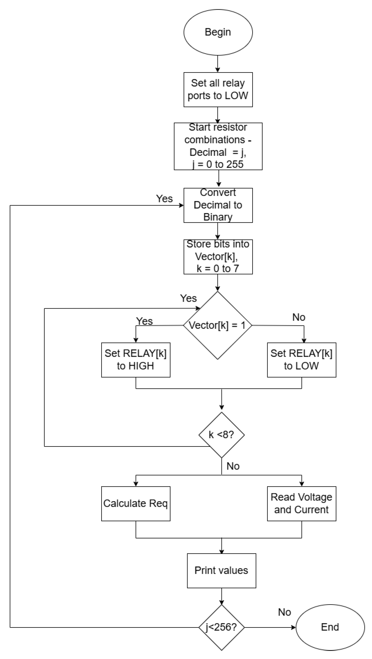
2.2. Logics and Operation of the System
2.3. System Calibration
2.4. Experimental Setup
2.5. Experimental Uncertainty
3. PV Panel Modeling
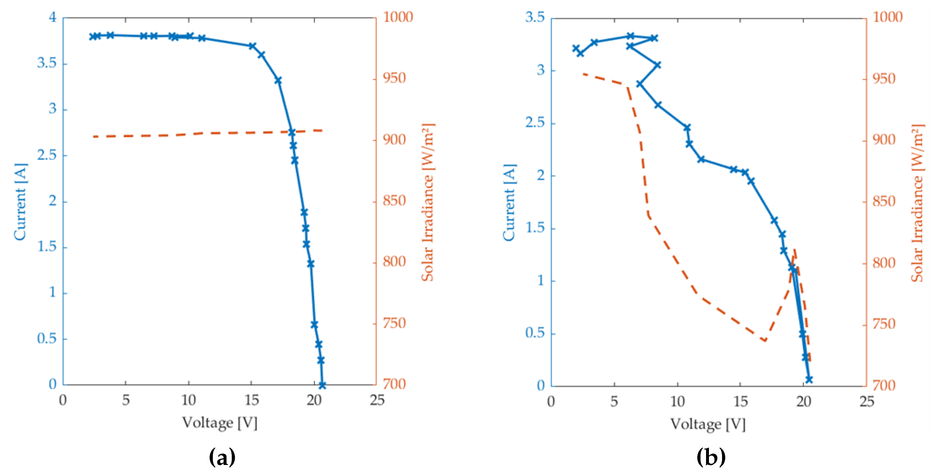
4. Results
5. Conclusions
Author Contributions
Funding
Institutional Review Board Statement
Informed Consent Statement
Data Availability Statement
Acknowledgments
Conflicts of Interest
Abbreviations
| MAPE | Mean absolute percentage error |
| GND | Ground |
| DAQ | Data acquisition |
| COM | Common pin (relay) |
| NC | Normally closed (relay contact) |
| NO | Normally open (relay contact) |
| Res | Resistor |
| IoT | Internet-of-Things |
References
- Hentschel, M.; Ketter, W.; Collins, J. Renewable energy cooperatives: Facilitating the energy transition at the Port of Rotterdam. Energy policy 2018, 121, 61–69. [Google Scholar] [CrossRef]
- OECD. World Energy Outlook 2023; 2023; p. 353. [CrossRef]
- Rezk, H.; Tyukhov, I.; Al-Dhaifallah, M.; Tikhonov, A. Performance of data acquisition system for monitoring PV system parameters. Measurement 2017, 104, 204–211. [Google Scholar] [CrossRef]
- Reyes-Ramírez, I.; Fonseca-Campos, J.; Mata-Machuca, J.L. Measurement of the current-voltage curve of photovoltaic cells based on a DAQ and Python. Renewable Energy and Power Quality Journal 2018, 16, 94–98. [Google Scholar] [CrossRef]
- Kuai, Y.; Yuvarajan, S. An electronic load for testing photovoltaic panels. Journal of Power Sources 2006, 154, 308–313. [Google Scholar] [CrossRef]
- González, I.; Portalo, J.M.; Calderón, A.J. Configurable IoT open-source hardware and software IV curve tracer for photovoltaic generators. Sensors 2021, 21, 7650. [Google Scholar] [CrossRef]
- Keysight Technologies. B1505A Power Device Analyzer / Curve Tracer, 2025. Acessed: 15 mar. 2025.
- HT Instruments. I-V500w: 1500V 15A I-V Curve Tracer compatible with htanalysis, 2025. Acessado em: 15 mar. 2025.
- Jucá, S.C.; Carvalho, P.C.; Brito, F.T. A low cost concept for data acquisition systems applied to decentralized renewable energy plants. Sensors 2011, 11, 743–756. [Google Scholar] [CrossRef]
- Köhli, M.; Weimar, J.; Schmidt, S.; Schmidt, F.P.; Lambertz, A.; Weber, L.; Kaminski, J.; Schmidt, U. Arduino-Based Readout Electronics for Nuclear and Particle Physics. Sensors 2024, 24, 2935. [Google Scholar] [CrossRef]
- Machado, P.L.O.; Fachini, L.V.G.; Machado, V.O.O.; Szmoski, R.M.; Alves, T.A. Load cells calibration with a low cost data acquisition system. Revista Brasileira de Física Tecnológica Aplicada 2019, 6. [Google Scholar] [CrossRef]
- González, A.; Olazagoitia, J.L.; Vinolas, J. A low-cost data acquisition system for automobile dynamics applications. Sensors 2018, 18, 366. [Google Scholar] [CrossRef]
- Kumar, S.; Kolekar, T.; Patil, S.; Bongale, A.; Kotecha, K.; Zaguia, A.; Prakash, C. A low-cost multi-sensor data acquisition system for fault detection in fused deposition modelling. Sensors 2022, 22, 517. [Google Scholar] [CrossRef]
- Maharmi, B.; Widyastomo, B.; Palaha, F. Water Flow Measurement-Based Data Acquisition Using Arduino Microcontroller and PLX-DAQ Software. Jurnal Ilmiah Teknik Elektro Komputer dan Informatika 2022, 8, 107–118. [Google Scholar] [CrossRef]
- Sugiartha, N.; Sugina, I.M.; Putra, I.D.G.A.T.; Indraswara, M.A.; Suryani, L.I.D. Development of an arduino-based data acquisition device for monitoring solar PV system parameters. In Proceedings of the International Conference on Science and Technology (ICST 2018). Atlantis Press; 2018; pp. 995–999. [Google Scholar] [CrossRef]
- Pachauri, R.K.; Mahela, O.P.; Khan, B.; Kumar, A.; Agarwal, S.; Alhelou, H.H.; Bai, J. Development of arduino assisted data acquisition system for solar photovoltaic array characterization under partial shading conditions. Computers & Electrical Engineering 2021, 92, 107175. [Google Scholar] [CrossRef]
- Mahzan, N.N.; Omar, A.; Rimon, L.; Noor, S.M.; Rosselan, M. Design and development of an arduino based data logger for photovoltaic monitoring system. Int. J. Simul. Syst. Sci. Technol 2017, 17, 15–1. [Google Scholar] [CrossRef]
- El Hammoumi, A.; Motahhir, S.; Chalh, A.; El Ghzizal, A.; Derouich, A. Low-cost virtual instrumentation of PV panel characteristics using Excel and Arduino in comparison with traditional instrumentation. Renewables: wind, water, and solar 2018, 5, 1–16. [Google Scholar] [CrossRef]
- Belmili, H.; Cheikh, S.M.A.; Haddadi, M.; Larbes, C. Design and development of a data acquisition system for photovoltaic modules characterization. Renewable Energy 2010, 35, 1484–1492. [Google Scholar] [CrossRef]
- Papageorgas, P.; Piromalis, D.; Valavanis, T.; Kambasis, S.; Iliopoulou, T.; Vokas, G. A low-cost and fast PV IV curve tracer based on an open source platform with M2M communication capabilities for preventive monitoring. Energy Procedia 2015, 74, 423–438. [Google Scholar] [CrossRef]
- Montes-Romero, J.; Piliougine, M.; Muñoz, J.V.; Fernández, E.F.; De la Casa, J. Photovoltaic device performance evaluation using an open-hardware system and standard calibrated laboratory instruments. Energies 2017, 10, 1869. [Google Scholar] [CrossRef]
- Willoughby, A.A.; Osinowo, M.O. Development of an electronic load IV curve tracer to investigate the impact of Harmattan aerosol loading on PV module pern2tkformance in southwest Nigeria. Solar Energy 2018, 166, 171–180. [Google Scholar] [CrossRef]
- Amiry, H.; Benhmida, M.; Bendaoud, R.; Hajjaj, C.; Bounouar, S.; Yadir, S.; Raïs, K.; Sidki, M. Design and implementation of a photovoltaic IV curve tracer: Solar modules characterization under real operating conditions. Energy Conversion and Management 2018, 169, 206–216. [Google Scholar] [CrossRef]
- Chen, Z.; Lin, W.; Wu, L.; Long, C.; Lin, P.; Cheng, S. A capacitor based fast IV characteristics tester for photovoltaic arrays. Energy Procedia 2018, 145, 381–387. [Google Scholar] [CrossRef]
- Vega, A.; Valiño, V.; Conde, E.; Ramos, A.; Reina, P. Double sweep tracer for IV curves characterization and continuous monitoring of photovoltaic facilities. Solar Energy 2019, 190, 622–629. [Google Scholar] [CrossRef]
- Ortega, E.; Aranguren, G.; Jimeno, J.C. New monitoring method to characterize individual modules in large photovoltaic systems. Solar Energy 2019, 193, 906–914. [Google Scholar] [CrossRef]
- Mokhtar, M.; Ahmad, S.; Sepeai, S.; Daud, N.M.; Zaid, S.H. Inexpensive current-voltage system with electronically-controlled resistance under xenon arc light for solar cell efficiency measurements. Jurnal Kejuruteraan 2019, 31, 335–340. [Google Scholar] [CrossRef]
- Chen, Z.; Lin, Y.; Wu, L.; Cheng, S.; Lin, P. Development of a capacitor charging based quick IV curve tracer with automatic parameter extraction for photovoltaic arrays. Energy Conversion and Management 2020, 226, 113521. [Google Scholar] [CrossRef]
- Sarikh, S.; Raoufi, M.; Bennouna, A.; Benlarabi, A.; Ikken, B. Implementation of a plug and play IV curve tracer dedicated to characterization and diagnosis of PV modules under real operating conditions. Energy Conversion and Management 2020, 209, 112613. [Google Scholar] [CrossRef]
- Shapsough, S.; Takrouri, M.; Dhaouadi, R.; Zualkernan, I. An IoT-based remote IV tracing system for analysis of city-wide solar power facilities. Sustainable cities and society 2020, 57, 102041. [Google Scholar] [CrossRef]
- Cáceres, M.; Firman, A.; Montes-Romero, J.; González Mayans, A.R.; Vera, L.H.; F. Fernández, E.; de la Casa Higueras, J. Low-cost I–V tracer for PV modules under real operating conditions. Energies 2020, 13, 4320. [CrossRef]
- Morales-Aragonés, J.I.; Gallardo-Saavedra, S.; Alonso-Gómez, V.; Sánchez-Pacheco, F.J.; González, M.A.; Martínez, O.; Munoz-Garcia, M.A.; Alonso-García, M.d.C.; Hernández-Callejo, L. Low-cost electronics for online iv tracing at photovoltaic module level: Development of two strategies and comparison between them. Electronics 2021, 10, 671. [Google Scholar] [CrossRef]
- Suresh, A.N.; Naveen, B.; Dusarlapudi, K. Design and Implementation of Cost-Effective PV String IV and PV curve tracer by using IGBT as a Power Electronic Load. In Proceedings of the 2024 6th International Conference on Energy, Power and Environment (ICEPE). IEEE; 2024; pp. 1–7. [Google Scholar] [CrossRef]
- De Riso, M.; Matacena, I.; Guerriero, P.; Daliento, S. A Wireless Self-Powered IV Curve Tracer for On-Line Characterization of Individual PV Panels. IEEE Transactions on Industrial Electronics 2024, 71, 11508–11518. [Google Scholar] [CrossRef]
- Rivai, A.; Erixno, O.; Rahim, N.; Elias, M.; Jamaludin, J.; Ramadhani, F. A Multi-String Photovoltaic Current-Voltage (IV) Curve Tracer. In Proceedings of the Journal of Physics: Conference Series. IOP Publishing, 2025, Vol. 2942, p. 012001. [CrossRef]
- Alombah, N.H.; Harrison, A.; Kamel, S.; Fotsin, H.B.; Aurangzeb, M. Development of an efficient and rapid computational solar photovoltaic emulator utilizing an explicit PV model. Solar Energy 2024, 271, 112426. [Google Scholar] [CrossRef]
- Khan, M.A.; Khan, M.A.; Ali, H.; Ashraf, B.; Khan, S.; Baig, D.E.Z.; Wadood, A.; Khurshaid, T. Output power prediction of a photovoltaic module through artificial neural network. IEEE Access 2022, 10, 116160–116166. [Google Scholar] [CrossRef]












| Reference | I-V Measurement | Load | Light Source | Language |
| [5] | Oscilloscope | MOSFET | Unspecified | Unspecified |
| [19] | Current and voltage sensors | MOSFET | Solar irradiance | Visual BASIC 6.0 |
| [20] | ADC and microcontroller | MOSFET | Solar irradiance | Unspecified |
| [3] | NI USB-6009 | MPPT charge controller | Solar irradiance | LABVIEW |
| [17] | Current and voltage sensors + ArduinoTM | Charge controller | Solar irradiance | ArduinoTM |
| [21] | Digital multimeters | Capacitive load | Solar irradiance | ArduinoTM |
| [22] | ArduinoTM | MOSFET | Solar irradiance | ArduinoTM |
| [15] | Current and voltage sensors + ArduinoTM | DC load | Solar irradiance | ArduinoTM |
| [23] | Current and voltage sensors + ArduinoTM | MOSFET | Solar irradiance | ArduinoTM |
| [4] | NI-6009 | Resistive load | Tungsten light source | Python |
| [24] | Current and voltage sensors + DSP | Capacitive load | Solar irradiance | Unspecified |
| [25] | PIC18F46K80 microprocessor | MOSFET | Solar irradiance | Unspecified |
| [26] | PIC microcontroller | Capacitive load | Solar irradiance | Unspecified |
| [27] | Electronic load | Electronic load | Xenon lamps | LABVIEW |
| [28] | Current and voltage sensors | Capacitive load | Solar irradiance | Matlab |
| [29] | Current and voltage sensors + Raspberry Pi | MOSFET | Solar irradiance | Python |
| [30] | Yoctowatt + RPi | Capacitive load | Solar irradiance | Unspecified |
| [31] | Microcontroller | Capacitive load | Solar irradiance | LABVIEW |
| [6] | Current and voltage sensors + RPi | Programmable electronic load | Solar irradiance | Python |
| [16] | Current and voltage sensors + ArduinoTM | Resistive load | Solar irradiance | ArduinoTM |
| [32] | Current sensor + microcontroller | MOSFET | Solar irradiance | Unspecified |
| [33] | Current and voltage sensors + microcontroller | MOSFET + IGBT | Solar irradiance | Matlab |
| [34] | Current and voltage sensors + microcontroller | Active load | Solar irradiance | Unspecified |
| [35] | Current and voltage sensors + microcontroller | Capacitive load | Solar irradiance | Visual Studio |
| Current Study | Current sensor + voltage divider + ArduinoTM | Automatic Relay-switched resistor bank | Solar irradiance | ArduinoTM |
| Parameter | Value | Unit |
|---|---|---|
| Output power | W | |
| Efficiency | 12.92 | % |
| Maximum Power Voltage | 18.54 | V |
| Maximum Power Current | 3.36 | A |
| Open Circuit Voltage | 22.68 | V |
| Short Circuit Current () | 3.75 | A |
| Nominal Operating Cell Temperature | °C | |
| Temperature Coefficient for Maximum Power | -0.39 | %/°C |
| Operational Temperature | -40 to 85 | °C |
| Number of cells | 36 | - |
| Temperature Coefficient for | 0.05 | %/°C |
| Parameter | Instrument | Uncertainty |
|---|---|---|
| Current | Digital multimeter | A |
| Current | Data acquisition system | A |
| Solar Irradiance | Pyranometer | W/m2 |
| Voltage | Digital multimeter | V |
| Voltage | Data acquisition system | V |
| Temperature | Type K thermocouple | C |
| Time | Index | Resistive Load [] | Voltage [V] | Current [A] | Power [W] |
|---|---|---|---|---|---|
| 14:02:06 | 0 | ∞ | 20.6 | 0.0 | 0.0 |
| 14:02:08 | 1 | 100.4 | 20.5 | 0.3 | 5.6 |
| 14:02:10 | 2 | 48.0 | 20.4 | 0.4 | 9.1 |
| 14:02:12 | 3 | 32.5 | 20.0 | 0.7 | 13.3 |
| 14:02:14 | 4 | 14.8 | 19.7 | 1.3 | 26.1 |
| 14:02:16 | 5 | 12.9 | 19.4 | 1.5 | 29.8 |
| 14:02:18 | 6 | 11.3 | 19.3 | 1.7 | 33.2 |
| 14:02:20 | 7 | 10.2 | 19.2 | 1.9 | 36.2 |
| 14:02:22 | 8 | 7.8 | 18.5 | 2.4 | 45.4 |
| 14:02:24 | 9 | 7.2 | 18.3 | 2.6 | 47.9 |
| 14:02:26 | 10 | 6.7 | 18.2 | 2.8 | 50.2 |
| 14:02:28 | 12 | 5.1 | 17.1 | 3.3 | 56.9 |
| 14:02:30 | 15 | 4.4 | 15.8 | 3.6 | 56.9 |
| 14:02:32 | 19 | 4.2 | 15.1 | 3.7 | 55.9 |
| 14:02:34 | 24 | 3.0 | 11.1 | 3.8 | 41.9 |
| 14:02:36 | 31 | 2.3 | 8.9 | 3.8 | 33.8 |
| 14:02:38 | 41 | 2.6 | 10.2 | 3.8 | 38.7 |
| 14:02:41 | 55 | 1.8 | 7.2 | 3.8 | 27.6 |
| 14:02:43 | 74 | 2.3 | 8.7 | 3.8 | 33.1 |
| 14:02:45 | 100 | 1.7 | 6.4 | 3.8 | 24.5 |
| 14:02:47 | 136 | 1.0 | 3.8 | 3.8 | 14.5 |
| 14:02:49 | 185 | 0.7 | 2.8 | 3.8 | 10.6 |
| 14:02:51 | 252 | 0.6 | 2.4 | 3.8 | 9.2 |
| G [W/m2] | [W/m2] | T1 [°C] | T2 [°C] | T3 [°C] | T4 [°C] | T5 [°C] | [°C] |
|---|---|---|---|---|---|---|---|
| 914.26 | 1.11 | 48.73 | 46.16 | 46.05 | 52.02 | 53.08 | 2.84 |
| 914.08 | 49.41 | 47.48 | 46.52 | 52.40 | 53.40 | 2.76 | |
| 914.27 | 49.49 | 47.64 | 46.81 | 52.52 | 53.35 | 2.73 | |
| 914.68 | 48.27 | 46.23 | 46.23 | 52.18 | 53.01 | 2.55 | |
| 915.55 | 47.14 | 45.87 | 45.66 | 51.75 | 52.64 | 2.47 | |
| 914.88 | 46.96 | 45.68 | 45.50 | 51.65 | 52.57 | 2.44 | |
| 914.26 | 47.57 | 46.13 | 45.58 | 51.53 | 52.70 | 2.43 | |
| 913.44 | 47.56 | 46.41 | 45.64 | 50.82 | 52.43 | 2.41 | |
| 912.82 | 47.40 | 46.08 | 45.41 | 50.47 | 52.30 | 2.46 | |
| 912.20 | 47.60 | 46.28 | 45.83 | 50.45 | 52.39 | 2.40 | |
| 912.07 | 47.47 | 46.49 | 45.98 | 50.91 | 52.40 | 2.42 |
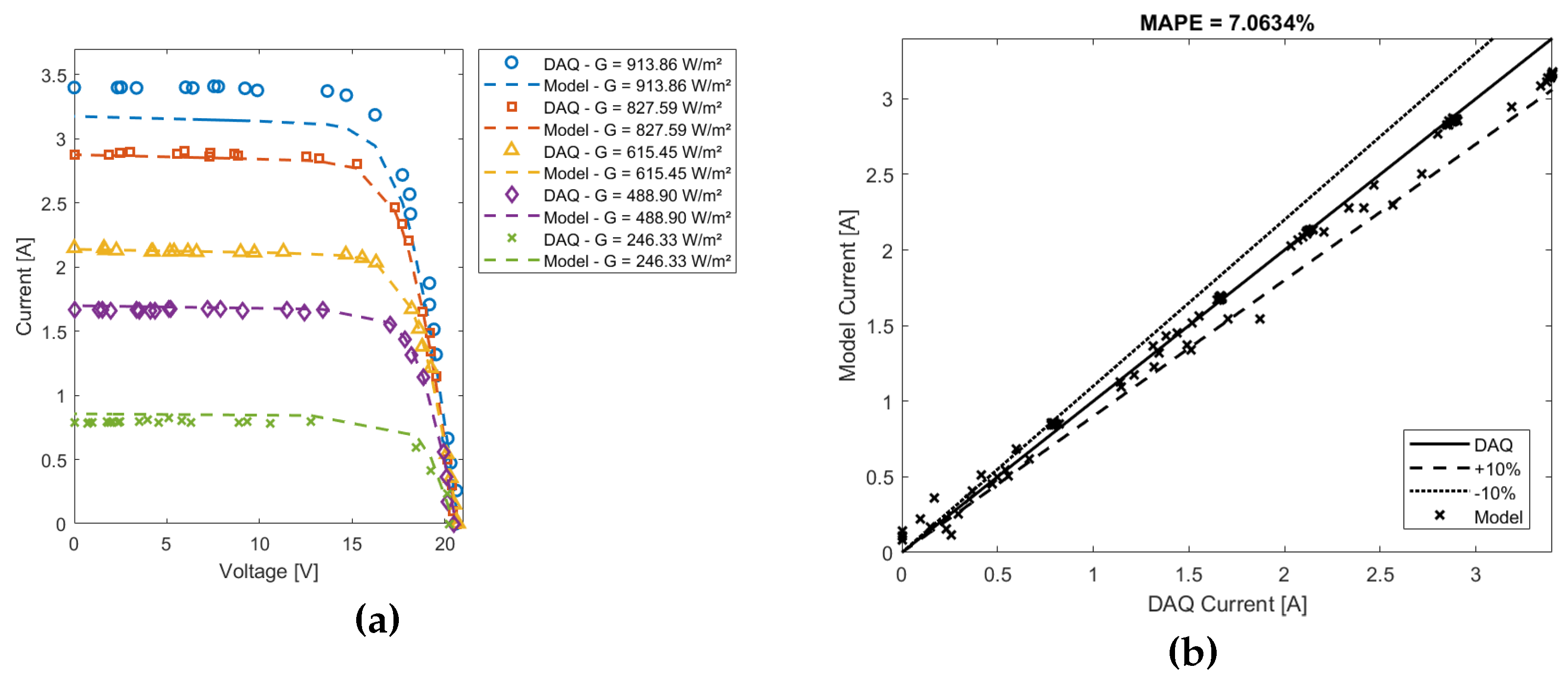
| G [W/m2] | Top [°C] | Pmax,DAQ [W] | Pmax,model [W] | ||
|---|---|---|---|---|---|
| 913.86 | 48.91 | 51.70 | 53.05 | 13.19 | 13.54 |
| 827.59 | 49.00 | 42.72 | 48.53 | 12.04 | 13.67 |
| 615.45 | 44.21 | 33.13 | 35.98 | 12.55 | 13.63 |
| 488.90 | 42.80 | 26.45 | 29.18 | 12.62 | 13.92 |
| 246.33 | 36.64 | 11.01 | 13.98 | 10.42 | 13.23 |
Disclaimer/Publisher’s Note: The statements, opinions and data contained in all publications are solely those of the individual author(s) and contributor(s) and not of MDPI and/or the editor(s). MDPI and/or the editor(s) disclaim responsibility for any injury to people or property resulting from any ideas, methods, instructions or products referred to in the content. |
© 2025 by the authors. Licensee MDPI, Basel, Switzerland. This article is an open access article distributed under the terms and conditions of the Creative Commons Attribution (CC BY) license (http://creativecommons.org/licenses/by/4.0/).