Submitted:
01 July 2025
Posted:
03 July 2025
You are already at the latest version
Abstract
Keywords:
1. Introduction
- denotes the n-dimensional real Euclidean space;
- denotes the Euclidean norm either of a vector () or of a matrix ();
- the superscript denotes the transposition either of a vector () or of a matrix ();
- denotes the identity matrix of dimension n;
- , where , , denotes the column block-vector of the dimension with the upper block x and the lower block y;
- denotes the diagonal matrix of the dimension with the main diagonal entries ,..., ;
- denotes the space of all functions square integrable in the interval .
2. Initial Game Formulation and Main Definitions
3. Transformation of the Differential Game (1)-(2)
4. Solvability Conditions of the CCDG
5. Asymptotic Solution of the CCDG in the Case I
5.1. Transformation of the Terminal-Value Problems (17)-(19)
5.2. Asymptotic Solution of the Terminal-Value Problem (27)
5.2.1. Obtaining the Outer Solution Term
5.2.2. Obtaining the Boundary Correction
5.2.3. Obtaining the Outer Solution Term
5.2.4. Obtaining the Boundary Correction
5.2.5. Justification of the Asymptotic Solution to the Problem (27)
5.3. Asymptotic Solution of the Terminal-Value Problem (28)
5.3.1. Obtaining the Outer Solution Term
5.3.2. Obtaining the Boundary Correction
5.3.3. Obtaining the Outer Solution Term
5.3.4. Obtaining the Boundary Correction
5.3.5. Justification of the Asymptotic Solution to the Problem (28)
5.4. Asymptotic Solution of the Terminal-Value Problem (29)
5.5. Asymptotic Approximation of the CCDG value
5.6. Approximate-Saddle Point of the CCDG
5.7. Proof of Lemma 6
6. Asymptotic Solution of the CCDG in the Case II
6.1. Transformation of the Terminal-Value Problems (17)-(19)
6.2. Asymptotic Solution of the Terminal-Value Problem (108)-(110)
6.2.1. Obtaining the Boundary Correction
6.2.2. Obtaining the Outer Solution Terms , ,
6.2.3. Obtaining the Boundary Corrections and
6.2.4. Obtaining the Boundary Correction
6.2.5. Obtaining the Outer Solution Terms , ,
6.2.6. Obtaining the Boundary Corrections and
6.2.7. Justification of the Asymptotic Solution to the Problem (108)-(110)
6.2.8. Comparison of the Asymptotic Solutions to the Terminal-Value Problem (17) in the Cases I and II
6.3. Asymptotic Solution of the Terminal-Value Problem (112)-(113)
6.3.1. Obtaining the Boundary Correction
6.3.2. Obtaining the Outer Solution Terms and
6.3.3. Obtaining the Boundary Correction
6.3.4. Obtaining the Boundary Correction
6.4. Obtaining the Outer Solution Terms and
6.4.1. Obtaining the Boundary Correction
6.4.2. Justification of the Asymptotic Solution to the Problem (112)-(113)
6.4.3. Comparison of the Asymptotic Solutions to the Terminal-Value Problem (18) in the Cases I and II
6.5. Asymptotic Solution of the Terminal-Value Problem (114)
6.6. Asymptotic Approximation of the CCDG value
6.7. Approximate-Saddle Point of the CCDG
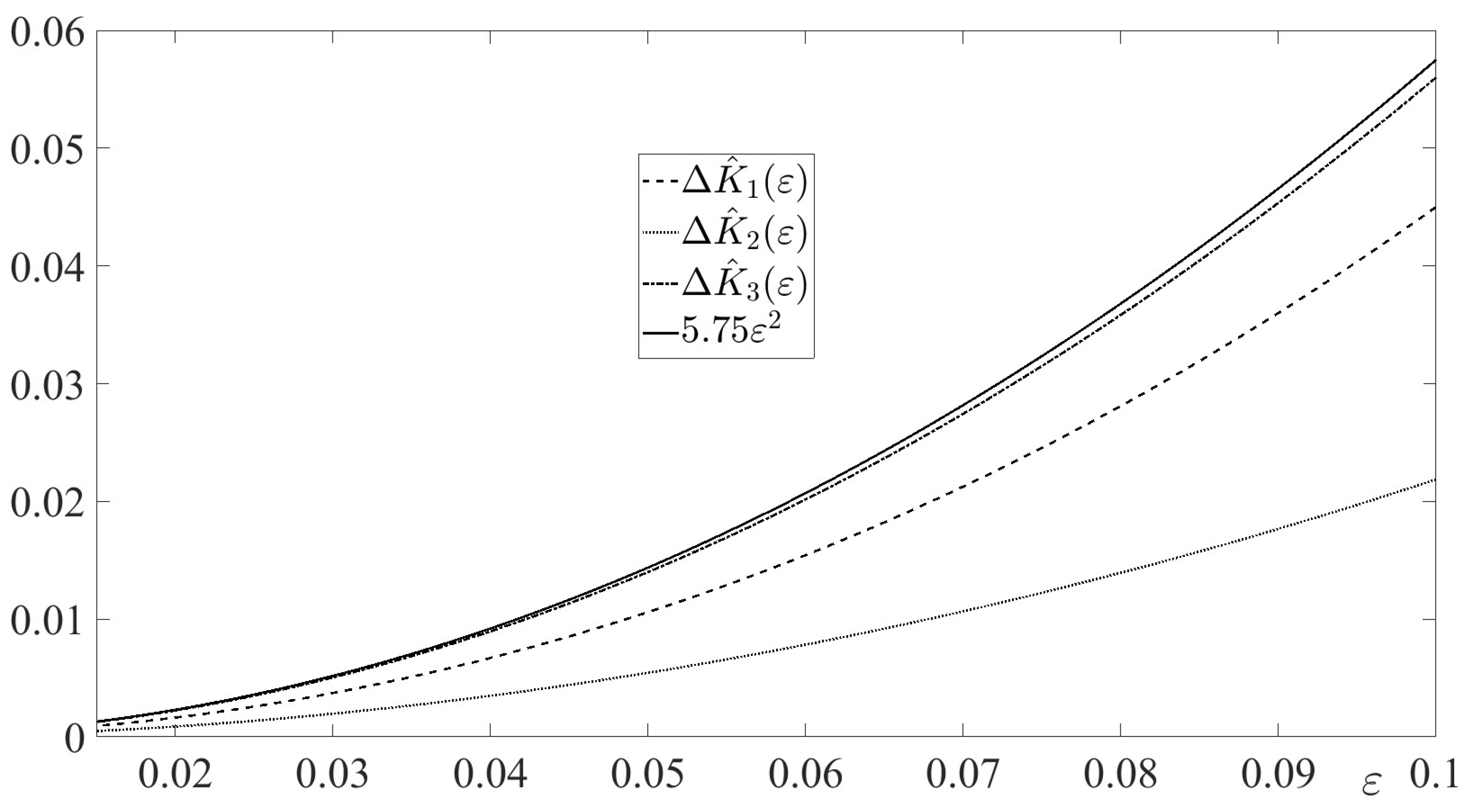
7. Example
7.1. Case I of the Matrix
7.2. Case II of the Matrix
8. Conclusions
References
- O’Malley, R.E. Cheap control, singular arcs, and singular perturbations. In Optimal Control Theory and its Applications; Kirby, B.J. Ed.; Lecture Notes in Economics and Mathematical Systems, Volume 106; Springer: Berlin, Heidelberg, Germany, 1974.
- Bell, D.J.; Jacobson, D.H. Singular Optimal Control Problems; Academic Press: Cambridge, MA, USA, 1975.
- O’Malley, R.E. The singular perturbation approach to singular arcs. In International Conference on Differential Equations; Antosiewicz, H.A., Ed.; Elsevier Inc.: Amsterdam, Netherlands, 1975, pp. 595–611.
- O’Malley, R.E.; Jameson, A. Singular perturbations and singular arcs, I. IEEE Trans. Automat. Control 1975, 20, 218–-226.
- O’Malley, R.E. A more direct solution of the nearly singular linear regulator problem. SIAM J. Control Optim. 1976,14, 1063–1077.
- O’Malley, R.E.; Jameson, A. Singular perturbations and singular arcs, II. IEEE Trans. Automat. Control 1977, 22, 328–-337.
- Kurina, G.A. A degenerate optimal control problem and singular perturbations. Soviet Math. Dokl. 1977, 18, 1452–-1456.
- Sannuti, P.; Wason, H.S. Multiple time-scale decomposition in cheap control problems – singular control. IEEE Trans. Automat. Control 1985, 30, 633–-644. [CrossRef]
- Saberi, A.; Sannuti, P. Cheap and singular controls for linear quadratic regulators. IEEE Trans. Automat. Control 1987, 32, 208–-219. [CrossRef]
- Smetannikova, E.N.; Sobolev, V.A. Regularization of cheap periodic control problems. Automat. Remote Control 2005, 66, 903–-916. [CrossRef]
- Glizer, V.Y. Stochastic singular optimal control problem with state delays: Regularization, singular perturbation, and minimizing sequence. SIAM J. Control Optim. 2012, 50, 2862–-2888. [CrossRef]
- Glizer, V.Y. Saddle-point equilibrium sequence in one class of singular infinite horizon zero-sum linear-quadratic differential games with state delays. Optimization 2019, 68, 349–384. [CrossRef]
- Shinar, J.; Glizer, V.Y.; Turetsky, V. Solution of a singular zero-sum linear-quadratic differential game by regularization. Int. Game Theory Rev. 2014, 16, 1–-32. [CrossRef]
- Glizer, V.Y.; Kelis, O. Singular Linear-Quadratic Zero-Sum Differential Games and H∞ Control Problems: Regularization Approach; Birkhauser: Basel, Switzerland, 2022.
- Kwakernaak, H.; Sivan, R. The maximally achievable accuracy of linear optimal regulators and linear optimal filters. IEEE Trans. Autom. Control 1972, 17, 79–-86. [CrossRef]
- Francis, B. The optimal linear-quadratic time-invariant regulator with cheap control. IEEE Trans. Autom. Control 1979, 24, 616–621. [CrossRef]
- Saberi, A.; Sannuti, P. Cheap control problem of a linear uniform rank system: Design by composite control. Automatica 1986, 22, 757–759. [CrossRef]
- Lee, J.T.; Bien, Z.N. A quadratic regulator with cheap control for a class of nonlinear systems. J. Optim. Theory Appl. 1987, 55, 289-–302. [CrossRef]
- Braslavsky, J.H.; Seron, M.M.; Mayne, D.Q.; Kokotovic, P.V. Limiting performance of optimal linear filters. Automatica 1999, 35, 189–-199. [CrossRef]
- Seron, M.M.; Braslavsky, J.H.; Kokotovic, P.V.; Mayne, D.Q. Feedback limitations in nonlinear systems: From Bode integrals to cheap control. IEEE Trans. Autom. Control 1999, 44, 829–-833. [CrossRef]
- Glizer, V.Y.; Kelis, O. Asymptotic properties of an infinite horizon partial cheap control problem for linear systems with known disturbances. Numer. Algebra Control Optim. 2018, 8, 211–-235. [CrossRef]
- Moylan, P.J.; Anderson, B.D.O. Nonlinear regulator theory and an inverse optimal control problem. IEEE Trans. Autom. Control 1973, 18, 460–-465. [CrossRef]
- Young, K.D.; Kokotovic, P.V.; Utkin, V.I. A singular perturbation analysis of high-gain feedback systems. IEEE Trans. Autom. Control 1977, 22, 931–-938. [CrossRef]
- Kokotovic, P.V.; Khalil, H.K.; O’Reilly, J. Singular Perturbation Methods in Control: Analysis and Design; Academic Press: London, UK, 1986.
- Petersen, I.R. Linear-quadratic differential games with cheap control. Syst. Control Lett. 1986, 8, 181–-188. [CrossRef]
- Glizer, V.Y. Asymptotic solution of zero-sum linear-quadratic differential game with cheap control for the minimizer. NoDEA Nonlinear Diff. Equ. Appl. 2000, 7, 231–-258. [CrossRef]
- Turetsky, V.; Shinar, J. Missile guidance laws based on pursuit—evasion game formulations. Automatica 2003, 39, 607–-618. [CrossRef]
- Turetsky, V. Upper bounds of the pursuer control based on a linear-quadratic differential game. J. Optim. Theory Appl. 2004, 121, 163–-191. [CrossRef]
- Turetsky, V.; Glizer, V.Y. Robust solution of a time-variable interception problem: A cheap control approach. Int. Game Theory Rev. 2007, 9, 637–-655. [CrossRef]
- Turetsky, V.; Glizer, V.Y.; Shinar, J. Robust trajectory tracking: Differential game/cheap control approach. Int. J. Systems Sci. 2014, 45, 2260–-2274. [CrossRef]
- Turetsky, V.; Glizer, V.Y. Cheap control in a non-scalarizable linear-quadratic pursuit-evasion game: Asymptotic analysis. Axioms 2022, 11, 214. [CrossRef]
- Glizer, V.Y. Nash equilibrium sequence in a singular two-person linear-quadratic differential game. Axioms 2021, 10, 132. [CrossRef]
- Glizer, V.Y. Nash equilibrium in a singular infinite horizon two-person linear-quadratic differential game. Pure Appl. Funct. Anal. 2022, 7, 1657–1698.
- Glizer, V.Y. Solution of one class of singular two-person Nash equilibrium games with state and control delays: regularization approach. Appl. Set-Valued Anal. Optim. 2023, 5, 401–438.
- Glizer, V.Y.; Turetsky, V. One class of Stackelberg linear-quadratic differential games with cheap control of a leader: asymptotic analysis of open-loop solution. Axioms 2024, 13, 801. [CrossRef]
- Glizer, V.Y. Solution of a singular minimum energy control problem for time delay system: regularization approach. Pure Appl. Funct. Anal. 2023, 8, 1413-1435.
- Vasil’eva, A.B.; Butuzov, V.F.; Kalachev, L.V. The Boundary Function Method for Singular Perturbation Problems; SIAM Books: Philadelphia, PA, USA, 1995.
- Bellman, R. Introduction to Matrix Analysis; SIAM Books: Philadelphia, PA, USA, 1997.
- Sibuya, Y. Some global properties of matrices of functions of one variable. Math. Annalen 1965, 161, 67–-77. [CrossRef]
- Basar, T.; Olsder, G.J. Dynamic Noncooperative Game Theory; Academic Press: London, UK, 1992.
- Zhukovskii, V.I. Analytic design of optimum strategies in certain differential games. I. Autom. Remote Control 1970, 4, 533-–536.
- Derevenskii, V.P. Matrix Bernoulli equations, I. Russiam Math. 2008, 52, 12–-21. [CrossRef]
- Gajic, Z.; Qureshi, M.T.J. Lyapunov Matrix Equation in System Stability and Control; Dover Publications: Mineola, NY, USA, 2008.
- Abou-Kandil, H.; Freiling, G.; Ionescu, V.; Jank, G. Matrix Riccati Equations in Control and Systems Theory; Birkhauser: Basel, Switzerland, 2003.
- Glizer, V.Y. Asymptotic solution of a cheap control problem with state delay. Dynam. Control 1999, 9, 339–-357. [CrossRef]
- Kwakernaak, H.; Sivan, R. Linear Optimal Control Systems; Wiley-Interscience: New York, NY, USA, 1972.






Disclaimer/Publisher’s Note: The statements, opinions and data contained in all publications are solely those of the individual author(s) and contributor(s) and not of MDPI and/or the editor(s). MDPI and/or the editor(s) disclaim responsibility for any injury to people or property resulting from any ideas, methods, instructions or products referred to in the content. |
© 2025 by the authors. Licensee MDPI, Basel, Switzerland. This article is an open access article distributed under the terms and conditions of the Creative Commons Attribution (CC BY) license (http://creativecommons.org/licenses/by/4.0/).