Submitted:
01 July 2025
Posted:
02 July 2025
You are already at the latest version
Abstract

Keywords:
1. Introduction
2. Materials and Methods
2.1. Material
2.2. Characterization
2.3. Water Adsorption and Desorption
3. Results and Discussion
3.1. Characterization
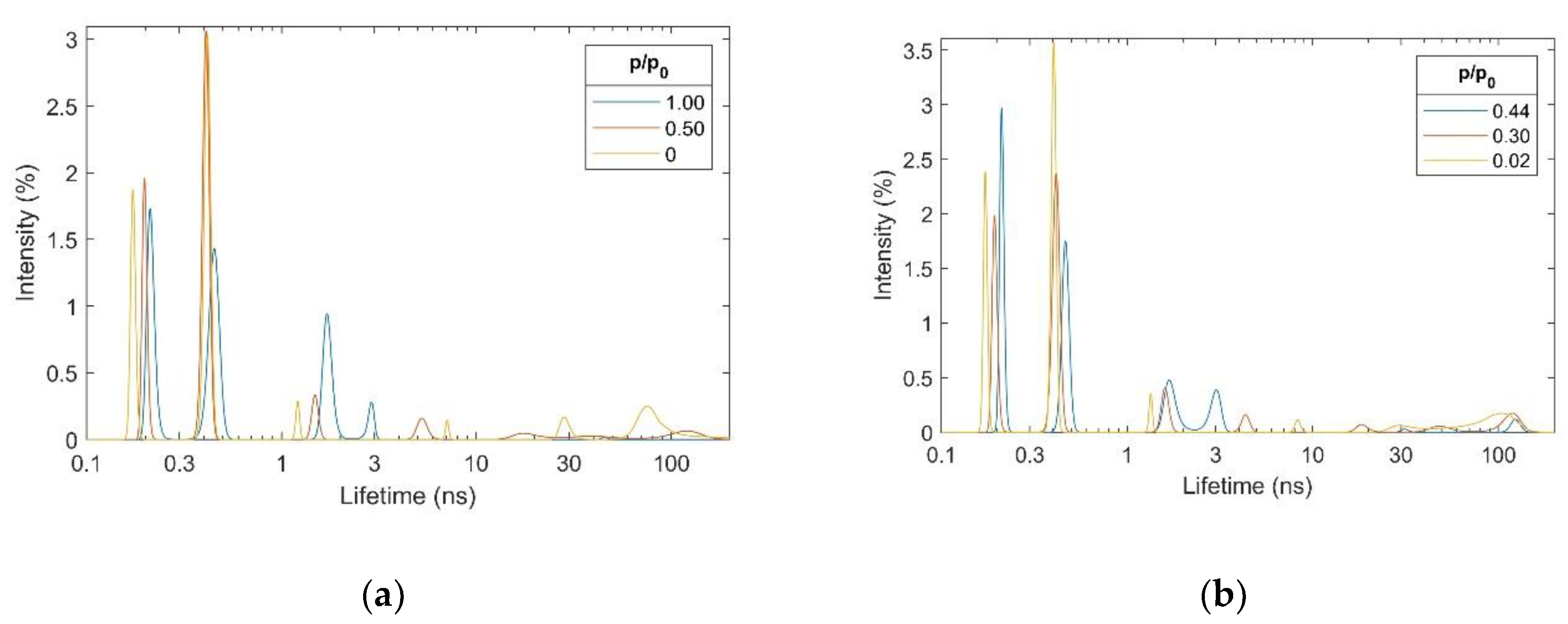
3.2. Water Adsorption and Desorption
- dry (p/p0 = 0),
- approximately in the middle of mesopore filling (p/p0 = 0.50),
- pores almost filled (p/p0 = 1.00),
- empty mesopores start to appear (p/p0 = 0.44),
- approximately in the middle of mesopore emptying (p/p0 = 0.30),
- pores almost completely emptied (p/p0 = 0.02).
5. Conclusions
Author Contributions
Funding
Institutional Review Board Statement
Informed Consent Statement
Data Availability Statement
Acknowledgments
Conflicts of Interest
Abbreviations
| BET | Brunauer − Emmett − Teller equation |
| DFT | Density functional theory |
| EDS | Energy dispersive X-ray spectrometer |
| PALS | Positron annihilation lifetime spectroscopy |
| PSD | Pore size distribution |
| SEM | Scanning electron microscope |
| XRD | X-ray diffraction |
Appendix


References
- Yang, R. T., Adsorbents: Fundamentals and Applications. John Wiley & Sons: 2003; p 424.
- Digne, M.; Sautet, P.; Raybaud, P.; Euzen, P.; Toulhoat, H., Use of DFT to achieve a rational understanding of acid–basic properties of γ-alumina surfaces. J. Catal. 2004, 226, (1), 54-68.
- Levin, I.; Brandon, D., Metastable Alumina Polymorphs: Crystal Structures and Transition Sequences. J. Am. Ceram. Soc. 1998, 81, (8), 1995-2012.
- Kasprzyk-Hordern, B., Chemistry of alumina, reactions in aqueous solution and its application in water treatment. Adv. Colloid Interface Sci. 2004, 110, (1-2), 19-48.
- Oh, H.-T.; Lim, S.-J.; Kim, J. H.; Lee, C.-H., Adsorption Equilibria of Water Vapor on an Alumina/Zeolite 13X Composite and Silica Gel. J. Chem. Eng. Data 2017, 62, (2), 804-811. [CrossRef]
- Reshetnikov, S.; Kurzina, I., Investigation of adsorption of water vapor on porous aluminium oxide material. IOP Conference Series: Materials Science and Engineering 2019, 597, (1), 012011.
- Hong, S.-H.; Jin, S.; Ho, K.; Hur, E.; Lee, C.-H., Adsorption Equilibria of Water Vapor on Surface-Modified Activated Carbons and Alumina. J. Chem. Eng. Data 2019, 64, (11), 4834-4843. [CrossRef]
- Saha, D.; Deng, S., Characteristics of Ammonia Adsorption on Activated Alumina. J. Chem. Eng. Data 2010, 55, (12), 5587-5593. [CrossRef]
- Srivastav, A.; Srivastava, V. C., Adsorptive desulfurization by activated alumina. J. Hazard. Mater. 2009, 170, (2-3), 1133-1140.
- De Paula, N.; Maraschin, M.; Knani, S.; De Oliveira, J. T.; Agustini, C. B.; Féris, L. A.; Claussen, L. E.; De Souza, D. M.; Oliveira, M. L. S.; Silva, L. F. O.; Dotto, G. L.; Jahn, S. L.; Carissimi, E., Ozone-treated activated alumina as an alternative adsorbent to remove fluoride from water: Conventional and Bayesian approaches to evaluate the isotherms, kinetics, and thermodynamics. Journal of Environmental Chemical Engineering 2023, 11, (6), 111403. [CrossRef]
- Hu, C. Y.; Lo, S. L.; Kuan, W. H., Effects of the molar ratio of hydroxide and fluoride to Al(III) on fluoride removal by coagulation and electrocoagulation. J. Colloid Interface Sci. 2005, 283, (2), 472-476. [CrossRef]
- Zamorategui Molina, A.; Ramírez Ramírez, N.; Martínez Rosales, J. M.; Serafín M, A. H., Síntesis y caracterización de gamma alúmina y su comparación con un carbón activado para remover el fluoruro presente en agua potable de pozos. Acta Universitaria 2016, 26, (2), 30-35.
- Inchaurrondo, N.; Di Luca, C.; Mori, F.; Pintar, A.; Žerjav, G.; Valiente, M.; Palet, C., Synthesis and adsorption behavior of mesoporous alumina and Fe-doped alumina for the removal of dominant arsenic species in contaminated waters. Journal of Environmental Chemical Engineering 2019, 7, (1), 102901. [CrossRef]
- Giles, D. E.; Mohapatra, M.; Issa, T. B.; Anand, S.; Singh, P., Iron and aluminium based adsorption strategies for removing arsenic from water. Journal of Environmental Management 2011, 92, (12), 3011-3022. [CrossRef]
- Fernandes, E. P.; Silva, T. S.; Carvalho, C. M.; Selvasembian, R.; Chaukura, N.; Oliveira, L. M. T. M.; Meneghetti, S. M. P.; Meili, L., Efficient adsorption of dyes by γ-alumina synthesized from aluminum wastes: Kinetics, isotherms, thermodynamics and toxicity assessment. Journal of Environmental Chemical Engineering 2021, 9, (5), 106198.
- Ali, S.; Abbas, Y.; Zuhra, Z.; Butler, I. S., Synthesis of γ-alumina (Al2O3) nanoparticles and their potential for use as an adsorbent in the removal of methylene blue dye from industrial wastewater. Nanoscale Advances 2019, 1, (1), 213-218.
- Viisanen, Y.; Lbadaoui-Darvas, M.; Alvarez Piedehierro, A.; Welti, A.; Nenes, A.; Laaksonen, A., Water Vapor Adsorption–Desorption Hysteresis Due to Clustering of Water on Nonporous Surfaces. Langmuir 2024, 40, (38), 20311-20321.
- Ionescu, A.; Allouche, A.; Aycard, J.-P.; Rajzmann, M.; Hutschka, F., Study of γ-Alumina Surface Reactivity: Adsorption of Water and Hydrogen Sulfide on Octahedral Aluminum Sites. The Journal of Physical Chemistry B 2002, 106, (36), 9359-9366. [CrossRef]
- Serbezov, A., Adsorption Equilibrium of Water Vapor on F-200 Activated Alumina. J. Chem. Eng. Data 2003, 48, (2), 421-425. [CrossRef]
- Borello, E., Surface rehydration of variously dehydrated eta-alumina. J. Catal. 1974, 35, (1), 1-10.
- Altarawneh, M.; Assaf, N. W.; Hussain, H. M.; Dlugogorski, B. Z., Structural properties of alumina surfaces and their roles in the synthesis of environmentally persistent free radicals (EPFRs). Nanotechnology Reviews 2023, 12, (1). [CrossRef]
- Kozerozhets, I. V.; Semenov, E. A.; Avdeeva, V. V.; Ivakin, Y. D.; Kupreenko, S. Y.; Egorov, A. V.; Kholodkova, A. A.; Vasil’ev, M. G.; Kozlova, L. O.; Panasyuk, G. P., State and forms of water in dispersed aluminum oxides and hydroxides. Ceram. Int. 2023, 49, (18), 30381-30394. [CrossRef]
- Brunauer, S.; Emmett, P. H.; Teller, E., Adsorption of Gases in Multimolecular Layers. J. Am. Chem. Soc. 1938, 60, (2), 309-319. [CrossRef]
- Thommes, M.; Kaneko, K.; Neimark, A. V.; Olivier, J. P.; Rodriguez-Reinoso, F.; Rouquerol, J.; Sing, K. S. W., Physisorption of gases, with special reference to the evaluation of surface area and pore size distribution (IUPAC Technical Report). 2015.
- Al-Abadleh, H. A.; Grassian, V. H., FT-IR Study of Water Adsorption on Aluminum Oxide Surfaces. Langmuir 2003, 19, (2), 341-347. [CrossRef]
- Xu, H.; Zhang, C.; Cai, J.; Wang, J.; Liu, K.; Cheng, X., Synthesis and characterization of activated alumina with high thermal stability by a low-heat solid-phase precursor method. Microporous Mesoporous Mater. 2022, 337, 111921. [CrossRef]
- Wang, Q.; Li, W.; Hung, I.; Mentink-Vigier, F.; Wang, X.; Qi, G.; Wang, X.; Gan, Z.; Xu, J.; Deng, F., Mapping the oxygen structure of γ-Al2O3 by high-field solid-state NMR spectroscopy. Nature Communications 2020, 11, (1), 3620. [CrossRef]
- Rui, Z.; Yan, Z.; Kai, H.; Zhen-ping, J.; Gong-zhen, C., NMR revealed activated alumina-water interaction. Wuhan University Journal of Natural Sciences 2005, 10, (3), 572-576.
- Thommes, M.; Kaneko, K.; Neimark, A. V.; Olivier, J. P.; Rodriguez-Reinoso, F.; Rouquerol, J.; Sing, K. S. W., Physisorption of gases, with special reference to the evaluation of surface area and pore size distribution (IUPAC Technical Report). Pure Appl. Chem. 2015, 87, (9-10), 1051-1069.
- Zubiaga, A.; Warringham, R.; Mitchell, S.; Gerchow, L.; Cooke, D.; Crivelli, P.; Pérez-Ramírez, J., Pore Topology Effects in Positron Annihilation Spectroscopy of Zeolites. ChemPhysChem 2017, 18, (5), 470-479.
- Warringham, R.; Gerchow, L.; Zubiaga, A.; Cooke, D.; Crivelli, P.; Mitchell, S.; Pérez-Ramírez, J., Insights into the Mechanism of Zeolite Detemplation by Positron Annihilation Lifetime Spectroscopy. The Journal of Physical Chemistry C 2016, 120, (44), 25451-25461.
- Milina, M.; Mitchell, S.; Cooke, D.; Crivelli, P.; Pérez-Ramírez, J., Impact of Pore Connectivity on the Design of Long-Lived Zeolite Catalysts. Angewandte Chemie International Edition 2015, 54, (5), 1591-1594.
- Urban-Klaehn, J.; Shikhaliyev, K.; Gaffney, A.; Martinez, A.; Zaleski, R.; Lauterbach, J.; Katz, A.; Jaeshke, A.; Li, X., Zeolite-Based Catalysts for Conversion of Oxygenated Polymer Waste by Positron Annihilation. ChemCatChem 2024, 16, (4), e202301282. [CrossRef]
- Attallah, A. G.; Bon, V.; Maity, K.; Hirschmann, E.; Butterling, M.; Wagner, A.; Kaskel, S., Unravelling the Water Adsorption Mechanism in Hierarchical MOFs: Insights from In Situ Positron Annihilation Lifetime Studies. ACS Applied Materials & Interfaces 2023, 15, (41), 48264-48276.
- Zaleski, R.; Krasucka, P.; Skrzypiec, K.; Goworek, J., Macro- and Nanoscopic Studies of Porous Polymer Swelling. Macromolecules 2017, 50, (13), 5080-5089.
- Kierys, A.; Zaleski, R.; Grochowicz, M.; Gorgol, M.; Sienkiewicz, A., Polymer–mesoporous silica composites for drug release systems. Microporous Mesoporous Mater. 2020, 294, 109881. [CrossRef]
- Zaleski, R.; Błażewicz, A.; Kierys, A., Ortho-positronium migration in mesopores of MCM-41, MSF and SBA-3. Nukleonika 2013, 58, (1), 233−238.
- Zaleski, R.; Gorgol, M.; Kierys, A.; Goworek, J., Positron porosimetry study of mesoporous polymer–silica composites. Adsorption 2016, 22, (4), 745-754. [CrossRef]
- Lupa, J.; Gorgol, M.; Greluk, M.; Rotko, M.; Słowik, G.; Zaleski, R.; Kierys, A., Toward Understanding the Reduction Process of Nickel Oxide and Ceria-Based Nickel Catalyst via Positron Annihilation Lifetime Spectroscopy. The Journal of Physical Chemistry C 2025, 129, (25), 11355-11364.
- Zaleski, R.; Kierys, A.; Pietrow, M.; Zgardzińska, B.; Błażewicz, A., Influence of different confining matrices on negative pressure in liquid n-heptane investigated using positronium bubbles as a probe. J. Colloid Interface Sci. 2020, 558, 259-268. [CrossRef]
- Kierys, A.; Zaleski, R.; Tydda, M.; Goworek, J., What can positronium tell us about adsorption? Adsorption 2013, 19, (2-4), 529-535.
- Kierys, A.; Zaleski, R.; Gorgol, M.; Goworek, J., N-Heptane adsorption in periodic mesoporous silica by in situ positron annihilation lifetime spectroscopy. Microporous Mesoporous Mater. 2013, 179, 104-110. [CrossRef]
- Attallah, A. G.; Bon, V.; Hirschmann, E.; Butterling, M.; Wagner, A.; Zaleski, R.; Kaskel, S., Uncovering the Dynamic CO2 Gas Uptake Behavior of CALF-20 (Zn) under Varying Conditions via Positronium Lifetime Analysis. Small 2025, 21, (14), 2500544. [CrossRef]
- Stuart, N. M.; Sohlberg, K., The Microstructure of γ-Alumina. Energies 2021, 14, (20), 6472.
- Compalox® activated aluminum oxides. https://chembase-st.com/wp-content/uploads/Compalox-Activated-Aluminum-Oxides-for-Sustainability.pdf (12.06.2025),.
- Becvár, F., Methodology of positron lifetime spectroscopy: Present status and perspectives. Nucl. Instrum. Methods Phys. Res., Sect. B 2007, 261, (1-2), 871-874. [CrossRef]
- Kansy, J., Microcomputer program for analysis of positron annihilation lifetime spectra. Nucl. Instrum. Methods Phys. Res., Sect. A 1996, 374, (2), 235-244.
- Shukla, A.; Peter, M.; Hoffmann, L., Analysis of positron lifetime spectra using quantified maximum entropy and a general linear filter. Nucl. Instrum. Methods Phys. Res., Sect. A 1993, 335, (1-2), 310-317.
- Zaleski, R., Principles of positron porosimetry. Nukleonika 2015, 60, (4), 795-800. [CrossRef]
- Vorobiev, J. K.; Badaev, B. N.; Ljubushko, G. I.; Levitsky, E. A.; Boreskov, G. K.; Andrushkevich, M. M.; Baum, B. A.; Pakhomov, N. A.; Khomyakova, L. G.; Khramov, A. E.; Rodionova, N. A.; Isaev, B. N.; Knyazev, V. M.; Moroz, E. M.; Erofeev, V. N.; Druzhinin, I. P.; Shkrabina, R. A. Method of preparing granulated activated alumina US Patent 4,166,100, filled 1978-05-26, and issued 1979-08-28.
- Loarer, J.-L. L.; Nussbaum, H.; Bortzmeyer, D. Alumina extrudates, methods for preparing and use as catalysts supports. US Patent 6,656,875 B1, filled 1998-06-10, and issued 2003-12-02.
- Chopin, T.; Fourre, P.; Jaeger, P.; Taxil, B. Crush resistant adsorptive agglomerates of activated alumina. US Patent 5,637,547, filled 1995-09-22, and issued 1997-06-10.
- Zhou, R.-S.; Snyder, R. L., Structures and transformation mechanisms of the [eta], [gamma] and [theta] transition aluminas. Acta Crystallographica Section B 1991, 47, (5), 617-630.
- van Gog, H., First-principles study of dehydration interfaces between diaspore and corundum, gibbsite and boehmite, and boehmite and γ-Al2O3: Energetic stability, interface charge effects, and dehydration defects. Appl. Surf. Sci. 2021, 541, 148501.
- Prins, R., On the structure of γ-Al2O3. J. Catal. 2020, 392, 336-346.
- Thommes, M.; Kaneko, K.; Neimark Alexander, V.; Olivier James, P.; Rodriguez-Reinoso, F.; Rouquerol, J.; Sing Kenneth, S. W., Physisorption of gases, with special reference to the evaluation of surface area and pore size distribution (IUPAC Technical Report). In Pure Appl. Chem., 2015; Vol. 87, p 1051.
- Gorgol, M.; Tydda, M.; Kierys, A.; Zaleski, R., Composition of pore surface investigated by positron annihilation lifetime spectroscopy. Microporous Mesoporous Mater. 2012, 163, (0), 276-281. [CrossRef]
- Thraenert, S.; Hassan, E. M.; Enke, D.; Fuerst, D.; Krause-Rehberg, R., Verifying the RTE model: ortho-positronium lifetime measurement on controlled pore glasses. Phys. Status Solidi C 2007, 4, (10), 3819-3822.
- Consolati, G.; Quasso, F., Positronium dynamics in aqueous solutions of ionic surfactants. Chem. Phys. 1996, 213, (1-3), 449-457.
- Murakami, H.; Endo, T.; Matsuda, I., Positron lifetime in voids induced in quenched aluminum. Phys. Rev. B: Condens. Matter Mater. Phys. 1991, 44, (6), 2504-2506. [CrossRef]
- Zaleski, R.; Kotowicz, O.; Górska, A.; Zaleski, K.; Zgardzińska, B., Investigation of the Ability to Detect Electrolyte Disorder Using PET with Positron Annihilation Lifetime Spectroscopy. The Journal of Physical Chemistry B 2023, 127, (46), 9887-9890.
- Stepanov, S. V.; Byakov, V. M.; Duplâtre, G.; Zvezhinskiy, D. S.; Lomachuk, Y. V., Positronium formation in a liquid phase: Influence of intratrack reactions and temperature. Phys. Status Solidi C 2009, 6, (11), 2476-2481. [CrossRef]
- Stepanov, S. V.; Byakov, V. M.; Hirade, T., To the theory of Ps formation. New interpretation of the e+ lifetime spectrum in water. Radiat. Phys. Chem. 2007, 76, (2), 90-95.
- Zaleski, R.; Gorgol, M.; Kierys, A.; Maheshwari, P.; Pietrow, M.; Pujari, P. K.; Zgardzińska, B., Unraveling the Phase Behavior of Water Confined in Nanochannels through Positron Annihilation. The Journal of Physical Chemistry C 2022, 126, (13), 5916-5926.
- Ferrell, R. A., Long Lifetime of Positronium in Liquid Helium. Phys. Rev. 1957, 108, (2), 167-168. [CrossRef]
- Maheshwari, P.; Gorgol, M.; Kierys, A.; Zaleski, R., Positron Probing of Liquid-free Volume To Investigate Adsorption–Desorption Behavior of Water in Two-Dimensional Mesoporous SBA-3. J. Phys. Chem. C 2017, 121, (32), 17251-17262.
- Zaleski, R., Measurement and Analysis of the Positron Annihilation Lifetime Spectra for Mesoporous Silica. Acta Phys. Polon. A 2006, 110, (5), 729-738. [CrossRef]
- Gorgol, M.; Krasucka, P.; Goworek, J.; Zaleski, R., Controlled Porosity of MCM-41 Obtained by Partial Blocking of Pores by Silicon Oil. Acta Phys. Polon. A 2017, 132, (5), 1559-1563. [CrossRef]
- Zaleski, R.; Gorgol, M.; Błazewicz, A.; Kierys, A.; Goworek, J., N-heptane adsorption and desorption in mesoporous materials. Journal of Physics: Conference Series 2015, 618, (1), 012040.






Disclaimer/Publisher’s Note: The statements, opinions and data contained in all publications are solely those of the individual author(s) and contributor(s) and not of MDPI and/or the editor(s). MDPI and/or the editor(s) disclaim responsibility for any injury to people or property resulting from any ideas, methods, instructions, or products referred to in the content. |
© 2025 by the authors. Licensee MDPI, Basel, Switzerland. This article is an open access article distributed under the terms and conditions of the Creative Commons Attribution (CC BY) license (http://creativecommons.org/licenses/by/4.0/).
