Submitted:
30 June 2025
Posted:
02 July 2025
You are already at the latest version
Abstract
Keywords:
1. Introduction
2. Materials and Methods
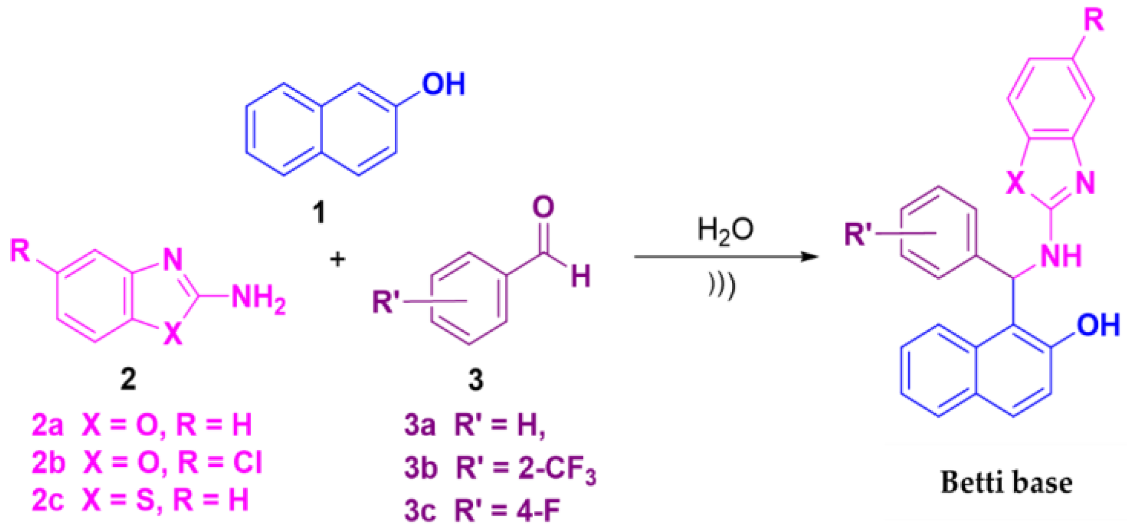
2.1. Molecular Design
2.2. Betti Bases
2.3. Establishment of a T. urticae Colony
2.4. Preparation of the Tested Compounds
2.5. Evaluation of Mortality of Adults and Nymphs of T. urticae
2.6. Evaluation of Ovicidal Activity
2.7. Statistical Analysis
3. Results
3.1. Betti Bases
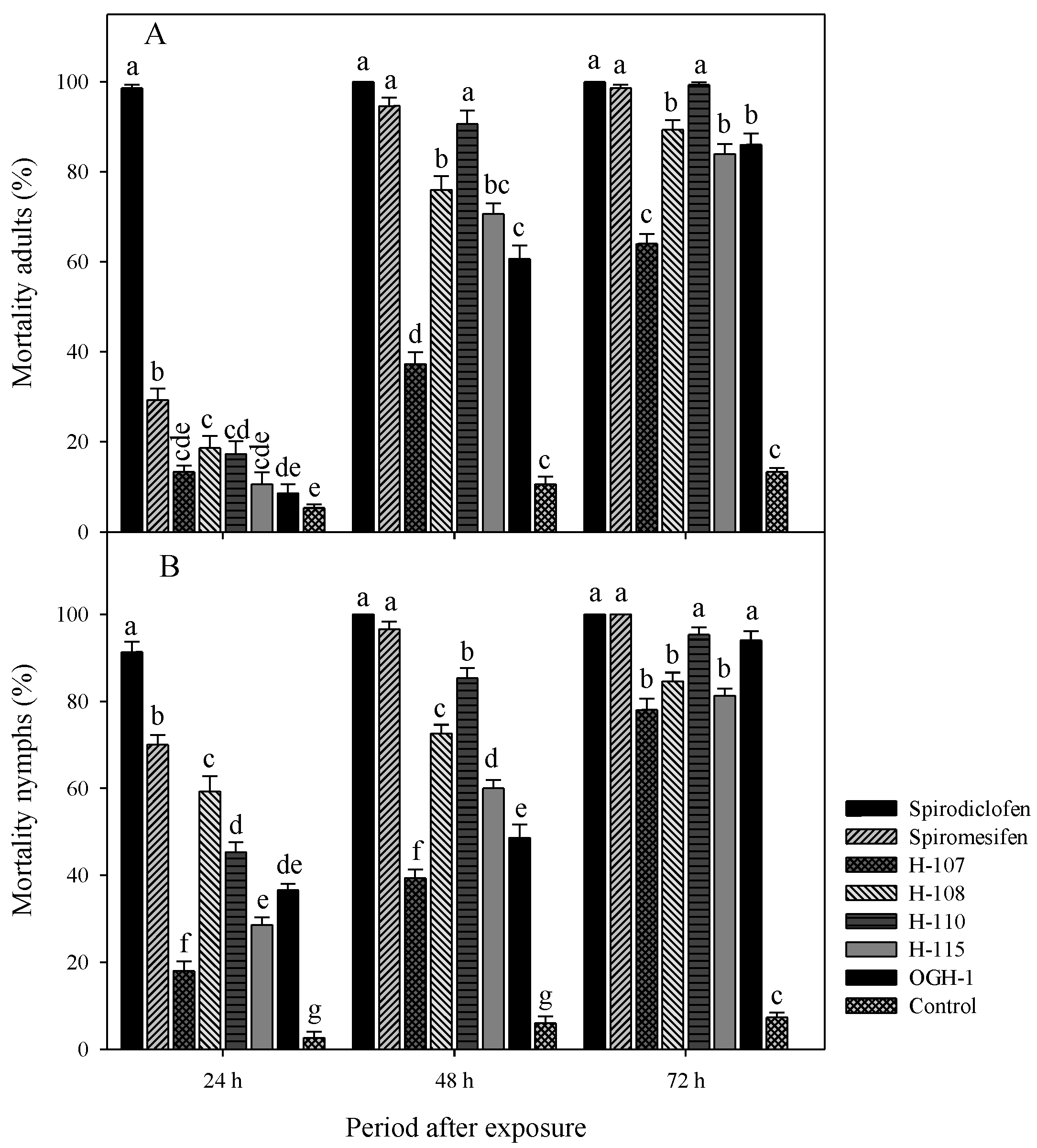
3.2. Toxicity of Acaricidal Compounds in Adults and Nymphs of T. urticae
3.3. Ovicidal Activity of Acaricidal Compounds
4. Discussion
5. Conclusions
Author Contributions
Funding
Data Availability Statement
Acknowledgments
Conflicts of Interest
References
- Su, J.Y.; Zhu, Y.; Zeng, L.M.; Xu, X.H. A new bisindole from alga Caulerpa Serrulata. J. Nat. Prod. 1997, 60, 1043–1044. [Google Scholar] [CrossRef]
- Aguilar-Santos, G. Caulerpin, a new red pigment from green Aalgae of the genus Caulerpa. J. Chem. Soc. (C). 1970, 6, 842–843. [Google Scholar] [CrossRef]
- Liu, D.Q.; Mao, S.C.; Yu, X.Q.; Feng, L.H.; Lai, X.P. Caulerchlorin, a novel chlorinated bisindole alkaloid with antifungal activity from the chinese green alga Caulerpa Racemosa. Heterocycles, 2012, 85, 661–666. [Google Scholar] [CrossRef]
- Mehra, R.; Bhushan, S.; Bast, F.; Singh, S. Marine macroalga Caulerpa: role of its Metabolites in modulating cancer signaling. Mol. Biol. Rep. 2019, 46, 3545–3555. [Google Scholar] [CrossRef]
- Esteves, P.O.; De Oliveira, M.C.; De Souza Barros, C.; Cirne-Santos, C.C.; Laneuvlille, V.T.; Palmer, P.IC. Antiviral Effect of Caulerpin Against Chikungunya.” Nat. Prod. Commun. 2019, 14, 1934578X19878295. [CrossRef]
- Mignani, S.; Majoral, J.P.; Desaphy, J.F.; Lentini, G. From riluzole to dexpramipexole via substituted-Benzothiazole derivatives for amyotrophic lateral sclerosis disease treatment: Case studies. Molecules. 2020, 25, 3320. [Google Scholar] [CrossRef]
- Kappe, C.O. Recent Advances in the Biginelli Dihydropyrimidine Synthesis. New Tricks from an Old Dog. Acc.Chem. Res. 2000, 33, 879–888. [Google Scholar] [CrossRef] [PubMed]
- Kumari, S.; Chauhan, U.; Kumari, U.; Nadda, G. Comparative toxicities of novel and conventional acaricides against different stages of Tetranychus urticae Koch (Acarina: Tetranychidae). J. Saudi Soc. Agric. Sci. [CrossRef]
- Adesanya, A.W.; Beauchamp, M.J.; Lavine, M.D.; Lavine, L.C.; Zhu, F.; Walsh, D.B. Physiological resistance alters behavioral response of Tetranychus urticae to acaricides. Sci Rep. 2019, 9, 19308. [Google Scholar] [CrossRef]
- Schmidt-Jeffris, R.; Coffey, J.L.; Miller, G.; Farran, M. 2021. Residual activity of acaricides for controlling spider mites in watermelon and their impacts on resident predatory mites. J. Economic. Entomol. 2021, 114, 818–827. [Google Scholar] [CrossRef]
- Uddin, N.; Alam, Z.; Miah, U.R.; Hossain, M.I.; Mustarin, K.E. Toxicity of pesticides to Tetranychus urticae Koch (Acari: Tetranychidae) and their side effects on Neoseiulus californicus (Acari: Phytoseiidae). Int. J. Acarol. 2015, 41, 688–693. [Google Scholar] [CrossRef]
- Montoya, A.; Galano-Flores, G.; Rodríguez, H.; Franco, A.A.; Zardi, O.Z.; Yamamoto, P.T. Toxicity of acaricides on Tetranychus urticae (Koch) in the laboratory. Rev. Prot. Veg. 2017, 32, 60–67. [Google Scholar]
- Zhao, J.H.; Wang, Z.C.; Ji, M.H.; Cheng, J.L.; Zhu, G.N.; Yu, C.M. Synthesis and bioactivity evaluation of novel spiromesifen derivatives. Pest Manag Sci. 2012, 68, 10–5. [Google Scholar] [CrossRef] [PubMed]
- Van Leeuwen, T.; Tirry, L. , Yamamoto, A.; Nauen, R.; Dermauw, W. The economic importance of acaricides in the control of phytophagous mites and an update on recent acaricide mode of action research. Pest. Biochem. Physiol. 2014, 121, 12–21. [Google Scholar] [CrossRef]
- Badieinia, F.; Khajehali, J.; Nauen, R.; Dermauw, W.; Van Leeuwen, T. Metabolic mechanisms of resistance to spirodiclofen and spiromesifen in Iranian populations of Panonychus ulmi. Crop Prot. 2020, 134, 105166. [Google Scholar] [CrossRef]
- Suzuki, J.; Ootaka, A.; Onoue, S.; Onoue, M. Synthesis and acaricidal activity of phenylpiperazine derivatives. J. Pestic. Sci. 2021, 46, 189–197. [Google Scholar] [CrossRef] [PubMed]
- Xu, Z.Y.; Feng, T.; Liu, Q.; Li, H.T.; Wei, W.; Shi, R.C.; Cao, Y.M.; Liu, S.Z. Design, synthesis, fungicidal and insecticidal activities of novel diamide compounds combining pyrazolyl and polyfluoro-substituted phenyl into alanine or 2-Aminobutyric Acid Skeletons. Molecules. 2023, 28, 561. [Google Scholar] [CrossRef]
- Liu, D.; Zhang, J.; Gao, Y.; Hao, H.; Zhang, C.; Wang, F.; Zhang, L. Synthesis, acaricidal activity, and structure-activity relationships of novel phenyl trifluoroethyl thioether derivatives containing substituted benzyl groups. Pest Manag. Sci. 2024, 80, 544–553. [Google Scholar] [CrossRef] [PubMed]
- Xie, Y.; Xu, Y.; Liu, C.; Guan, A.; Ban, L.; Ding, F.; Peng, W. Intermediate derivatization method in the discovery of new acaricide candidate: synthesis of N-substituted piperazine derivatives and their activity against phytophagous mites. Pest Manag. Sci. 2016, 73, 945–952. [Google Scholar] [CrossRef]
- Cardellicchio, C.; Ciccarella, G.; Naso, F.; Schingaro, E.; Scordari, F. The Betti Base: Absolute configuration and routes to a family of related chiral nonracemic Bases. Tetrahedron-Asymmetry. 1998, 9, 3667–3675. [Google Scholar] [CrossRef]
- Cua-Basulto, M.E.; Ruiz-Sánchez, E.; Chan-Cupul, W.; Reyes-Ramírez, A.; Ballina-Gómez, H.; Hernández Núñez, E.; Martin-Mex, R.; Herrera Gorocica, A.M.; Ruiz-Jiménez, A.L. Effects of botanical acaricides on Tetranychus urticae and compatibility with the predatory mite Amblyseius swirskii. Archiv. Phytopathol. Plant Prot. 2023, 56, 1359–1371. [Google Scholar] [CrossRef]
- Cua-Basulto, M.; Ruiz-Sánchez, E.; Chan-Cupul, W.; Reyes-Ramírez, A.; Ballina-Gómez, H.; Hernández-Núñez, E. Efectos de los acaricidas químicos sobre la mortalidad de la araña de dos manchas Tetranychus urticae koch (Acari: Tetranychidae). Trop. Subtrop. Agroecosyt. 2022, 25, 040. [Google Scholar]
- Ke, S.; Ke, T.; Zhang, Z.; Shi, L.; Huang, D.; Wang, K.; Yang, Z.; Yang, N. Acaricidal activity and structure-activity relationships of Spiro-Butyrolactone derivatives against Tetranychus cinnabarinus. J. Asia-Pac. Entomol. [CrossRef]
- Li, S.; Lv, M.; Li, T.; Hao, M.; Xu, H. Spirodiclofen ether derivatives: semisynthesis, structural elucidation, and pesticidal activities against Tetranychus cinnabarinus Boisduval, Aphis citricola Van der Goot and Mythimna separata Walker. Pest Manag. Sci. 2021, 77, 2395–2402. [Google Scholar] [CrossRef] [PubMed]
- Zhong, L.K.; Yuan, J.; Liu, X.H.; Xu, T.M.; Tan, C.X. Synthesis and acaricidal activity of Aryl-Spirobutyrolactone derivatives against spider mites under greenhouse and field Conditions. Russ. J. Bioorg. Chem. 2021, 47, 221–229. [Google Scholar] [CrossRef]
- Yu, L.; Gua, S.; Wang, Y.; Liao, A.; Zhang, W.; Sun, P.; Wu, J. Design, synthesis, and bioactivity of spiro derivatives containing a pyridine moiety. J. Agric. Food Chem. 2022, 70, 15726–15736. [Google Scholar] [CrossRef] [PubMed]





Disclaimer/Publisher’s Note: The statements, opinions and data contained in all publications are solely those of the individual author(s) and contributor(s) and not of MDPI and/or the editor(s). MDPI and/or the editor(s) disclaim responsibility for any injury to people or property resulting from any ideas, methods, instructions or products referred to in the content. |
© 2025 by the authors. Licensee MDPI, Basel, Switzerland. This article is an open access article distributed under the terms and conditions of the Creative Commons Attribution (CC BY) license (http://creativecommons.org/licenses/by/4.0/).