Submitted:
30 June 2025
Posted:
02 July 2025
You are already at the latest version
Abstract
Keywords:
1. Introduction
2. Materials and Methods
2.1. Site of Experimentation
2.2. Traps and Insect Baits
2.3. Experimental Design
2.4. Statistical Analysis
3. Results
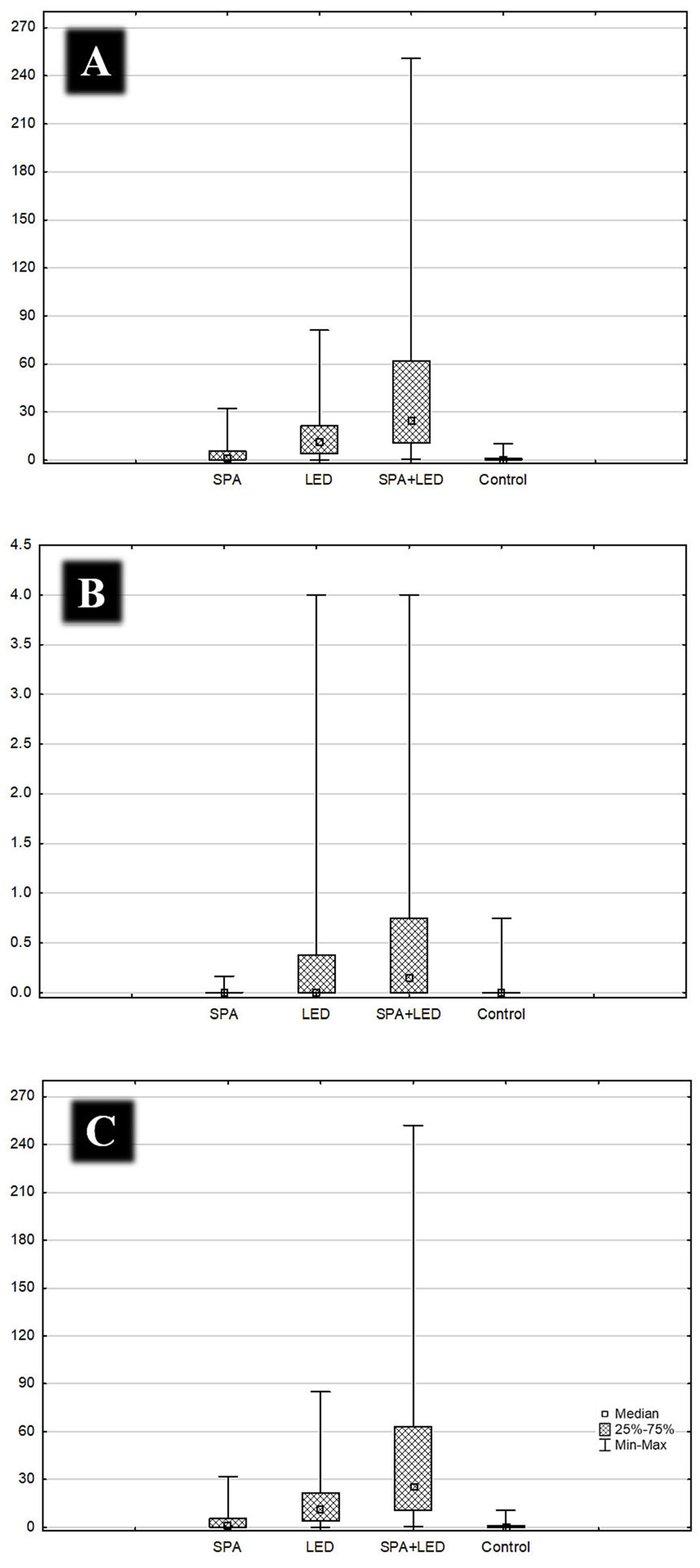
3.1. Statistics of DBM Adult Captures Using Delta Traps with Different Baits
3.2. Distribution Quartiles of DBM Adults Collected Using Traps with Different Baits
3.3. The Increase in the Number of DBM Adults Collected by Traps Due to the Interaction of Bait Attractiveness
3.4. Correlation Analysis of DBM Adult Captures Using Traps with Different Baits
4. Discussion
4.1. Interactions of Baits with Various Insect Attraction Modalities
4.2. Prospects for Combining SSA and LED in Traps for DBM Monitoring
4.3. The Potential of Combining SSA and LED for Mass Trapping of DBM Adults
5. Conclusions
6. The patents Employed in the Production of Traps
Author Contributions
Funding
Data Availability Statement
Acknowledgments
Conflicts of Interest
References
- Furlong, M.J.; Wright, D.J.; Dosdall, L.M. Diamondback moth ecology and management: problems, progress and prospects. Annu. Rev. Entomol. 2013, 58, 517–541. [Google Scholar] [CrossRef]
- Li, Z.; Feng, X.; Liu, S.S.; You, M.; Furlong, M.J. Biology, ecology, and management of the diamondback moth in China. Annu. Rev. Entomol. 2016, 61, 277–296. [Google Scholar] [CrossRef]
- Gautam, M.P.; Singh, H.; Kumar, S.; Kumar, V.; Singh, G.; Singh, S.N. Diamondback moth, Plutella xylostella (Linnaeus)(Insecta: Lepidoptera: Plutellidae) a major insect of cabbage in India: a review. J. Entomol. Zool. Stud. 2018, 6, 1394–1399. [Google Scholar]
- Philips, C.R.; Fu, Z.; Kuhar, T.P.; Shelton, A.M.; Cordero, R.J. Natural history, ecology, and management of diamondback moth (Lepidoptera: Plutellidae), with emphasis on the United States. J. Integr. Pest Manag. 2014, 5, D1–D11. [Google Scholar] [CrossRef]
- Fathipour, Y.; Mirhosseini, M.A. Diamondback moth (Plutella xylostella) management. In Integrated Management of Insect Pests on Canola and Other Brassica Oilseed Crops; Reddy, G.V.P., Ed.; CABI: Wallingford, Oxfordshire, UK, 2017; pp. 13–43. [Google Scholar]
- Kumar, A.; Tiwari, G.; Singh, A.K. IPM practices for insect pests of major vegetable crops: an overview. Pharm. Innov. J. 2022, 11, 1728–1734. [Google Scholar]
- Mason, P. Plutella xylostella (diamondback moth). In CABI Compendium; CABI International: Wallingford, UK, 2022; p. 42318. [Google Scholar]
- Paudel, A.; Yadav, P.K.; Karna, P. Diamondback moth Plutella xylostella (Linnaeus, 1758)(Lepidoptera: Plutellidae); a real menace to crucifers and its integrated management tactics. Turk. J. Agric. Food Sci. Technol. 2022, 10, 2504–2515. [Google Scholar] [CrossRef]
- Elimem, M.; Kalboussi, M.; Lahfef, C.; Mhamdi, N.; Limem-Sellemi, E.; Hammami, A.; Koubaa, A.; Rouz, S. The diamondback moth in Tunisia: risk analysis, and influence of biotic and meteorological parameters on its population dynamics. Biologia 2023, 78, 1035–1045. [Google Scholar] [CrossRef]
- Hardy, J.E. Plutella maculipennis, Curt., its natural and biological control in England. Bull. Entomol. Res. 1938, 29, 343–372. [Google Scholar] [CrossRef]
- Talekar, N.S.; Shelton, A.M. Biology, ecology, and management of the diamondback moth. Annu. Rev. Entomol. 1993, 38, 275–301. [Google Scholar] [CrossRef]
- Kfir, R. Origin of the diamondback moth (Lepidoptera: Plutellidae). Ann. Entomol. Soc. Am. 1998, 91, 164–167. [Google Scholar] [CrossRef]
- Liu, S.S.; Wang, X.G.; Guo, S.J.; He, J.H.; Shi, Z.H. Seasonal abundance of the parasitoid complex associated with the diamondback moth, Plutella xylostella (Lepidoptera: Plutellidae) in Hangzhou, China. Bull. Entomol. Res. 2000, 90, 221–231. [Google Scholar] [CrossRef]
- Sarfraz, M.; Dosdall, L.M.; Keddie, B.A. Diamondback moth – host plant interactions: implications for pest management. Crop Prot. 2006, 25, 625–639. [Google Scholar] [CrossRef]
- Robin, A.H.K.; Hossain, M.R.; Park, J.I.; Kim, H.R.; Nou, I.S. Glucosinolate profiles in cabbage genotypes influence the preferential feeding of diamondback moth (Plutella xylostella). Front. Plant Sci. 2017, 8, 1244. [Google Scholar] [CrossRef]
- Löhr, B.; Gathu, R. Evidence of adaptation of diamondback moth, Plutella xylostella (L.), to pea, Pisum sativum L. Int. J. Trop. Insect Sci. 2002, 22, 161–173. [Google Scholar] [CrossRef]
- Sarfraz, R.M.; Dosdall, L.M.; Keddie, B.A. Performance of the specialist herbivore Plutella xylostella (Lepidoptera: Plutellidae) on Brassicaceae and non-Brassicaceae species. Can. Entomol. 2010, 142, 24–35. [Google Scholar] [CrossRef]
- Yang, F.Y.; Chen, J.H.; Ruan, Q.Q.; Wang, B.B.; Jiao, L.; Qiao, Q.X.; He, W.Y.; You, M.S. Fitness comparison of Plutella xylostella on original and marginal hosts using age-stage, two-sex life tables. Ecol. Evol. 2021, 11, 9765–9775. [Google Scholar] [CrossRef]
- Marchioro, C.A.; Foerster, L.A. Modelling reproduction of Plutella xylostella L. (Lepidoptera: Plutellidae): climate change may modify pest incidence levels. Bull. Entomol. Res. 2012, 102, 489–496. [Google Scholar] [CrossRef]
- Wang, L.; Zhao, Z.; Walter, G.H.; Furlong, M.J. Predicting the impacts of climate change on the biological control of Plutella xylostella by Diadegma semiclausum. Agric. For. Entomol. 2023, 25, 251–260. [Google Scholar] [CrossRef]
- De Bortoli, S.A.; Polanczyk, R.A.; Vacari, A.M.; De Bortoli, C.P.; Duarte, R.T. Plutella xylostella (Linnaeus, 1758)(Lepidoptera: Plutellidae): tactics for integrated pest management in Brassicaceae. In Weed and Pest Control – Conventional and New Challenges; Soloneski, S., Larramendy, M., Eds.; IntechOpen: Rijeka, Croatia, 2013; pp. 31–51. [Google Scholar]
- Zalucki, M.P.; Shabbir, A.; Silva, R.; Adamson, D.; Liu, S.S; Furlong, M.J. Estimating the economic cost of one of the world's major insect pests, Plutella xylostella (Lepidoptera: Plutellidae): just how long is a piece of string? J. Econ. Entomol. 2012, 105, 1115–1129. [Google Scholar] [CrossRef]
- Andreeva, I.V.; Shatalova, E.I.; Khodakova, A.V. The diamondback moth Plutella xylostella: ecological and biological aspects, harmfulness, population control. Plant Prot. News 2021, 104, 28–39. [Google Scholar] [CrossRef]
- Shpanev, A.M. New cases of massive reproduction of Plutella xylostella. Plant Prot. Quarantine 2021, 4, 27–30. [Google Scholar] [CrossRef]
- Shpanev, A.M. Development and harmfulness of the cabbage moth Plutella xylostella (L.) (Lepidoptera, Plutellidae) on spring rape crops in Leningrad Province. Entmol. Rev. 2023, 103, 123–130. [Google Scholar] [CrossRef]
- Kholod, A.S.; Korenyuk, E.F. Plutella maculipennis – the threat to the rape crops in the Omsk Region. Plant Prot. Quarantine 2016, 5, 32–33. [Google Scholar]
- Tuleeva, A.K.; Sarmanova, R.S. Pests of spring rape in Akmola Province. Plant Prot. Quarantine 2019, 12, 20. [Google Scholar]
- Agro XXI. Handbook of pesticides 2025. Available online: https://www.agroxxi.ru/goshandbook (accessed on 10 June 2025).
- Emelyanov, D.A.; Sukhoruchenko, G.I.; Ivanova, G.P. Resistance of the diamondback moth Plutella xylostella L. to insecticides used in the North-Western Region of Russia. In 5th All-Russian Congress on Plant Protection, Book of Abstracts, Proceedings of the Congress on Plant Protection, St Petersburg, Russian Federation, 16-19 April 2024; VIZR, St Petersburg, Russia, 2024; p. 153.
- Mota-Sanchez, D.; Wise, J.C. The Arthropod Pesticide Resistance Database. Michigan State University, 2024. Available online: http://www.pesticideresistance.org (accessed on 10 June 2025).
- Bhandari, K.B.; Torrance, P.; Huffman, E.; Bennett, J.; Riley, D.G. Insecticide resistance in diamondback moth (Lepidoptera: Plutellidae) in Georgia. J. Entomol. Sci. 2020, 55, 416–420. [Google Scholar] [CrossRef]
- Uesugi, R.; Jouraku, A.; Sukonthabhirom Na Pattalung, S.; Hinomoto, N.; Kuwazaki, S.; Kanamori, H.; Katayose, Y.; Sonoda, S. Origin, selection, and spread of diamide insecticide resistance allele in field populations of diamondback moth in east and southeast Asia. Pest Manag. Sci. 2021, 77, 313–324. [Google Scholar] [CrossRef]
- Banazeer, A.; Afzal, M.B.S.; Hassan, S.; Ijaz, M.; Shad, S.A.; Serrão, J.E. Status of insecticide resistance in Plutella xylostella (Linnaeus) (Lepidoptera: Plutellidae) from 1997 to 2019: cross-resistance, genetics, biological costs, underlying mechanisms, and implications for management. Phytoparasitica 2022, 50, 465–485. [Google Scholar] [CrossRef]
- Shehzad, M.; Bodlah, I.; Siddiqui, J.A.; Bodlah, M.A.; Fareen, A.G.E.; Islam, W. Recent insights into pesticide resistance mechanisms in Plutella xylostella and possible management strategies. Environ. Sci. Pollut. Res. 2023, 30, 95296–95311. [Google Scholar] [CrossRef]
- Shen, X.J.; Cao, L.J.; Chen, J.C.; Ma, L.J.; Wang, J.X.; Hoffmann, A.A.; Wei, S.J. A comprehensive assessment of insecticide resistance mutations in source and immigrant populations of the diamondback moth Plutella xylostella (L.). Pest Manag. Sci. 2023, 79, 569–583. [Google Scholar] [CrossRef]
- Chang, C.C.; Dai, S.M.; Chen, C.Y.; Huang, L.H.; Chen, Y.H.; Hsu, J.C. Insecticide resistance and characteristics of mutations related to target site insensitivity of diamondback moths in Taiwan. Pestic. Biochem. Physiol. 2024, 203, 106001. [Google Scholar] [CrossRef]
- Oplopoiou, M.; Elias, J.; Slater, R.; Bass, C.; Zimmer, C.T. Characterization of emamectin benzoate resistance in the diamondback moth, Plutella xylostella (Lepidoptera: Plutellidae). Pest Manag. Sci. 2024, 80, 498–507. [Google Scholar] [CrossRef]
- French, R.A.; White, J.H. The diamond-back moth outbreak of 1958. Plant Pathol. 1960, 9, 77–84. [Google Scholar] [CrossRef]
- Lokki, J.; Malmström, K.K.; Suomalainen, E. Migration of Vanessa cardui and Plutella xylostella (Lepidoptera) to Spitsbergen in the summer 1978. Not. Entomol. 1978, 58, 121–123. [Google Scholar]
- Chapman, J.W.; Reynolds, D.R.; Smith, A.D.; Riley, J.R.; Pedgley, D.E.; Woiwod, I.P. High-altitude migration of the diamondback moth Plutella xylostella to the UK: a study using radar, aerial netting, and ground trapping. Ecol. Entomol. 2002, 27, 641–650. [Google Scholar] [CrossRef]
- Hopkinson, R.F.; Soroka, J.J. Air trajectory model applied to an in-depth diagnosis of potential diamondback moth infestations on the Canadian Prairies. Agric. For. Meteorol. 2010, 150, 1–11. [Google Scholar] [CrossRef]
- Wei, S.J.; Shi, B.C.; Gong, Y.J.; Jin, G.H.; Chen, X.X.; Meng, X.F. Genetic structure and demographic history reveal migration of the diamondback moth Plutella xylostella (Lepidoptera: Plutellidae) from the southern to northern regions of China. PLoS One 2013, 8, e59654. [Google Scholar] [CrossRef]
- Fu, X.; Xing, Z.; Liu, Z.; Ali, A.; Wu, K. Migration of diamondback moth, Plutella xylostella, across the Bohai Sea in northern China. Crop Prot. 2014, 64, 143–149. [Google Scholar] [CrossRef]
- Chen, M.Z.; Cao, L.J.; Li, B.Y.; Chen, J.C.; Gong, Y.J.; Yang, Q.; Schmidt, T.L.; Yue, L.; Zhu, J.Y.; Li, H.; Chen, X.X. Migration trajectories of the diamondback moth Plutella xylostella in China inferred from population genomic variation. Pest Manag. Sci. 2021, 77, 1683–1693. [Google Scholar] [CrossRef]
- Yang, F.; Wang, P.; Zheng, M.; Hou, X.Y.; Zhou, L.L.; Wang, Y.; Si, S.Y.; Wang, X.P.; Chapman, J.W.; Wang, Y.M.; Hu, G. Physiological and behavioral basis of diamondback moth Plutella xylostella migration and its association with heat stress. Pest Manag. Sci. 2024, 80, 1751–1760. [Google Scholar] [CrossRef]
- Sarfraz, M.; Keddie, B.A. Conserving the efficacy of insecticides against Plutella xylostella (L.) (Lep., Plutellidae). J. Appl. Entomol. 2005, 129, 149–157. [Google Scholar] [CrossRef]
- Santos, V.C.; de Siqueira, H.A.A.; da Silva, J.E.; de Farias, M.J.D.C. Insecticide resistance in populations of the diamondback moth, Plutella xylostella (L.)(Lepidoptera: Plutellidae), from the state of Pernambuco, Brazil. Neotrop. Entomol. 2011, 40, 264–270. [Google Scholar] [CrossRef] [PubMed]
- Xia, X.; Zheng, D.; Zhong, H.; Qin, B.; Gurr, G.M.; Vasseur, L.; Lin, H.; Bai, J.; He, W.; You, M. DNA sequencing reveals the midgut microbiota of diamondback moth, Plutella xylostella (L.) and a possible relationship with insecticide resistance. PloS One 2013, 8, e68852. [Google Scholar] [CrossRef] [PubMed]
- Zhang, S.; Zhang, X.; Shen, J.; Mao, K.; You, H.; Li, J. Susceptibility of field populations of the diamondback moth, Plutella xylostella, to a selection of insecticides in Central China. Pestic. Biochem. Physiol. 2016, 132, 38–46. [Google Scholar] [CrossRef]
- Zhang, S.; Zhang, X.; Shen, J.; Li, D.; Wan, H.; You, H.; Li, J. Cross-resistance and biochemical mechanisms of resistance to indoxacarb in the diamondback moth, Plutella xylostella. Pestic. Biochem. Physiol. 2017, 140, 85–89. [Google Scholar] [CrossRef] [PubMed]
- Mubashir, S.; Seram, D. Insecticidal resistance in diamondback moth (Plutella xylostella): a review. Pharm. Innov. J. 2022, 11, 958–962. [Google Scholar]
- Reddy, G.V.P. Comparative effect of integrated pest management and farmers standard pest control practice for managing insect pests on cabbage (Brassica spp.). Pest. Manag. Sci. 2011, 67, 980–985. [Google Scholar] [CrossRef]
- Shakeel, M.; Farooq, M.; Nasim, W.; Akram, W.; Khan, F.Z.A.; Jaleel, W.; Zhu, X.; Yin, H.; Li, S.; Fahad, S.; Hussain, S.; Chauhan, B.S.; Jin, F. Environment polluting conventional chemical control compared to an environmentally friendly IPM approach for control of diamondback moth, Plutella xylostella (L.), in China: a review. Environ. Sci. Pollut. Res. 2017, 24, 14537–14550. [Google Scholar] [CrossRef]
- Machekano, H.; Mvumi, B.M.; Nyamukondiwa, C. Diamondback moth, Plutella xylostella (L.) in Southern Africa: research trends, challenges and insights on sustainable management options. Sustainability 2017, 9, 91. [Google Scholar] [CrossRef]
- Li, Z.; Furlong, M.J.; Yonow, T.; Kriticos, D.J.; Bao, H.; Yin, F.; Lin, Q.; Feng, X.; Zalucki, M.P. Management and population dynamics of diamondback moth (Plutella xylostella): planting regimes, crop hygiene, biological control and timing of interventions. Bull. Entomol. Res. 2019, 109, 257–265. [Google Scholar] [CrossRef]
- Jamtsho, T.; Banu, N.; Kinley, C. Critical review on past, present and future scope of diamondback moth management. Plant Arch. 2021, 21, 1199–1210. [Google Scholar] [CrossRef]
- Mayanglambam, S.; Singh, K.D.; Rajashekar, Y. Current biological approaches for management of crucifer pests. Sci. Rep. 2021, 11, 11831. [Google Scholar] [CrossRef]
- Divekar, P.A.; Majumder, S.; Halder, J.; Kedar, S.C.; Singh, V. Sustainable pest management in cabbage using botanicals: characterization, effectiveness and economic appraisal. J. Plant Dis. Prot. 2024, 131, 113–130. [Google Scholar] [CrossRef]
- Reddy, G.V.P.; Guerrero, A. Pheromone-based integrated pest management to control the diamondback moth Plutella xylostella in cabbage fields. Pest Manag. Sci. 2000, 56, 882–888. [Google Scholar] [CrossRef]
- Miluch, C.E.; Dosdall, L.M.; Evenden, M.L. The potential for pheromone-based monitoring to predict larval populations of diamondback moth, Plutella xylostella (L.), in canola (Brassica napus L.). Crop Prot. 2013, 45, 89–97. [Google Scholar] [CrossRef]
- Zhu, L.; Li, Z.; Zhang, S.; Xu, B.; Zhang, Y.; Zalucki, M.P.; Wu, Q.; Yin, X. Population dynamics of the diamondback moth, Plutella xylostella (L.), in northern China: the effects of migration, cropping patterns and climate. Pest Manag. Sci. 2018, 74, 1845–1853. [Google Scholar] [CrossRef]
- Pandey, R.; Behera, S.R.; Mohapatra, A.; Pradhan, P.P. Integrated pest management strategies for controlling diamondback moth (DBM) in cruciferous vegetables. AgriTech Today 2023, 1, 9–11. [Google Scholar]
- Chow, Y.S.; Chiu, S.C.; Chien, C.C. Demonstration of a sex pheromone of the diamondback moth (Lepidoptera: Plutellidae). Ann. Entomol. Soc. Am. 1974, 67, 510–512. [Google Scholar] [CrossRef]
- Chow, Y.S.; Lin, Y.M.; Hsu, C.L. Sex pheromone of the diamondback moth (Lepidoptera: Plutellidae). Bull. Instit. Zool. Acad. Sin. 1977, 16, 99–105. [Google Scholar]
- Koshihara, T.; Yamada, H.; Tamaki, Y.; Ando, T. Field attractiveness of the synthetic sex-pheromone of the diamondback moth, Plutella xylostella (L.). Appl. Entomol. Zool. 1978, 13, 138–141. [Google Scholar] [CrossRef]
- Ando, T.; Koshihara, T.; Yamada, H.; Vu, M.H.; Takahashi, N.; Tamaki, Y. Electroantennogram activities of sex pheromone analogues and their synergistic effect on field attraction in the diamondback moth. Appl. Entomol. Zool. 1979, 14, 362–364. [Google Scholar] [CrossRef]
- Kawasaki, K. Effects of ratio and amount of the two sex-pheromonal components of the diamondback moth on male behavioral response. Appl. Entomol. Zool. 1984, 19, 436–442. [Google Scholar] [CrossRef]
- Tamaki, Y.; Kawasaki, K.; Yamada, H.; Koshihara, T.; Osaki, N.; Ando, T.; Yoshida, S.; Kakinohana, H. (Z)-11-Hexadecenal and (Z)-11-hexadecenyl acetate: sex-pheromone components of the diamondback moth (Lepidoptera: Plutellidae). Appl. Entomol. Zool. 1977, 12, 208–210. [Google Scholar] [CrossRef]
- Chisholm, M.D.; Underhill, E.W.; Steck, W.F. Field trapping of the diamondback moth Plutella xylostella using synthetic sex attractants. Environ. Entomol. 1979, 8, 516–518. [Google Scholar] [CrossRef]
- Koshihara, T.; Yamada, H. Activity of the female sex pheromone of diamondback moth, Plutella xylostella (L.), and analogue. Jpn. J. Appl. Entomol. Zool. 1980, 24, 6–12. [Google Scholar] [CrossRef]
- Chisholm, M.D.; Steck, W.F.; Underhill, E.W.; Palaniswamy, P. Field trapping of diamondback moth Plutella xylostella using an improved four-component sex attractant blend. J. Chem. Ecol. 1983, 9, 113–118. [Google Scholar] [CrossRef]
- Zilahi-Balogh, G.M.; Angerilli, N.P.; Borden, J.H.; Meray, M.; Tulung, M.; Sembel, D. Regional differences in pheromone responses of diamondback moth in Indonesia. Int. J. Pest Manag. 1995, 41, 201–204. [Google Scholar] [CrossRef]
- Suckling, D.M.; Gibb, A.R.; Daly, J.M.; Rogers, D.J.; Walker, G.P. Improving the pheromone lure for diamondback moth. N. Z. Plant Prot. 2002, 55, 182–187. [Google Scholar] [CrossRef]
- Lee, S.; Lee, D.W.; Boo, K.S. Sex pheromone composition of the diamondback moth, Plutella xylostella (L) in Korea. J. Asia-Pac. Entomol. 2005, 8, 243–248. [Google Scholar] [CrossRef]
- Yang, C.Y.; Lee, S.; Choi, K.S.; Jeon, H.Y.; Boo, K.S. Sex pheromone production and response in Korean populations of the diamondback moth, Plutella xylostella. Entomol. Exp. Appl. 2007, 124, 293–298. [Google Scholar] [CrossRef]
- Bobreshova, I.Y.; Ryabchinskaya, T.A.; Stulov, S.V.; Pyatnova, Y.B.; Karakotov, S.D. Method of pheromone monitoring of the diamondback moth (Plutella xylostella L.), a dangerous pest of rapeseed. Agrochemistry 2020, 7, 68–75. [Google Scholar]
- Baker, P.B.; Shelton, A.M.; Andaloro, J.T. Monitoring of diamondback moth (Lepidoptera: Yponomeutidae) in cabbage with pheromones. J. Econ. Entomol. 1982, 75, 1025–1028. [Google Scholar] [CrossRef]
- Shirai, Y.; Nakamura, A. Relationship between the number of wild males captured by sex pheromone trap and the population density estimated from a mark-recapture study in the diamondback moth, Plutella xylostella (L.)(Lepidoptera: Yponomeutidae). Appl. Entomol. Zool. 1995, 30, 543–549. [Google Scholar] [CrossRef]
- Reddy, G.V.P.; Guerrero, A. Optimum timing of insecticide applications against diamondback moth Plutella xylostella in cole crops using threshold catches in sex pheromone traps. Pest Manag. Sci. 2001, 57, 90–94. [Google Scholar] [CrossRef]
- Walker, G.P.; Wallace, A.R.; Bush, R.; MacDonald, F.H.; Suckling, D.M. Evaluation of pheromone trapping for prediction of diamondback moth infestations in vegetable brassicas. N. Z. Plant Prot. 2003, 56, 180–184. [Google Scholar] [CrossRef]
- Sulifoa, J.B.; Ebenebe, A.A. Evaluation of pheromone trapping of diamondback moth (Plutella xylostella) as a tool for monitoring larval infestations in cabbage crops in Samoa. South Pacific J. Nat. Appl. Sci 2007, 25, 43–46. [Google Scholar] [CrossRef]
- Evenden, M.L.; Gries, R. Assessment of commercially available pheromone lures for monitoring diamondback moth (Lepidoptera: Plutellidae) in canola. J. Econ. Entomol. 2010, 103, 654–661. [Google Scholar] [CrossRef]
- Nofemela, R.S. The ability of synthetic sex pheromone traps to forecast Plutella xylostella infestations depends on survival of immature stages. Entomol. Exp. Appl. 2010, 136, 281–289. [Google Scholar] [CrossRef]
- Miluch, C.E.; Dosdall, L.M.; Evenden, M.L. Factors influencing male Plutella xylostella (Lepidoptera: Plutellidae) capture rates in sex pheromone-baited traps on canola in western Canada. J. Econ. Entomol. 2014, 107, 2067–2076. [Google Scholar] [CrossRef]
- Tacain, J.; Parpal, F.; Abbate, S.; Silva, H.; Ribeiro, A.; Heguaburu, V. Synthesis and field evaluation of the sex pheromone of Plutella xylostella (L.)(Lepidoptera: Plutellidae) in canola (Brassica napus L.). Agrocienc. Urug. 2016, 20, 61–67. [Google Scholar] [CrossRef]
- Wainwright, C.; Jenkins, S.; Wilson, D.; Elliott, M.; Jukes, A.; Collier, R. Phenology of the diamondback moth (Plutella xylostella) in the UK and provision of decision support for Brassica growers. Insects 2020, 11, 118. [Google Scholar] [CrossRef]
- Akbari, S.; Jalalizand, A.; Mahmoudi, E. Effective factors in the use of sex pheromone traps on the capture rate of Plutella xylostella. Res. Crop Ecophysiol. 2020, 15, 111–115. [Google Scholar]
- Semerenko, S.A.; Bushneva, N.A. Application of pheromone traps on the spring rapeseed for the account of diamondback moth. Oil Crops 2018, 4, 172–177. [Google Scholar] [CrossRef]
- Guerrero, A.; Reddy, G.V. Chemical communication in insects: new advances in integrated pest management strategies. Insects 2023, 14, 799. [Google Scholar] [CrossRef] [PubMed]
- Chisholm, M.D.; Underhill, E.W.; Palaniswamy, P.; Gerwing, V.J. Orientation disruption of male diamondback moths (Lepidoptera: Plutellidae) to traps baited with synthetic chemicals or female moths in small field plots. J. Econ. Entomol. 1984, 77, 157–160. [Google Scholar] [CrossRef]
- Chow, Y.S. Disruption effect of the synthetic sex pheromone and its analogues on diamondback moth. In Diamondback Moth and Other Crucifer Pests, Proceedings of the Second International Workshop. Tainan, Taiwan, 10-14 December 1990; Talker, N.S., Ed.; Asian Vegetable Research and Development Center (AVRDC) Publication; 1992, pp. 105–108.
- Ohbayashi, N.; Shimizu, K.; Nagata, K. Control of diamondback moth using synthetic sex pheromones. In Diamondback Moth and Other Crucifer Pests, Proceedings of the Second International Workshop. Tainan, Taiwan, 10-14 December 1990; Talker, N.S., Ed.; Asian Vegetable Research and Development Center (AVRDC) Publication; 1992, pp. 99–104.
- Ohno, T.; Asayama, T.; Ichikawa, K. Evaluation of communication disruption method using synthetic sex pheromone to suppress diamondback moth infestations. In Diamondback Moth and Other Crucifer Pests, Proceedings of the Second International Workshop. Tainan, Taiwan, 10-14 December 1990; Talker, N.S., Ed.; Asian Vegetable Research and Development Center (AVRDC) Publication; 1992, pp. 109–114.
- McLaughlin, J.R.; Mitchell, E.R.; Kirsch, P. Mating disruption of diamondback moth (Lepidoptera: Plutellidae) in cabbage: reduction of mating and suppression of larval populations. J. Econ. Entomol. 1994, 87, 1198–1204. [Google Scholar] [CrossRef]
- Mitchell, E.R.; Hu, G.Y.; Okine, J.; McLaughlin, J.R. Mating disruption of diamondback moth (Lepidoptera: Plutellidae) and cabbage looper (Lepidoptera: Noctuidae) in cabbage using a blend of pheromones emitted from the same dispenser. J. Entomol. Sci. 1997, 32, 120–137. [Google Scholar] [CrossRef]
- Schroeder, P.C.; Shelton, A.M.; Ferguson, C.S.; Hoffmann, M.P.; Petzoldt, C.H. Application of synthetic sex pheromone for management of diamondback moth, Plutella xylostella, in cabbage. Entomol. Exp. Appl. 2000, 94, 243–248. [Google Scholar] [CrossRef]
- Mitchell, E.R. Promising new technology for managing diamondback moth (Lepidoptera: Plutellidae) in cabbage with pheromone. J. Environ. Sci. Health B 2002, 37, 277–290. [Google Scholar] [CrossRef]
- Chen, Z.L.; Fang, Y.L.; Zhang, Z.N. Synthesis and assessment of attractiveness and mating disruption efficacy of sex pheromone microcapsules for the diamondback moth, Plutella xylostella (L.). Chin. Sci. Bull. 2007, 52, 1365–1371. [Google Scholar] [CrossRef]
- Wu, Q.J.; Zhang, S.F.; Yao, J.L.; Xu, B.Y.; Wang, S.L.; Zhang, Y.J. Management of diamondback moth, Plutella xylostella (Lepidoptera: Plutellidae) by mating disruption. Insect Sci. 2012, 19, 643–648. [Google Scholar] [CrossRef]
- Reddy, G.V.P.; Urs, K.C.D. Mass trapping of diamondback moth Plutella xylostella in cabbage fields using synthetic sex pheromones. Int. Pest Control 1997, 39, 125–126. [Google Scholar]
- Hou, Y.; Pang, X.; Liang, G.; You, M. Control effect of Plutella xylostella with synthetic sex pheromone. Chin. J. Biol. Control 2001, 17, 121–125. [Google Scholar]
- Wang, X.P.; Le, V.T.; Fang, Y.L.; Zhang, Z.N. Trap effect on the capture of Plutella xylostella (Lepidoptera: Plutellidae) with sex pheromone lures in cabbage fields in Vietnam. Appl. Entomol. Zool. 2004, 39, 303–309. [Google Scholar] [CrossRef]
- Wang, X.P.; Zhang, Z.N.; Lei, C.L.; Zhao, Y.C.; Wu, D.X. Mass trapping and control efficacy on the diamondback moth, Plutella xylostella (L.) with synthetic sex pheromone lures at high altitudes in Hubei. Acta Entomol. Sin. 2004, 47, 135–140. [Google Scholar]
- Topagi, S.C.; Bhanu, K.R.M.; Kumar, C.T.A. Mass trapping technique using pheromones: a standalone method for management of diamondback moth, Plutella xylostella (Linnaeus)(Plutellidae: Lepidoptera) in cabbage. Int. J. Appl. Sci. Eng. 2018, 15, 211–232. [Google Scholar]
- Syed, I.; Mutthuraju, G.P.; Doddabasappa, B.; Sudarshan, G.K.; Sahida, A.; Chakravarthy, A.K. Standardization of height and density of pheromone traps for mass trapping diamond back moth, Plutella xylostella (L.) in cabbage. J. Entomol. Zool. Stud. 2019, 7, 1049–1052. [Google Scholar]
- Gonzalez, F.; Rodríguez, C.; Oehlschlager, C. Economic benefits from the use of mass trapping in the management of diamondback moth, Plutella xylostella, in Central America. Insects 2023, 14, 149. [Google Scholar] [CrossRef]
- Pell, J.K.; Macauly, E.D.M.; Wilding, N. A pheromone trap for dispersal of the pathogen Zoophthora radicans Brefeld. (Zygomycetes: Entomophthorales) amongst populations of the diamondback moth, Plutella xylostella L. (Lepidoptera; Yponomeutidae). Biocontrol Sci. Technol. 1993, 3, 315–320. [Google Scholar] [CrossRef]
- Vickers, R.A.; Furlong, M.J.; White, A.; Pell, J.K. Initiation of fungal epizootics in diamondback moth populations within a large field cage: proof of concept for auto-dissemination. Entomol. Exp. Appl. 2004, 111, 7–17. [Google Scholar] [CrossRef]
- Furlong, M.J.; Pell, J.K.; Choo, O.P.; Rahman, S.A. Field and laboratory evaluation of a sex pheromone trap for the autodissemination of the fungal entomopathogen Zoophthora radicans (Entomophthorales) by the diamondback moth, Plutella xylostella (Lepidoptera: Yponomeutidae). Bull. Entomol. Res. 1995, 85, 331–337. [Google Scholar] [CrossRef]
- Bushneva, N.А.; Semerenko, S.А. Control of diamondback moth males (Plutella xylostella L.) in crops of spring rapeseed using pheromones. Oil Crops 2023, 4, 68–74. [Google Scholar] [CrossRef]
- Witzgall, P.; Kirsch, P.; Cork, A. Sex pheromones and their impact on pest management. J. Chem. Ecol. 2010, 36, 80–100. [Google Scholar] [CrossRef]
- Reddy, G.V.P.; Guerrero, A. Behavioral responses of the diamondback moth, Plutella xylostella, to green leaf volatiles of Brassica oleracea subsp. capitata. J. Agric. Food Chem. 2000, 48, 6025–6029. [Google Scholar] [CrossRef]
- Dai, J.; Deng, J.; Du, J. Development of bisexual attractants for diamondback moth, Plutella xylostella (Lepidoptera: Plutellidae) based on sex pheromone and host volatiles. Appl. Entomol. Zool. 2008, 43, 631–638. [Google Scholar] [CrossRef]
- Yan, X.Z.; Ma, L.; Li, X.F.; Chang, L.; Liu, Q.Z.; Song, C.F.; Zhao, J.Y.; Qie, X.T.; Deng, C.P.; Wang, C.Z.; Hao, C. Identification and evaluation of cruciferous plant volatiles attractive to Plutella xylostella L. (Lepidoptera: Plutellidae). Pest Manag. Sci. 2023, 79, 5270–5282. [Google Scholar] [CrossRef]
- Chidwala, N.; Chilumpha, G.; Makhwira, A.; Namandwa, B.; Zhou, Q.; Li, W.; Yu, T.; Nasser, R.; Mo, J. Study on the trapping effects of Brassica allelochemicals on Plutella xylostella adults. Afr. J. Agric. Res. 2024, 20, 323–336. [Google Scholar]
- Harcourt, D.G. Biology of the diamondback moth, Plutella maculipennis (Curt.)(Lepidoptera: Plutellidae), in Eastern Ontario. II. Life-history, behaviour, and host relationships. Can. Entomol. 1957, 89, 554–564. [Google Scholar] [CrossRef]
- Goodwin, S.; Danthanarayana, W. Flight activity of Plutella xylostella (L.) (Lepidoptera: Yponomeutidae). Aust. J. Entomol. 1984, 23, 235–240. [Google Scholar] [CrossRef]
- Couty, A.; Van Emden, H.; Perry, J.N.; Hardie, J.; Pickett, J.A.; Wadhams, L.J. The roles of olfaction and vision in host-plant finding by the diamondback moth, Plutella xylostella. Physiol. Entomol. 2006, 31, 134–145. [Google Scholar] [CrossRef]
- Nowinszky, L.; Mészáros, Z.; Puskás, J. The beginning and the end of the insects’ flight towards the light according to different environmental lightings. Appl. Ecol. Environ. Res. 2008, 6, 137–145. [Google Scholar] [CrossRef]
- Wang, D.; Yang, G.; Chen, W. Diel and circadian patterns of locomotor activity in the adults of diamondback moth (Plutella xylostella). Insects 2021, 12, 727. [Google Scholar] [CrossRef]
- Tyler, C.J.; Mahajan, S.; Smith, L.; Okamoto, H.; Wijnen, H. Adult diel locomotor behaviour in the agricultural pest Plutella xylostella reflects temperature-driven and light-repressed regulation rather than coupling to circadian clock gene rhythms. Insects 2025, 16, 182. [Google Scholar] [CrossRef]
- Williams, C.B. An analysis of four years captures of insects in a light trap. Part I. General survey; sex proportion; phenology; and time of flight. Trans. R. Entomol. Soc. London 1939, 89, 79–131. [Google Scholar] [CrossRef]
- Robinson, H.S. On the behaviour of night-flying insects in the neighbourhood of a bright source of light. Proc. R. Entomol. Soc. Lond. 1952, 27, 13–21. [Google Scholar] [CrossRef]
- Nowinszky, L. The Handbook of Light Trapping; Savaria University Press: Szombathely, Hungary, 2003; 276p. [Google Scholar]
- Shimoda, M.; Honda, K.I. Insect reactions to light and its applications to pest management. Appl. Entomol. Zool. 2013, 48, 413–421. [Google Scholar] [CrossRef]
- Yun, C.N.; Maeng, I.S.; Yang, S.H.; Hwang, U.J.; Kim, K.N.; Kim, K.C.; Ho, K.C.; Ri, C.S.; Yang, H.S.; Jang, S.H. Evaluating the phototactic behavior responses of the diamondback moth, Plutella xylostella, to some different wavelength LED lights in laboratory and field. J. Asia-Pac. Entomol. 2023, 26, 102080. [Google Scholar] [CrossRef]
- Harcourt, D.G.; Cass, L.M. A controlled-interval light trap for Microlepidoptera. Can. Entomol. 1958, 90, 617–622. [Google Scholar] [CrossRef]
- Cho, K.S.; Lee, H.S. Visual preference of diamondback moth, Plutella xylostella, to light-emitting diodes. J. Korean Soc. Appl. Biol. Chem. 2012, 55, 681–684. [Google Scholar] [CrossRef]
- Park, J.H.; Lee, S.M.; Lee, S.G.; Lee, H.S. Attractive effects efficiency of LED trap on controlling Plutella xylostella adults in greenhouse. J. Appl. Biol. Chem. 2014, 57, 255–257. [Google Scholar] [CrossRef]
- Park, J.H.; Lee, H.S. Phototactic behavioral response of agricultural insects and stored-product insects to light-emitting diodes (LEDs). Appl. Biol. Chem. 2017, 60, 137–144. [Google Scholar] [CrossRef]
- Bourget, C.M. An introduction to light-emitting diodes. HortScience 2008, 43, 1944–1946. [Google Scholar] [CrossRef]
- Bessho, M.; Shimizu, K. Latest trends in LED lighting. Electron. Commun. Jpn. 2012, 95, 1–7. [Google Scholar] [CrossRef]
- Bantis, F.; Smirnakou, S.; Ouzounis, T.; Koukounaras, A.; Ntagkas, N.; Radoglou, K. Current status and recent achievements in the field of horticulture with the use of light-emitting diodes (LEDs). Sci. Hortic. 2018, 235, 437–451. [Google Scholar] [CrossRef]
- Theagarajan, R.; Narayanaswamy, L.M.; Choudhary, P. Introduction to light-emitting diodes: principles, fundamentals, advantages, limitations, and applications. In Nonthermal Light-Based Technologies in Food Processing; Sunil, C.K., Goyal, M.R., Birwal, P., Mahendran, R., Eds.; Apple Academic Press: Palm Bay, USA, 2025; pp. 361–385. [Google Scholar]
- Cohnstaedt, L.W.; Gillen, J.I.; Munstermann, L.E. Light-emitting diode technology improves insect trapping. J. Am. Mosq. Control. Assoc. 2008, 24, 331–334. [Google Scholar] [CrossRef]
- Infusino, M.; Brehm, G.; Di Marco, C.; Scalercio, S. Assessing the efficiency of UV LEDs as light sources for sampling the diversity of macro-moths (Lepidoptera). Eur. J. Entomol. 2017, 114, 25–33. [Google Scholar] [CrossRef]
- Kim, K.N.; Huang, Q.Y.; Lei, C.L. Advances in insect phototaxis and application to pest management: a review. Pest Manag. Sci. 2019, 75, 3135–3143. [Google Scholar] [CrossRef]
- van Deijk, J.R.; Wever, R.; van der Heide, S.R.; Boers, J.; van Deijl, I.H.J.; van Grunsven, R.H.A. UV-LEDs outperform actinics for standalone moth monitoring. J. Insect Conserv. 2024, 28, 959–968. [Google Scholar] [CrossRef]
- Prabaningrum, L.; Moekasan, T.K. Use of light trap for controlling cabbage pests. IOP Conf. Ser. Earth Environ. Sci. 2021, 752, 012027. [Google Scholar] [CrossRef]
- Tarigan, R.; Asgar, A.; Moekasan, T.K.; Prabaningrum, L.; Hutabarat, R.C.; Marpaung, A.E.; Rosliani, R.; Karo, B.B.; Aryani, D.S. The potential of light and pheromone traps for controlling main pests in cabbage. AIP Conf. Proc. 2024, 2957, 090034. [Google Scholar]
- Truxa, C.; Fiedler, K. Attraction to light – from how far do moths (Lepidoptera) return to weak artificial sources of light? Eur. J. Entomol. 2012, 109, 77–84. [Google Scholar] [CrossRef]
- Merckx, T.; Slade, E.M. Macro-families differ in their attraction to light: implications for light-trap monitoring programmes. Insect Conserv. Diver. 2014, 7, 453–461. [Google Scholar] [CrossRef]
- Balamurugan, R.; Kandasamy, P. Effectiveness of portable solar-powered light-emitting diode insect trap: experimental investigation in a groundnut field. J. Asia Pac. Entomol. 2021, 24, 1024–1032. [Google Scholar] [CrossRef]
- Niermann, J.; Brehm, G. The number of moths caught by light traps is affected more by microhabitat than the type of UV lamp used in a grassland habitat. Eur. J. Entomol. 2022, 119, 36–42. [Google Scholar] [CrossRef]
- Knight, A.L.; Preti, M.; Basoalto, E.; Fuentes-Contreras, E. Increasing catches of adult moth pests (Lepidoptera: Tortricidae) in pome fruit with low-intensity LED lights added to sex pheromone/kairomone lure-baited traps. J. Appl. Entomol. 2023, 147, 843–856. [Google Scholar] [CrossRef]
- Li, P.; Zhu, J.; Qin, Y. Enhanced attraction of Plutella xylostella (Lepidoptera: Plutellidae) to pheromone-baited traps with the addition of green leaf volatiles. J. Econ. Entomol. 2012, 105, 1149–1156. [Google Scholar] [CrossRef]
- Chi, D.T.; Le Thi, H.; Le, V.V.; Thy, T.T.; Yamamoto, M.; Ando, T. Mass trapping of the diamondback moth (Plutella xylostella L.) by a combination of its sex pheromone and allyl isothiocyanate in cabbage fields in southern Vietnam. J. Pestic. Sci. 2024, 49, 15–21. [Google Scholar] [CrossRef]
- Suresh, S.; Chandrasekaran, S.; Babu, P.C. Studies on pheromone and light trap for the attraction of diamondback moth Plutella xylostella. South Indian Hortic. 1989, 37, 353–354. [Google Scholar]
- Zakharova, Y.A.; Frolov, A.N.; Artemyeva, A.M. Monitoring of the diamondback moth (Plutella xylostella L.) on the Brassica oleracea L. collection in the vicinity of St. Petersburg. Proc. Appl. Bot. Genet. Breed. 2022, 183, 219–228. [Google Scholar] [CrossRef]
- Zakharova, Y.A.; Miltsen, A.A.; Frolov, A.N. High-frequency pulsed power supply of LEDs as a way to increase collections of night-flying insects with light traps using diamondback moth, Plutella xylostella (L.) (Lepidoptera, Plutellidae) as an example. Entomol. Obozr. 2025, 104, 51–77. [Google Scholar]
- Umeton, D.; Read, J.C.A.; Rowe, C. Unravelling the illusion of flicker fusion. Biol. Lett. 2017, 13, 20160831. [Google Scholar] [CrossRef]
- Di Lollo, V.; Hogben, J.H. Suppression of visible persistence as a function of spatial separation between inducing stimuli. Percept. Psychophys. 1987, 41, 345–354. [Google Scholar] [CrossRef] [PubMed]
- Inger, R.; Bennie, J.; Davies, T.; Gaston, K. Potential biological and ecological effects of flickering artificial light. PloS One 2014, 9, e98631. [Google Scholar] [CrossRef] [PubMed]
- Justus, K.A.; Mitchell, B.K. Reproductive morphology, copulation, and inter-populational variation in the diamondback moth, Plutella xylostella (L.)(Lepidoptera: Plutellidae). Int. J. Insect Morphol. Embryol. 1999, 28, 233–246. [Google Scholar] [CrossRef]
- Reeve, J.D.; Strom, B.L. Statistical problems encountered in trapping studies of Scolytids and associated insects. J. Chem. Ecol. 2004, 30, 1575–1590. [Google Scholar] [CrossRef]
- Roelofs, W.L.; Cardé, R.T. Responses of Lepidoptera to synthetic sex pheromone chemicals and their analogues. Annu. Rev. Entomol. 1977, 22, 377–405. [Google Scholar] [CrossRef]
- Sawilowsky, S.S. Nonparametric tests of interaction in experimental design. Rev. Educ. Res. 1990, 60, 91–126. [Google Scholar] [CrossRef]
- Peterson, K. Six modifications of the aligned rank transform test for interaction. J. Mod. Appl. Stat. Methods 2002, 1, 13. [Google Scholar] [CrossRef]
- Leys, C.; Schumann, S. A nonparametric method to analyze interactions: the adjusted rank transform test. J. Exp. Soc. Psychol. 2010, 46, 684–688. [Google Scholar] [CrossRef]
- Feys, J. New nonparametric rank tests for interactions in factorial designs with repeated measures. J. Mod. Appl. Stat. Methods 2016, 15, 6. [Google Scholar] [CrossRef]
- Thongteeraparp, A. The comparison of nonparametric statistical tests for interaction effects in factorial design. Decis. Sci. Lett. 2019, 8, 309–316. [Google Scholar] [CrossRef]
- Gentry, C.R.; Davis, D.R. Weather: influence on catches of adult cabbage loopers in traps baited with BL only or with BL plus synthetic sex pheromone. Environ. Entomol. 1973, 2, 1074–1077. [Google Scholar] [CrossRef]
- McQuate, G.T. Green light synergistally enhances male sweetpotato weevil response to sex pheromone. Sci. Rep. 2014, 4, 4499. [Google Scholar] [CrossRef] [PubMed]
- Muirhead-Thompson, R.C. Trap Responses of Flying Insects: The Influence of Trap Design on Capture Efficiency; Academic Press: London, UK, 1991; 287p. [Google Scholar]
- Foster, S.P.; Harris, M.O. Behavioral manipulation methods for insect pest management. Annu. Rev. Entomol. 1997, 42, 123–146. [Google Scholar] [CrossRef] [PubMed]
- Roitberg, B.D. Why pest management needs behavioral ecology and vice versa. Entomol. Res. 2007, 37, 14–18. [Google Scholar] [CrossRef]
- Dent, D.; Binks, R.H. Insect Pest Management, 3rd ed.; CAB International: Oxfordshire, UK, Boston, USA, 2020; 380p. [Google Scholar]
- Nieri, R.; Anfora, G.; Mazzoni, V.; Stacconi, M.М.R. Semiochemicals, semiophysicals and their integration for the development of innovative multi-modal systems for agricultural pests’ monitoring and control. Entomol. Gen. 2022, 42, 167–183. [Google Scholar] [CrossRef]
- Agelopoulos, N.; Birkett, M.A.; Hick, A.J.; Hooper, A.M.; Pickett, J.A.; Pow, E.M.; Smart, L.E.; Smiley, D.W.M.; Wadhams, L.J.; Woodcock, C.M. Exploiting semiochemicals in insect control. Pest. Sci. 1999, 55, 225–235. [Google Scholar] [CrossRef]
- El-Ghany, N.M.A. Semiochemicals for controlling insect pests. J. Plant Prot. Res. 2019, 59, 1–11. [Google Scholar] [CrossRef]
- Frolov, A.N. Controlling the behavior of harmful insects: light and chemical signals and their combined action. Entomol. Rev. 2022, 102, 782–819. [Google Scholar] [CrossRef]
- Henneberry, T.J.; Howland, A.F. Response of male cabbage loopers to black-light with or without the presence of the female sex pheromone. J. Econ. Entomol. 1966, 59, 623–626. [Google Scholar] [CrossRef]
- Henneberry, T.J.; Howland, A.F.; Wolf, W.W. Combinations of blacklight and virgin females as attractants to cabbage looper moths. J. Econ. Entomol., 1967, 60, 152–156. [Google Scholar] [CrossRef]
- Hoffman, D.J.; Lawson, F.R.; Peace, B. Attraction of blacklight traps baited with virgin female tobacco hornworm moths. J. Econ. Entomol. 1966, 59, 809–811. [Google Scholar] [CrossRef]
- Cantelo, W.W.; Smith, J.S. Attraction of tobacco horn worm moths to blacklight traps baited with virgin females. J. Econ. Entomol. 1971, 64, 1511–1514. [Google Scholar] [CrossRef]
- Cantelo, W.W.; Smith, J.S.; Baumhover, A.H.; Stanley, J.M.; Henneberry, T.J. Suppression of an isolated population of the tobacco hornworm, with blacklight traps unbaited or baited with virgin female moths. Environ. Entomol. 1972, 1, 253–258. [Google Scholar] [CrossRef]
- Hendricks, D.E. Use of virgin female tobacco budworms to increase catch of males in blacklight traps and evidence that trap location and wind influence catch. J. Econ. Entomol. 1968, 61, 1581–1585. [Google Scholar] [CrossRef]
- Gross, J.; Franco, J.C. Novel trends on semiochemicals and semiophysicals for insect science and management. Entomol. Gen. 2022, 42, 163–165. [Google Scholar] [CrossRef]
- Duehl, A.J.; Cohnstaedt, L.W.; Arbogast, R.T.; Teal, P.E.A. Evaluating light attraction to increase trap efficiency for Tribolium castaneum (Coleoptera: Tenebrionidae). J. Econ. Entomol. 2011, 104, 1430–1435. [Google Scholar] [CrossRef]
- Miyatake, T.; Yokoi, T.; Fuchikawa, T.; Korehisa, N.; Kamura, T.; Nanba, K.; Ryouji, S.; Kamioka, N.; Hironaka, M.; Osada, M.; Hariyama, T.; Sasaki, R.; Shinoda, K. Monitoring and detecting the cigarette beetle (Coleoptera: Anobiidae) using ultraviolet (LED) direct and reflected lights and/or pheromone traps in a laboratory and a storehouse. J. Econ. Entomol. 2016, 109, 2551–2560. [Google Scholar] [CrossRef]
- Rice, K.B.; Cullum, J.P.; Wiman, N.G.; Hilton, R.; Leskey, T.C. Halyomorpha halys (Hemiptera: Pentatomidae) response to pyramid traps baited with attractive light and pheromonal stimuli. Fla. Entomol. 2017, 100, 449–453. [Google Scholar] [CrossRef]
- Rondoni, G.; Chierici, E.; Marchetti, E.; Nasi, S.; Ferrari, R.; Conti, E. Improved captures of the invasive brown marmorated stink bug, Halyomorpha halys, using a novel multimodal trap. Insects 2022, 13, 527. [Google Scholar] [CrossRef]
- Otieno, J.A.; Stukenberg, N.; Weller, J.; Poehling, H.M. Efficacy of LED-enhanced blue sticky traps combined with the synthetic lure Lurem-TR for trapping of western flower thrips (Frankliniella occidentalis). J. Pest Sci. 2018, 91, 1301–1314. [Google Scholar] [CrossRef]
- Sarvary, M.A.; Cooperband, M.F.; Hajek, A.E. The importance of olfactory and visual cues in developing better monitoring tools for Sirex noctilio (Hymenoptera: Siricidae). Agr. Forest Entomol. 2015, 17, 29–35. [Google Scholar] [CrossRef]
- Mann, R.S.; Kaufman, P.E.; Butler, J.F. Lutzomyia spp. (Diptera: Psychodidae) response to olfactory attractant- and light emitting diode-modified Mosquito Magnet X (MMX) traps. J. Med. Entomol. 2009, 46, 1052–1061. [Google Scholar] [CrossRef]
- da Silva, A.A.; Rebêlo, J.M.M.; Carneiro, B.F.; Castro, M.P.P.; de Sousa de Almeida, M.; Ponte, I.S.; Aguiar, J.V.C.; Silva, F.S. Exploiting the synergistic effect of kairomones and light-emitting diodes on the attraction of phlebotomine sand flies to light traps in Brazil. J. Med. Entomol. 2019, 56, 1441–1445. [Google Scholar] [CrossRef] [PubMed]
- Delisle, J.; West, R.J.; Bowers, W.W. The relative performance of pheromone and light traps in monitoring the seasonal activity of both sexes of the eastern hemlock looper, Lambdina fiscellaria fiscellaria. Entomol. Exp. Appl. 1998, 89, 87–98. [Google Scholar] [CrossRef]
- Sambaraju, K.R.; Phillips, T.W. Responses of adult Plodia interpunctella (Hübner)(Lepidoptera: Pyralidae) to light and combinations of attractants and light. J. Insect Behav. 2008, 21, 422–439. [Google Scholar] [CrossRef]
- Frolov, A.N.; Zakharova, Y.A.; Malysh, S.M. Through twilight to the light: a new sight of variability in codling moth behavioral reactions. Plant Prot. News 2024, 107, 40–74. [Google Scholar] [CrossRef]
- Zhukovskaya, M.I.; Grushevaya, I.V.; Miltsen, A.A.; Selitskaya, O.G.; Shchenikova, A.V.; Frolov, A.N.; Tóth, M. To attract a moth: wind tunnel and field testing of plant odor and light stimuli and their combination for Ostrinia nubilalis. Acta Phytopathol. Entomol. Hung. 2024, 59, 108–120. [Google Scholar] [CrossRef]
- Pezhman, H.; Saeidi, K. Effectiveness of various solar light traps with and without sex pheromone for mass trapping of tomato leaf miner (Tuta absoluta) in a tomato field. Not. Sci. Biol. 2018, 10, 475–484. [Google Scholar] [CrossRef]
- Frost, S.W. Light traps for insect collections, survey, and control. Pa. Agr. Exp. Stn. Bull. 1952, 550, 32. [Google Scholar]
- Blomberg, O.; Itämies, J.; Kuusela, K. Insect catches in a blended and a black light-trap in northern Finland. Oikos 1976, 27, 57–63. [Google Scholar] [CrossRef]
- Maelzer, D.A.; Zalucki, M.P. Analysis of long-term light-trap data for Helicoverpa spp. (Lepidoptera: Noctuidae) in Australia: the effect of climate and crop host plants. Bull. Entomol. Res. 1999, 89, 455–463. [Google Scholar] [CrossRef]
- Szentkirályi, F. Fifty years-long insect survey in Hungary: T. Jeremy’s contribution to light-trapping. Acta Zool. Acad. Sci. Hung. 2002, 48, 85–105. [Google Scholar]
- Southwood, T.R.E.; Henderson, P.A.; Woiwod, I.P. Stability and change over 67 years – the community of Heteroptera as caught in a light-trap at Rothamsted, UK. Eur. J. Entomol. 2003, 100, 557–561. [Google Scholar] [CrossRef]
- Hufnagel, L.; Gimesi, L. The possibilities of biodiversity monitoring based on Hungarian light trap networks. Appl. Ecol. Environ. Res. 2010, 8, 223–239. [Google Scholar]
- Oloumi-Sadeghi, H.; Showers, W.B.; Reed, G.L. European corn borer: lack of synchrony of attraction to sex pheromone and capture in light traps. J. Econ. Entomol. 1975, 68, 663–667. [Google Scholar] [CrossRef]
- Starratt, A.N.; McLeod, D.G.R. Influence of pheromone trap age on capture of the European com borer. Environ. Entomol. 1976, 5, 1008–1010. [Google Scholar] [CrossRef]
- Fletcher-Howell, G.; Ferro, D.N.; Butkewich, S. Pheromone and blacklight trap monitoring of adult European corn borer (Lepidoptera: Pyralidae) in western Massachusetts. Environ. Entomol. 1983, 12, 531–534. [Google Scholar] [CrossRef]
- Kammar, V.; Rani, A.T.; Kumar, K.P.; Chakravarthy, A.K. Light trap: a dynamic tool for data analysis, documenting, and monitoring insect populations and diversity. In Innovative Pest Management Approaches for the 21st Century: Harnessing Automated Unmanned Technologies; Chakravarthy, A.K., Ed.; Springer Singapore, 2020; pp. 137–163.
- Cardé, R.T.; Minks, A.K. Insect Pheromone Research: New Directions; Chapman & Hall: New York, USA, 1997; 684p. [Google Scholar]
- El-Sayed, A.M.; Suckling, D.M.; Wearing, C.H.; Byers, J.A. Potential of mass trapping for long-term pest management and eradication of invasive species. J. Econ. Entomol. 2006, 99, 1550–1564. [Google Scholar] [CrossRef]
- Čokl, A.A.; Millar, J.G. Manipulation of insect signaling for monitoring and control of pest insects. In Biorational Control of Arthropod Pests; Ishaaya, I., Horowitz, A., Eds.; Springer: Dordrecht et al., 2009; pp. 279–316. [Google Scholar]
- Yew, J.Y.; Chung, H. Insect pheromones: an overview of function, form, and discovery. Prog. Lipid Res. 2015, 59, 88–105. [Google Scholar] [CrossRef]
- Rizvi, S.A.H.; George, J.; Reddy, G.V.; Zeng, X.; Guerrero, A. Latest developments in insect sex pheromone research and its application in agricultural pest management. Insects 2021, 12, 484. [Google Scholar] [CrossRef]
- Webster, R.P.; Charlton, R.E.; Schal, C.; Cardé, R.T. High-efficiency pheromone trap for the European corn borer (Lepidoptera: Pyralidae). J. Econ. Entomol. 1986, 79, 1139–1142. [Google Scholar] [CrossRef]
- Dent, D.R.; Pawar, C.S. The influence of moonlight and weather on catches of Helicoverpa armigera (Hübner)(Lepidoptera: Noctuidae) in light and pheromone traps. Bull. Entomol. Res. 1988, 78, 365–377. [Google Scholar] [CrossRef]
- Mitchell, E.R.; Agee, H.R.; Heath, R.R. Influence of pheromone trap color and design on capture of male velvetbean caterpillar and fall armyworm moths (Lepidoptera: Noctuidae). J. Chem. Ecol. 1989, 15, 1775–1784. [Google Scholar] [CrossRef]
- Kondo, A.; Tanaka, F.; Sugie, H.; Hokyou, N. Analysis of some biological factors affecting differential pheromone trap efficiency between generations in the rice stem borer moth, Chilo suppressalis (Walker)(Lepidoptera: Pyralidae). Appl. Entomol. Zool. 1993, 28, 503–511. [Google Scholar] [CrossRef]
- Kehat, M.; Anshelevich, L.; Dunkelblum, E.; Fraishtat, P.; Greenberg, S. Sex pheromone traps for monitoring the codling moth: effect of dispenser type, field aging of dispenser, pheromone dose and type of trap on male captures. Entomol. Exp. Appl. 1994, 70, 55–62. [Google Scholar] [CrossRef]
- Suckling, D.M. Issues affecting the use of pheromones and other semiochemicals in orchards. Crop Prot. 2000, 19, 677–683. [Google Scholar] [CrossRef]
- Pélozuelo, L.; Frérot, B. Monitoring of European corn borer with pheromone-baited traps: review of trapping system basics and remaining problems. J. Econ. Entomol. 2007, 100, 1797–1807. [Google Scholar]
- Bowden, J. An analysis of factors affecting catches of insects in light-traps. Bull. Entomol. Res. 1982, 72, 535–556. [Google Scholar] [CrossRef]
- Yela, J.L.; Holyoak, M. Effects of moonlight and meteorological factors on light and bait trap catches of noctuid moths (Lepidoptera: Noctuidae). Environ Entomol 1997, 26, 1283–1290. [Google Scholar] [CrossRef]
- Intachat, J.; Woiwod, I.P. Trap design for monitoring moth biodiversity in tropical rainforests. Bull. Entomol. Res. 1999, 89, 153–163. [Google Scholar] [CrossRef]
- Butler, L.; Kondo, V.; Barrows, E.M.; Townsend, E.C. Effects of weather conditions and trap types on sampling for richness and abundance of forest Macrolepidoptera. Environ. Entomol. 1999, 28, 795–811. [Google Scholar] [CrossRef]
- Bates, A.J.; Sadler, J.P.; Everett, G.; Grundy, D.; Lowe, N.; Davis, G.; Baker, D.; Bridge, M.; Clifton, J.; Freestone, R.; Gardner, D.; Gibson, C.; Hemming, R.; Howarth, S.; Orridge, S.; Shaw, M.; Tams, T.; Young, H. Assessing the value of the Garden Moth Scheme citizen science dataset: how does light trap type affect catch? Entomol. Exp. Appl. 2013, 146, 386–397. [Google Scholar] [CrossRef]
- Jonason, D.; Franzén, M.; Ranius, T. Surveying moths using light traps: effects of weather and time of year. PloS One 2014, 9, e92453. [Google Scholar] [CrossRef] [PubMed]
- Campbell, C.D.; Walgenbach, J.F.; Kennedy, G.G. Comparison of black light and pheromone traps for monitoring Helicoverpa zea (Boddie) (Lepidoptera: Noctuidae) in tomato. J. Agric. Entomol. 1992, 9, 17–24. [Google Scholar]
- Srivastava, C.; Pimbert, M.; Reed, W. Monitoring of Helicoverpa (= Heliothis) armigera (Hübner) moths with light and pheromone traps in India. Int. J. Trop. Insect Sci. 1992, 13, 205–210. [Google Scholar] [CrossRef]
- Baker, G.; Tann, C.; Fitt, G. A tale of two trapping methods: Helicoverpa spp. (Lepidoptera, Noctuidae) in pheromone and light traps in Australian cotton production systems. Bull. Entomol. Res. 2011, 101, 9–23. [Google Scholar] [CrossRef]
- Keszthelyi, S.; Nowinszky, L.; Szeőke, K. Different catching series from light and pheromone trapping of Helicoverpa armigera (Lepidoptera: Noctuidae). Biologia 2016, 71, 818–823. [Google Scholar] [CrossRef]
- Mangrio, G.Q.; Gilal, A.A.; Rajput, L.B.; Hajano, J.U.D.; Gabol, A.H. Performance of pheromone and light traps in monitoring and management of tomato leafminer, Tuta absoluta (Lepidoptera: Gelechiidae). J. Saudi Soc. Agric. Sci. 2023, 22, 288–297. [Google Scholar] [CrossRef]
- Miller, J.R.; Gut, L.J. Mating disruption for the 21st century: matching technology with mechanism. Environ. Entomol. 2015, 44, 427–453. [Google Scholar] [CrossRef]
- Ioriatti, C.; Lucchi, A. Semiochemical strategies for tortricid moth control in apple orchards and vineyards in Italy. J. Chem. Ecol. 2016, 42, 571–583. [Google Scholar] [CrossRef]
- Lance, D.R.; Leonard, D.S.; Mastro, V.C.; Walters, M.L. Mating disruption as a suppression tactic in programs targeting regulated lepidopteran pests in US. J. Chem. Ecol. 2016, 42, 590–605. [Google Scholar] [CrossRef] [PubMed]
- Byers, J.A. Modelling female mating success during mass trapping and natural competitive attraction of searching males or females. Entomol. Exp. Appl. 2012, 145, 228–237. [Google Scholar] [CrossRef]
- Brockerhoff, E.G.; Suckling, D.M. Development of an attracticide against light brown apple moth (Lepidoptera: Tortricidae). J. Econ. Entomol. 1999, 92, 853–859. [Google Scholar] [CrossRef]
- González-Fuentes, F.; Narváez-Niño, S.; Rodríguez-Chinchilla, C.; Vargas-Martínez, A.; González-Herrera, A. Trampeo masivo de Plutella xylostella: una alternativa ambiental y económicamente beneficiosa para su control en Costa Rica. Revis. Bionatura 2023, 8, 6. [Google Scholar] [CrossRef]
- Cantelo, W.W. Blacklight traps as control agents: an appraisal. Bull. Entomol. Soc. Amer. 1974, 20, 279–282. [Google Scholar] [CrossRef]
- Hienton, T.E. Summary of Investigations of Electric Insect Traps; Agricultural Research Service, U. S. Department of Agriculture: Washington, USA, 1974; No 1498, 136 p.
- Rhainds, M. Mass trapping lepidopteran pests with light traps, with focus on tortricid forest pests: what if? Insects 2024, 15, 267. [Google Scholar] [CrossRef]







| Bait | Sex | Captures | |||||
|---|---|---|---|---|---|---|---|
| 2022 | 2023 | 2024 | In total for 3 years | Females, % | Ratio of captures, % | ||
| SSA | males | 113 | 109 | 553 | 775 | 0.13 | 5.3 |
| females | 0 | 1 | 0 | 1 | |||
| sum | 113 | 110 | 553 | 776 | |||
| LED | males | 964 | 798 | 1769 | 3531 | 2.57 | 24.7 |
| females | 27 | 8 | 58 | 93 | |||
| sum | 991 | 806 | 1827 | 3624 | |||
| SSA + LED | males | 1629 | 2089 | 6214 | 9932 | 1.17 | 68.6 |
| females | 41 | 8 | 69 | 118 | |||
| sum | 1670 | 2097 | 6283 | 10050 | |||
| Control | males | 38 | 26 | 132 | 196 | 4.39 | 1.4 |
| females | 4 | 0 | 5 | 9 | |||
| sum | 42 | 26 | 137 | 205 | |||
| Total | males | 2744 | 3022 | 8668 | 14434 | 1.51 |
100 |
| females | 72 | 17 | 132 | 221 | |||
| sum | 2816 | 3039 | 8800 | 14655 | |||
| Year | SSA | LED | Mean (± SE) catch per 1 trap per 7 days | ||
|---|---|---|---|---|---|
| Males | Females | Males + Females | |||
| 2022 | Yes | Yes | 48.11 ± 14.14 a 1* | 1.21 ± 0.11 a | 49.32 ± 14.22 a |
| No | 3.34 ± 1.78 bc | 0 b | 3.34 ± 1.78 bc | ||
| No | Yes | 28.47 ± 14.14 ab | 0.80 ± 0.14 ab | 29.27 ± 12.86 ab | |
| No | 1.12 ± 0.16 c | 0.12 ± 0.12 b | 1.24 ± 0.23 c | ||
| KWT 2, df = 3 | χ2 = 8.95 p < 0.05 | χ2 = 10.17 p < 0.05 | χ2 = 8.95 p < 0.05 | ||
| MMT, df = 3 | χ2 = 12.00 p < 0.01 | χ2 = 12.00 p < 0.01 | χ2 = 12.00 p < 0.01 | ||
| 2023 | Yes | Yes | 54.77 ± 4.42 a | 0.21 ± 0.05 a | 54.98 ± 4.43 a |
| No | 2.86 ± 0.74 bc | 0.03 ± 0.03 b | 2.88 ± 0.76 bc | ||
| No | Yes | 20.92 ± 1.32 ab | 0.21 ± 0.07 a | 21.13 ± 1.34 ab | |
| No | 0.68 ± 0.23 c | 0 b | 0.68 ± 0.23 c | ||
| KWT, df = 3 | χ2 = 10.38 p < 0.05 | χ2 = 8.68 p < 0.05 | χ2 = 10.38 p < 0.05 | ||
| MMT, df = 3 | χ2 = 12.00 p < 0.01 | χ2 = 9.26 p < 0.05 | χ2 = 12.00 p < 0.01 | ||
| 2024 | Yes | Yes | 172.61 ± 15.65 a | 1.92 ± 0.29 a | 174.53 ± 15.37 a |
| No | 15.36 ± 4.73 bc | 0 c | 15.36 ± 4.72 bc | ||
| No | Yes | 49.14 ± 3.12 ab | 1.61 ± 0.25 ab | 50.75 ± 2.87 ab | |
| No | 3.67 ± 1.25 c | 0.14 ± 0.07 bc | 3.80 ± 1.31 c | ||
| KWT, df = 3 | χ2 = 10.38 p < 0.05 | χ2 = 9.74 p < 0.05 | χ2 = 10.39 p < 0.05 | ||
| MMT, df = 3 | χ2 = 12.00 p < 0.01 | χ2 = 12.00 p < 0.01 | χ2 = 12.00 p < 0.01 | ||
| 2022-2024 | Yes | Yes | 91.83 ± 21.15 a | 1.11 ± 0.26 a | 92.68 ± 21.20 a |
| No | 7.18 ± 2.52 c | 0.01 ± 0.01 b | 7.19 ± 2.52 c | ||
| No | Yes | 32.84 ± 5.79 b | 0.87 ± 0.22 a | 33.57 ± 5.80 b | |
| No | 1.82 ± 0.59 c | 0.08 ± 0.04 b | 1.90 ± 0.62 c | ||
| KWT, df = 3 | χ2 = 26.80 p < 0.0001 | χ2 = 11.05 p < 0.01 | χ2 = 26.89 p < 0.0001 | ||
| MMT, df = 3 | χ2 = 23.56 p < 0.0001 | χ2 = 11.31 p < 0.01 | χ2 = 23.56 p < 0.0001 | ||
| ARTT, df = 1, 24 | F = 8.56 p < 0.001 | F = 1.39 ns | F = 7.27 p < 0.01 | ||
| Bait | Quartiles, Interquartile Interval | Years | |||
|---|---|---|---|---|---|
| 2022 | 2023 | 2024 | 2022-2024 | ||
| Males | |||||
| SSA | Q25 | 0 | 0.27 | 0.50 | 0.25 |
| Q50 | 0.53 | 0.67 | 5.25 | 0.83 | |
| Q75 | 1.20 | 1.00 | 13.00 | 5.50 | |
| Q25 – Q75 | 1.20 | 0.73 | 12.50 | 5.25 | |
| LED | Q25 | 4.82 | 2.67 | 4.50 | 4.00 |
| Q50 | 8.89 | 6.17 | 18.50 | 11.40 | |
| Q75 | 15.25 | 14.67 | 35.14 | 21.33 | |
| Q25 – Q75 | 10.43 | 12.00 | 30.64 | 17.33 | |
| SSA + LED | Q25 | 11.25 | 9.50 | 17.50 | 10.57 |
| Q50 | 22.08 | 15.80 | 69.75 | 24.75 | |
| Q75 | 32.00 | 35.67 | 151.00 | 62.00 | |
| Q25 – Q75 | 20.75 | 26.17 | 133.50 | 51.43 | |
| Control | Q25 | 0.14 | 0 | 0.20 | 0 |
| Q50 | 0.37 | 0 | 0.83 | 0.33 | |
| Q75 | 0.50 | 0.57 | 2.00 | 1.00 | |
| Q25 – Q75 | 0.36 | 0.57 | 1.80 | 1.00 | |
| Females | |||||
| SSA | Q25 | 0 | 0 | 0 | 0 |
| Q50 | 0 | 0 | 0 | 0 | |
| Q75 | 0 | 0 | 0 | 0 | |
| Q25 – Q75 | 0 | 0 | 0 | 0 | |
| LED | Q25 | 0 | 0 | 0 | 0 |
| Q50 | 0.13 | 0 | 0.16 | 0 | |
| Q75 | 0.38 | 0.14 | 1.00 | 0.38 | |
| Q25 – Q75 | 0.38 | 0.14 | 1.00 | 0.38 | |
| SSA + LED | Q25 | 0 | 0 | 0.13 | 0 |
| Q50 | 0.21 | 0 | 0.55 | 0.14 | |
| Q75 | 1.00 | 0.13 | 1.00 | 0.75 | |
| Q25 – Q75 | 1.00 | 0.13 | 0.88 | 0.75 | |
| Control | Q25 | 0 | 0 | 0 | 0 |
| Q50 | 0 | 0 | 0 | 0 | |
| Q75 | 0 | 0 | 0 | 0 | |
| Q25 – Q75 | 0 | 0 | 0 | 0 | |
| Males + Females | |||||
| SSA | Q25 | 0 | 0.27 | 0.50 | 0.25 |
| Q50 | 0.53 | 0.67 | 5.25 | 0.83 | |
| Q75 | 1.20 | 1.00 | 13.00 | 5.50 | |
| Q25 – Q75 | 1.20 | 0.73 | 12.50 | 5.25 | |
| LED | Q25 | 4.93 | 2.67 | 4.50 | 4.00 |
| Q50 | 8.95 | 6.17 | 19.38 | 11.40 | |
| Q75 | 17.25 | 14.83 | 35.43 | 21.67 | |
| Q25 – Q75 | 12.32 | 12.17 | 30.93 | 17.67 | |
| SSA + LED | Q25 | 11.50 | 9.50 | 18.00 | 10.57 |
| Q50 | 22.17 | 16.60 | 72.79 | 25.00 | |
| Q75 | 32.00 | 36.00 | 151.67 | 63.00 | |
| Q25 – Q75 | 20.50 | 26.50 | 133.67 | 52.43 | |
| Control | Q25 | 0 | 0 | 0.20 | 0 |
| Q50 | 0 | 0 | 0.83 | 0.40 | |
| Q75 | 0 | 0 | 2.00 | 1.00 | |
| Q25 – Q75 | 0 | 0 | 1.80 | 1.00 | |
| Calculation procedure | Year | The multiplicity of catch growth calculated by | |
|---|---|---|---|
| Males | Males + Females | ||
| Total adult captures (Table 1, Table 2) |
2022 | 14.4 | 14.8 |
| 2023 | 19.2 | 19.1 | |
| 2024 | 11.2 | 11.4 | |
| Mean | 14.9 | 15.1 | |
| Ratio of interquartile ranges, Q75-Q25 (Table 3) | 2022 | 17.3 | 17.1 |
| 2023 | 35.8 | 36.3 | |
| 2024 | 10.7 | 10.7 | |
| Ratio of medians, Q50 (Table 3) | 2022 | 41.7 | 41.8 |
| 2023 | 23.6 | 24.8 | |
| 2024 | 13.3 | 13.9 | |
| Mean of estimates obtained using Q25, Q50 and Q75 | 23.7 | 24.1 | |
| Bait | SSA | LED | SSA + LED | Control |
| 2022 | ||||
| SSA | - | ns 1 | 0.546 2 | ns |
| LED | ns | - | 0.654 | 0.814 |
| SSA + LED | 0.546 | 0.654 | - | 0.558 |
| Control | ns | 0.814 | 0.558 | - |
| 2023 | ||||
| SSA | - | ns | 0.656 | ns |
| LED | ns | - | 0.541 | ns |
| SSA + LED | 0.656 | 0.541 | - | 0.758 |
| Control | ns | ns | 0.758 | - |
| 2024 | ||||
| SSA | - | 0.490 | 0.745 | ns |
| LED | 0.490 | - | 0.590 | 0.686 |
| SSA + LED | 0.745 | 0.590 | - | ns |
| Control | ns | 0.686 | ns | - |
Disclaimer/Publisher’s Note: The statements, opinions and data contained in all publications are solely those of the individual author(s) and contributor(s) and not of MDPI and/or the editor(s). MDPI and/or the editor(s) disclaim responsibility for any injury to people or property resulting from any ideas, methods, instructions or products referred to in the content. |
© 2025 by the authors. Licensee MDPI, Basel, Switzerland. This article is an open access article distributed under the terms and conditions of the Creative Commons Attribution (CC BY) license (http://creativecommons.org/licenses/by/4.0/).
