Submitted:
30 June 2025
Posted:
01 July 2025
You are already at the latest version
Abstract
Keywords:
1. Introduction
2. Materials and Methods
2.1. Study Site
2.2. Datasets
2.3. Method
2.3.1. Modelling Tools and Approach
2.3.2. Climate Change Scenario Calculation
2.3.3. Modelling Simulation Scenarios
3. Results
3.1. Climate Change Impact on Design Rainfall Characteristics
3.2. Flood Mitigation Under Climate Change Scenarios
3.2.1. Grey Infrastructure Performance Under Climate Change
| peak flow (m3/s) | |||
| AEP | CC | RCP 4.5 in 2090 | RCP 8.5 in 2090 |
| Minor | 4 | 4 | 5 |
| Moderate | 6 | 7 | 8 |
| Major | 10 | 11 | 12 |
| total runoff volume (m3) | |||
| Minor | 0.33*106 | 0.38*106 | 0.41*106 |
| Moderate | 0.47*106 | 0.58*106 | 0.63*106 |
| Major | 1.56*106 | 1.75*106 | 1.95*106 |
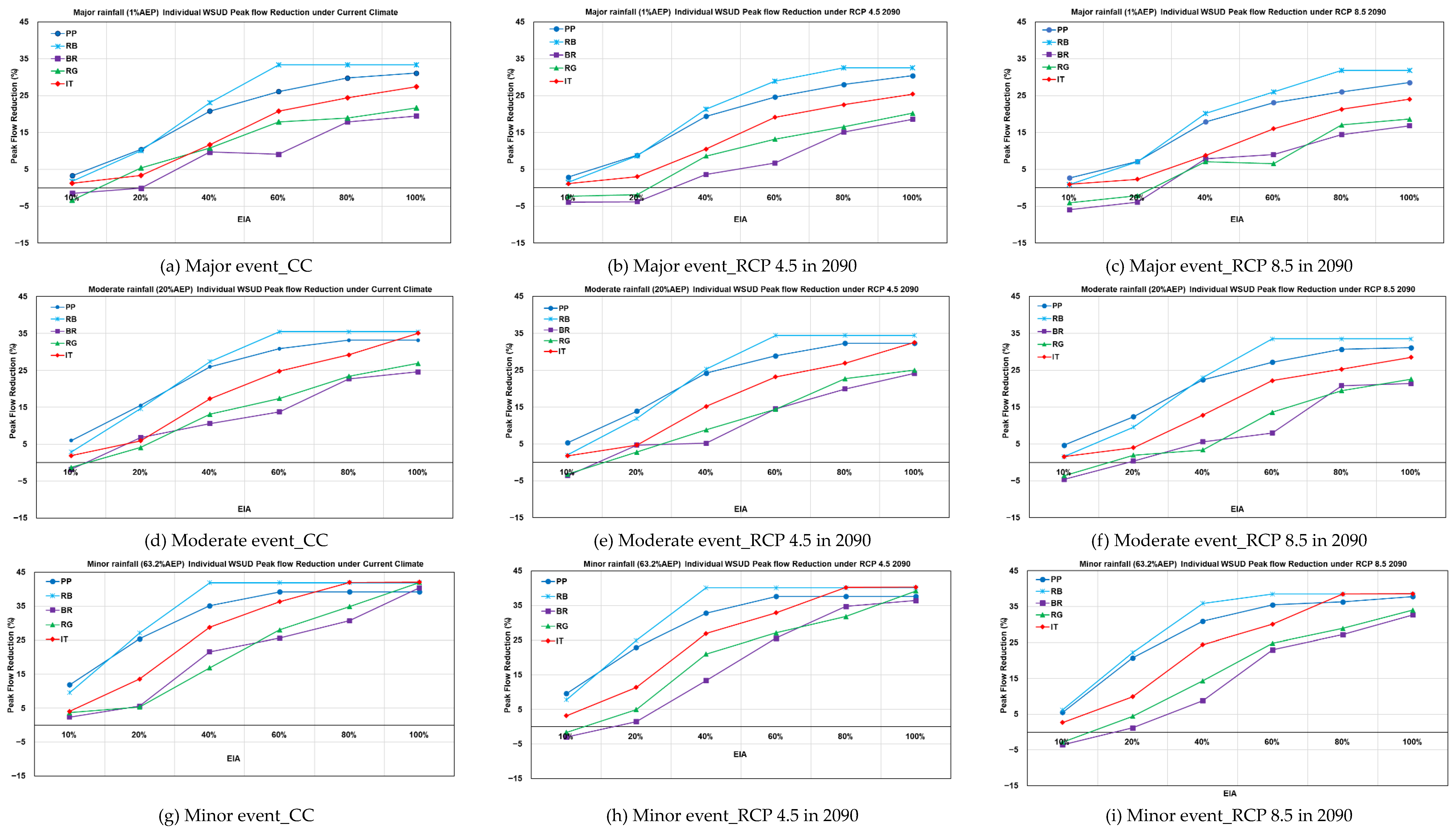
3.2.2. Impact of Climate Change on Individual WSUD Performance
3.2.3. Mixed WSUD Performance
3.2.4. WSUD Performance

4. Discussion
4.1. Flood Mitigation Under Climate Change Scenarios
4.2. WSUD Performance Under Climate Change
4.3. Incorporating Climate Change: Philosophical and Methodological Issues
5. Limitations and Future Research
6. Conclusions
Author Contributions
Funding
Data Availability Statement
Acknowledgments
Conflicts of Interest
Appendix A
| Parameters | Bioretention | Raingarden | Rain Barrel | Infiltration trench | Porous Pavement |
|---|---|---|---|---|---|
| Surface | |||||
| Berm height (mm) | 1000 | 1000 (100-1000) | 200 | 100 (100-1000) | |
| Vegetative cover | 0.7 | 0.7 | 0 | 0 | |
| Surface slope (%) | 1 | 1 | 1 | ||
| Surface roughness (m^1/3)/s | 0.1 | 0.1 (0.1-0.15) | 0.1 | 0.1 (0.1-0.15) | |
| Soil infiltration capacity (mm/h) | 1 | 10-140 | - | - | |
| Swale side slope (rise/run) | - | - | 3-4 | ||
| Soil | |||||
| Field capacity | 0.31 | 0.31 | 0.31 | 0.31 | |
| Wilting point | 0.09 | 0.09 | 0.09 | 0.09 | |
| Flow Capacity based (leak capacity/infiltration capacity/h) | 1.5 |
1.5 |
- | - | |
| Infiltration capacity (mm/hr) | 50 | 50 | |||
| Conductivity based | 5 | 1.5 | - | - | |
| Conductivity, conductivity slope, suction header) | 49.5 | 5-105 | - | - | |
| Pavement | |||||
| Thickness | - | - | - | 150 | |
| Porosity | - | - | - | 0.21 | |
| Permeability | - | - | - | 3000 | |
| Impervious surface | - | 10-70 | 10-70 | 0 | |
| Storage | |||||
| Height (mm) | 300 | - | 900 | 500 | 250 |
| Porosity | 0.3 | - | 0.35 | 0.9 | |
| Conductivity | 300 | - | 300 | 1000 | |
| Clogging factor | 0 | - | 0 | 0 | |
| Drain | - | - | |||
| Offset height (mm) | 200 | - | 300 | 200 | 200 |
| Delay (h) | - | - | 0.5 | 0.5 | - |
| exponent | 0.5 | - | 0.5 | - | 0.5 |
| Drain capacity (per area-capacity area mm/h) | 50 | - | 50 | 50 | 50 |
| Drain coefficient | - | 0 -120 | 0-20 | - |
References
- Dottori, F.; Szewczyk, W.; Ciscar, J.C.; Zhao, F.; Alfieri, L.; Hirabayashi, Y.; Bianchi, A.; Mongelli, I.; Frieler, K.; Betts, R.A.; et al. Increased human and economic losses from river flooding with anthropogenic warming. Nature Climate Change 2018, 8, 781–786. [Google Scholar] [CrossRef]
- Liu, Q.; Du, M.; Wang, Y.; Deng, J.; Yan, W.; Qin, C.; Liu, M.; Liu, J. Global, regional and national trends and impacts of natural flood, 1990–2022. Bulletin of the World Health Organisation 2024, 102, 410–420. [Google Scholar] [CrossRef]
- Najibi, N.; Devineni, N. Recent trends in the frequency and duration of global floods. Earth System Dynamics 2018, 9, 757–783. [Google Scholar] [CrossRef]
- IPCC. Climate change 2021: The physical science basis summary for policymakers, 1–42.
- IPCC. Research handbook on climate change and agricultural law. Research Handbook on Climate Change and Agricultural Law 2019, 1–472. [Google Scholar] [CrossRef]
- Kundzewicz, Z.W.; Szwed, M.; Pińskwar, I. Climate variability and floods-A global review. Water (Switzerland) 2019, 11. [Google Scholar] [CrossRef]
- Trenberth, K.E. Changes in precipitation with climate change. Climate Research 2011, 47, 123–138. [Google Scholar] [CrossRef]
- Chen, A.; Giese, M.; Chen, D. Flood impact on Mainland Southeast Asia between 1985 and 2018—The role of tropical cyclones. Journal of Flood Risk Management 2020, 13. [Google Scholar] [CrossRef]
- Lambin, E.F.; Geist, H.J.; Lepers, E. Dynamics of land-use and land-cover change in tropical regions. Annual Review of Environment and Resources 2003, 28, 205–241. [Google Scholar] [CrossRef]
- O'Gorman, P.A.; Schneider, T. The physical basis for increases in precipitation extremes in simulations of 21st-century climate change.
- IPCC. Foreword Technical and Preface. Climate Change and Land: an IPCC special report on climate change, desertification, land degradation, sustainable land management, food security, and greenhouse gas fluxes in terrestrial ecosystems.
- Chadwick, R.; Good, P.; Martin, G.; Rowell, D.P. Large rainfall changes consistently projected over substantial areas of tropical land. Nature Climate Change 2016, 6, 177–181. [Google Scholar] [CrossRef]
- Cha, E.J.; Knutson, T.R.; Lee, T.-C.; Ying, M.; Nakaegawa, T. Third assessment on impacts of climate change on tropical cyclones in the Typhoon Committee Region – Part II: Future projections. Tropical Cyclone Research and Review 2020, 9, 75–86. [Google Scholar] [CrossRef]
- Trenberth, K.E.; Fasullo, J.T. Tracking Earth's Energy: From El Niño to Global Warming. Surveys in Geophysics 2012, 33, 413–426. [Google Scholar] [CrossRef]
- Simperler, L.; Kretschmer, F.; Ertl, T. A methodical framework for analysing the cause of urban pluvial flooding in a hillside settlement. Water Science and Technology 2019, 79, 1798–1807. [Google Scholar] [CrossRef] [PubMed]
- Tabari, H.; Moghtaderi Asr, N.; Willems, P. Developing a framework for attribution analysis of urban pluvial flooding to human-induced climate impacts. Journal of Hydrology 2021, 598, 126352–126352. [Google Scholar] [CrossRef]
- IPCC. P54 / WGI-14 - Changes to the underlying scientific-technical assessment to ensure consistency with the approved SPM These trickle backs will be implemented in the Chapter during copy-editing P54 / WGI-14 - Changes to the underlying scientific-technical a.
- Dharmarathne, G.; Waduge, A.O.; Bogahawaththa, M.; Rathnayake, U.; Meddage, D.P.P. Adapting cities to the surge: A comprehensive review of climate-induced urban flooding. Results in Engineering 2024, 22. [Google Scholar] [CrossRef]
- Sui, X.; van de Ven, F. Can the implementation of Low Impact Development reduce basin runoff? Hydrology and Earth System Sciences Discussions 2021, 1–24. [Google Scholar]
- Chen, W.; Wang, W.; Huang, G.; Wang, Z.; Lai, C.; Yang, Z. The capacity of grey infrastructure in urban flood management: A comprehensive analysis of grey infrastructure and the green-grey approach. International Journal of Disaster Risk Reduction, 54, 102045 2021, 54. [Google Scholar] [CrossRef]
- Eckart, K.; McPhee, Z.; Bolisetti, T. Performance and implementation of low impact development – A review. Science of the Total Environment 2017, 607-608, 413–432. [Google Scholar] [CrossRef]
- Dandy, G.C.; Di Matteo, M.; Maier, H.R. Optimization of WSUD Systems; Elsevier Inc.: 2018; pp. 303-328.
- Walker, C.; Lucke, T. Urban Lakes as a WSUD System. Woodhead Publishing: In Approaches to Water Sensitive Urban Design, 2019; pp. pp. 269-285.
- Cook, S.; van Roon, M.; Ehrenfried, L.; LaGro, J.; Yu, Q. WSUD “Best in Class”-Case Studies From Australia, New Zealand, United States, Europe, and Asia. Elsevier: 2018; pp. 561-585.
- Ladson, A. Using WSUD to Restore Predevelopment Hydrology. Elsevier: 2018; pp. 209-228.
- Patel, P.; Karmakar, S.; Ghosh, S.; Aliaga, D.G.; Niyogi, D. Impact of green roofs on heavy rainfall in tropical, coastal urban area. Environmental Research Letters 2021, 16. [Google Scholar] [CrossRef]
- Teang, L.; Wongwatcharapaiboon, J.; Irvine, K.; Jamieson, I.; inchumphu, D. Modelling the Impact of Water Sensitive Urban Design on Pluvial Flood Management in a Tropical Climate; 2021.
- Yau, W.K.; Radhakrishnan, M.; Liong, S.Y.; Zevenbergen, C.; Pathirana, A. Effectiveness of ABC waters design features for runoff quantity control in Urban Singapore. Water (Switzerland) 2017, 9, 577. [Google Scholar] [CrossRef]
- Irvine, K.N.; Ho, H.L.; Chua, L.H.C. Dynamics of runoff quality associated with an urban park and WSUD treatment train in a tropical climate. Environmental Technology (United Kingdom) 2021, 0, 1–16. [Google Scholar] [CrossRef]
- Rech, A.; Pacheco, E.; Caprario, J.; Rech, J.C.; Finotti, A.R. Low-Impact Development (LID) in Coastal Watersheds: Infiltration Swale Pollutant Transfer in Transitional Tropical/Subtropical Climates. Water (Switzerland) 2022, 14. [Google Scholar] [CrossRef]
- Taniwaki, R.H.; Piggott, J.J.; Ferraz, S.F.B.; Matthaei, C.D. Climate change and multiple stressors in small tropical streams. Hydrobiologia 2017, 793, 41–53. [Google Scholar] [CrossRef]
- Hermawan, A.A.; Talei, A.; Salamatinia, B.; Chua, L.H.C. Seasonal performance of stormwater biofiltration system under tropical conditions. Ecological Engineering 2020, 143. [Google Scholar] [CrossRef]
- Vojinovic, Z.; van Teeffelen, J. An integrated stormwater management approach for small islands in tropical climates. Urban Water Journal 2007, 4, 211–231. [Google Scholar] [CrossRef]
- Sharma, A.K.; Pezzaniti, D.; Myers, B.; Cook, S.; Tjandraatmadja, G.; Chacko, P.; Chavoshi, S.; Kemp, D.; Leonard, R.; Koth, B.; et al. Water sensitive urban design: An investigation of current systems, implementation drivers, community perceptions and potential to supplement urban water services. Water (Switzerland) 2016, 8. [Google Scholar] [CrossRef]
- Li, C.; Peng, C.; Chiang, P.C.; Cai, Y.; Wang, X.; Yang, Z. Mechanisms and applications of green infrastructure practices for stormwater control: A review. 2019, 568, 626-637. [CrossRef]
- Byrne, J.; Green, M.; Dallas, S. WSUD Implementation in a Precinct Residential Development. Elsevier: 2018; pp. 541-559.
- Ahammed, F.; Rohita Sara, G.; Paul Kai, H.; Yan, L. Optimum numbering and sizing of infiltration-based water sensitive urban design technologies in South Australia. International Journal of Sustainable Engineering 2021, 14, 79–86. [Google Scholar] [CrossRef]
- Gurung, S.B.; Wasson, R.J.; Bird, M.; Jarihani, B. Water-Sensitive Urban Design (WSUD) Performance in Mitigating Urban Flooding in a Wet Tropical North Queensland Sub-Catchment. Hydrology 2025, 12, 151. [Google Scholar] [CrossRef]
- https://harc.com.au/software/rorb/. (accessed on 5/8).
- Laurenson, E.M.; Mein, R.G.; Nathan, R.J. User Manual of RORB Runoff Routing Program, Version 6 Department of Civil Engineering, Monash University, Australia: 2010.
- https://csse.com.au/index.php/products/storm-injector. (accessed on 8/8).
- https://www.dhigroup.com/technologies/mikepoweredbydhi/mikeplus. (accessed on 6/6).
- Ball, J.; Babister, M.; Retallick, M.; Weinmann, E. Australian Rainfall & Runoff Book 1: A Guide to Flood Estimation; 2019.
- https://data.arr-software.org/. (accessed on 12/08).
- http://www.bom.gov.au/water/designRainfalls/revised-ifd/?year=2016, c.t.d.l.-l.s.t.s.t.s.t.u.l. (accessed on 12/08).
- https://www.longpaddock.qld.gov.au/qld-future-climate/dashboard/#responseTab1. (accessed on 2023).
- IPCC. Glossary of Terms, 403–424.
- Xu, M.; Bravo de Guenni, L.; Córdova, J.R. Climate change impacts on rainfall intensity–duration–frequency curves in local scale catchments. Environmental Monitoring and Assessment 2024, 196. [Google Scholar] [CrossRef]
- Cœur, D.; Lang, M. Use of documentary sources on past flood events for flood risk management and land planning. 2008, 340, 644-650. [CrossRef]
- Wasko, C.; Nathan, R.; Peel, M.C. Changes in Antecedent Soil Moisture Modulate Flood Seasonality in a Changing Climate. Water Resources Research 2020, 56, no. [Google Scholar] [CrossRef]
- Martínez, C.; Vojinovic, Z.; Sanchez, A. Multi-Objective Model-Based Assessment of Green-Grey Infrastructures for Urban Flood Mitigation. Hydrology 2021, 8, 110–110. [Google Scholar] [CrossRef]
- Zhou, Q. A review of sustainable urban drainage systems considering the climate change and urbanization impacts. Water (Switzerland) 2014, 6, 976–992. [Google Scholar] [CrossRef]
- Goncalves, M.L.R.; Zischg, J.; Rau, S.; Sitzmann, M.; Rauch, W.; Kleidorfer, M. Modeling the effects of introducing low impact development in a tropical city: A case study from Joinville, Brazil. Sustainability (Switzerland) 2018, 10. [Google Scholar] [CrossRef]
- Pour, S.H.; Wahab, A.K.A.; Shahid, S.; Asaduzzaman, M.; Dewan, A. Low impact development techniques to mitigate the impacts of climate-change-induced urban floods: Current trends, issues and challenges. Sustainable Cities and Society 2020, 62, 102373–102373. [Google Scholar] [CrossRef]
- Sui, X.; van de Ven, F. Can the implementation of Low Impact Development reduce basin runoff? 2021. [CrossRef]
- Vojinovic, Z.; Alves, A.; Gómez, J.P.; Weesakul, S.; Keerakamolchai, W.; Meesuk, V.; Sanchez, A. Effectiveness of small- and large-scale Nature-Based Solutions for flood mitigation: The case of Ayutthaya, Thailand. Science of the Total Environment 2021, 789. [Google Scholar] [CrossRef]
- Palla, A.; Gnecco, I. Hydrologic modelling of Low Impact Development systems at the urban catchment scale. Journal of Hydrology 2015, 528, 361–368. [Google Scholar] [CrossRef]
- Castiglia Feitosa, R.; Wilkinson, S. Modelling green roof stormwater response for different soil depths. Landscape and Urban Planning 2016, 153, 170–179. [Google Scholar] [CrossRef]
- (https://geoscience.data.qld.gov.au/data/map-collection/mr002086). (: Available online.
- https://www.hobodataloggers.com.au/. (accessed on 15/05).









| Data | Sources | Open/Purchase | Resolution |
|---|---|---|---|
| Rainfall Data | CRC | Tipping bucket rain gauge | |
| Digital Elevation Model (DEM) | CRC | - | High resolution (0.5x0.5x, 2021) |
| Shapefile (Land use/Landcover) | CRC | - | |
| Drainage network (pipe, manhole, inlets details) | CRC | - | |
| Hydrological input (ARF, ATP, IDF) | [44,45] | Open source | |
| Soil type | [59] | Open source | |
| Water level data | [60] | Field work | Hobo Pressure transducer (Short duration) |
| Climate Data | [46] | Open source | High resolution |
| RORB Model | [39] | Open Source | |
| Storm Injector | [41] | Purchase | |
| MIKE+ | [42] | Open source (Student Version-Unlimited) |
| Scenarios | Descriptions |
|---|---|
| Current Climate (CC) Scenarios |
|
| |
| RCP 4.5 in 2090 Scenarios |
|
| |
| RCP 8.5 in 2090 Scenarios |
|
|
| AEP/Critical Time | Current Climate (CC) (mm) | RCP 4.5 2090 (mm) | RCP 8.5 in 2090 (mm) |
| Minor (63.2% AEP), Critical time: 30 minutes |
34 | 36 | 39 |
| Moderate (20% AEP), Critical time: 30 minutes |
47 | 51 | 55 |
| Major (1% AEP), Critical time: 25 minutes |
66 | 70 | 75 |
| Philosophical Approaches | Salient features | Strength | Limitations |
|---|---|---|---|
| Precautionary principle | Adoption of rainfall increase factors | Reduces the risk of under-design | Can lead to overdesign and economic burden |
| Scenario-based | Range of future climate scenarios (representative concentration pathways -RCP) | Resilient and flexible system | Laborious, time-consuming, complex, and lead to an ambiguous decision |
| Risk-based approach | Design based on the criticality of assets | Aligns with consequences | Data and expertise intensive |
| Regional Context | Methods adjusted and adopted are specific to the localised context | More accurate and relevant | Challenging due to limited data in many regions |
| Adaptive management | Interactive planning | Sustainable long-term | Complex to institutionalise |
Disclaimer/Publisher’s Note: The statements, opinions and data contained in all publications are solely those of the individual author(s) and contributor(s) and not of MDPI and/or the editor(s). MDPI and/or the editor(s) disclaim responsibility for any injury to people or property resulting from any ideas, methods, instructions or products referred to in the content. |
© 2025 by the authors. Licensee MDPI, Basel, Switzerland. This article is an open access article distributed under the terms and conditions of the Creative Commons Attribution (CC BY) license (http://creativecommons.org/licenses/by/4.0/).