Submitted:
27 June 2025
Posted:
30 June 2025
You are already at the latest version
Abstract
Keywords:
1. Introduction
2. Mathematical Model
Constitutive Equations
Equations of Motion
Reduced Model
Analytical Solutions for One Mode Reduction Model
Finite Element Model Validation
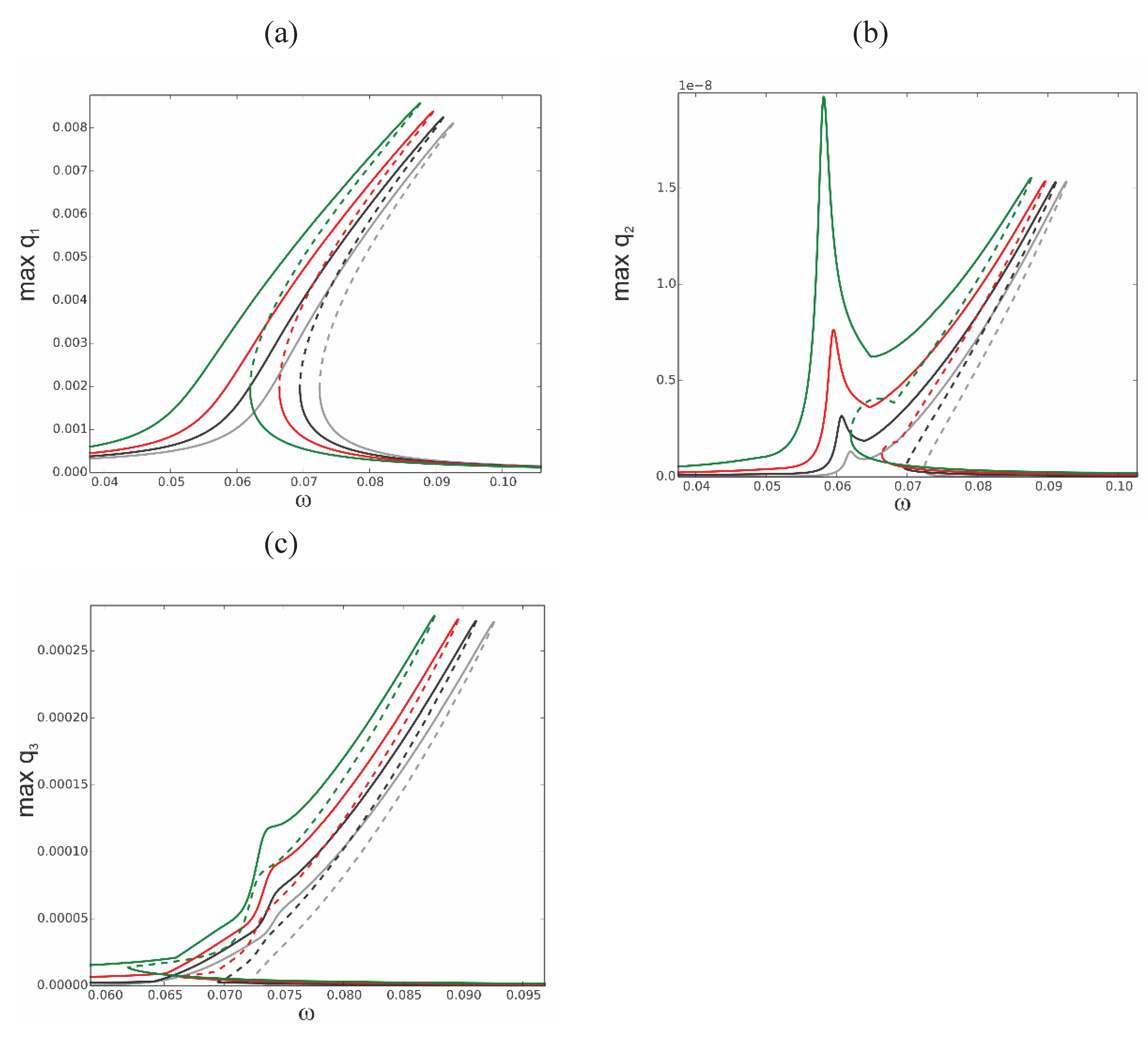
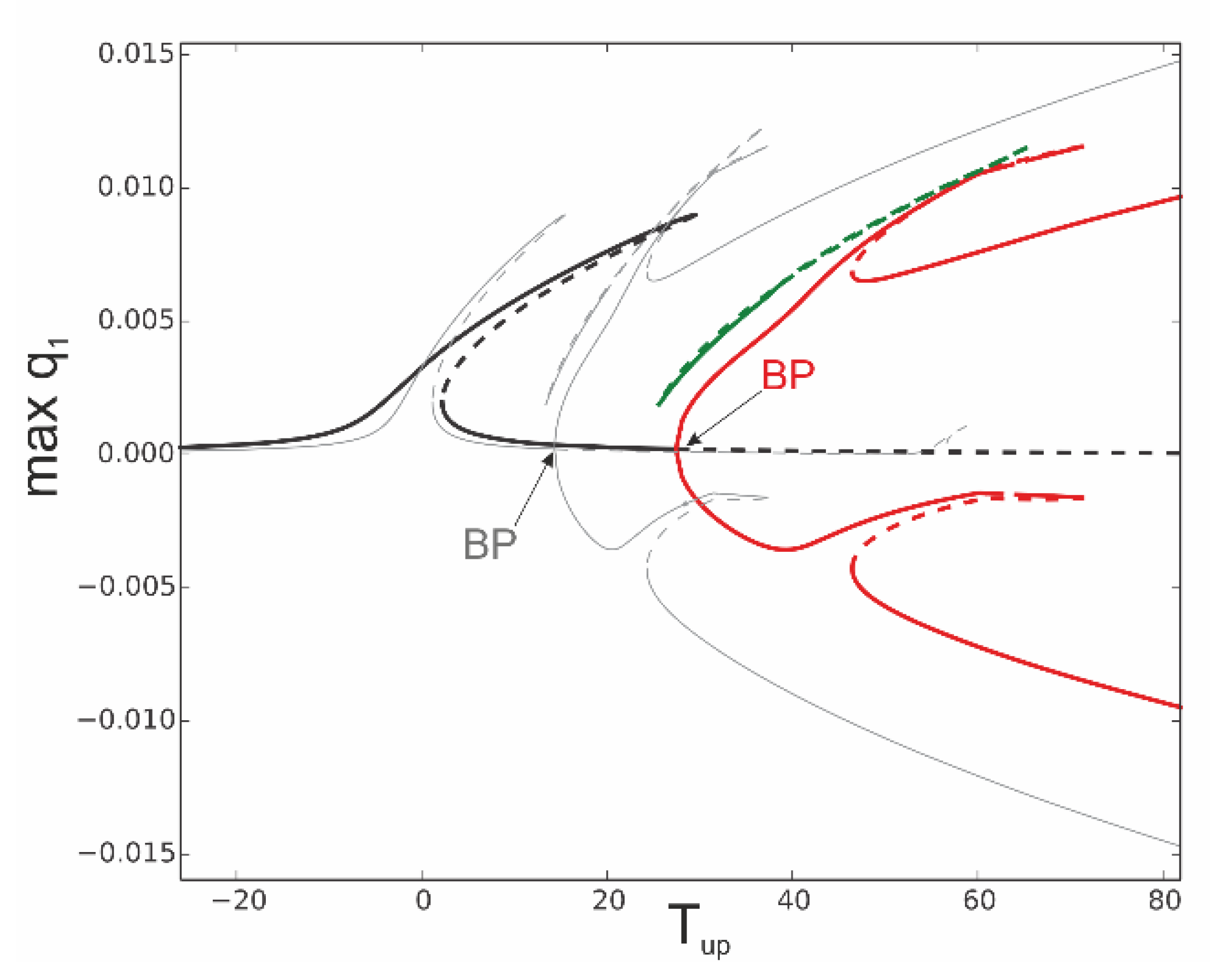
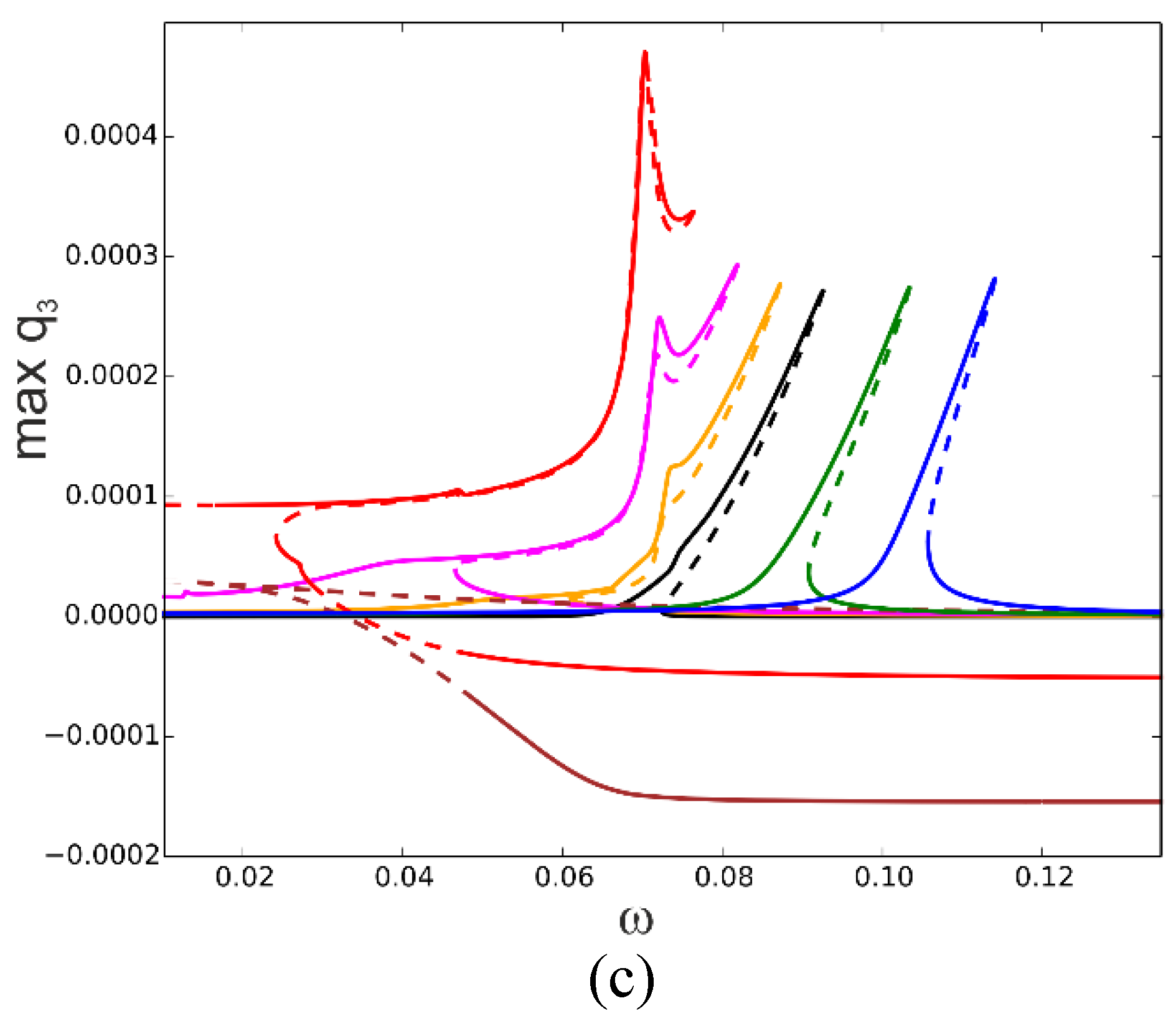
Nonlinear Dynamics Based on the 3 Modes Reduction Model
Applicability of One Mode Reduction
Conclusions
Funding
References
- Boley:, B. , Weiner, J. Theory of thermal stresses. Wiley, New York, 1960.
- W. Nowacki, Thermoelasticity, ed. 2, rev. & enlarged Edition, Pergamon Press and Polish Scientific Publishers, Oxford a.o and Warszawa, 1986.
- J.P. Jones. Thermoelastic vibtrations of beams. AEROSPACE CORPORATION El Segundo, California, Contract No. AF 04(695)-169, 20 February 1963.
- E. A. Thornton, Thermal Structures for Aerospace Applications, American Institute of Aeronautics and Astronautics, Reston, 1996.
- Radu, N. Udrescu, Aerothermoelastic behaviour of skin panels exposed to alternating thermal excitation. European Congress on Computational Methods in Applied Sciences and Engineering ECCOMAS 2000 Barcelona, 11-14 September 2000, ECCOMAS, 1-11.
- Mei, C. , Abdel-Motagaly, K., Chen R. Review of nonlinear panel flutter at supersonic and hypersonic speeds. Appl. Mech. Rev 1999, 52, 321–332. [Google Scholar] [CrossRef]
- Travis, L. Turnery, Z. W. Zhongz and Chuh Mei. Finite element analysis of the random response suppression of composite panels at elevated temperatures using shape memory alloy fibers. NASA-aiaa-94-1324.
- Shi, Y. , Lee R.Y.Y, Mei C. Thermal postbuckling of composite plates using the finite element modal coordinate method. AIAA Journal 1999, 37, 1035–1032. [Google Scholar]
- H. Hao, C. Scola, F. Semperlotti,. Flexural-mode solid-state thermoacoustics. Mechanical Systems and Signal Processing 2021, 148, 107143. [Google Scholar] [CrossRef]
- Ye Tang, Qian Ding. Nonlinear vibration analysis of a bi-directional functionally graded beam under hygro-thermal loads. Composite Structures 2019, 225, 111076. [Google Scholar] [CrossRef]
- Ye Tang, Shun Zhong, Tianzhi Yang and Qian Ding. Interaction Between Thermal Field and Two-Dimensional Functionally Graded Materials: A Structural Mechanical Example. International Journal of Applied Mechanics 2019, 11, 1950099. [Google Scholar] [CrossRef]
- Karagiozova, D. , Manoach, E. Coupling effects in an elastic-plastic beam subjected to heat impact. Nuclear Engineering and Design 1992, 135, 267–276. [Google Scholar] [CrossRef]
- Nayfeh, A. Faris W. Dynamic behavior of Circular structural elements under thermal loading. Paper AIAA 2003-1618. 4th AIAA/ASME/ASCE/AHS Structures, Structural Dynamics, and Materials Conference, April 2003,Norflock, Virginia.
- Arafat, H. , Faris W, Nayfeh A.. Vibrations and buckling of annular and circular plates subjected to a thermal load. Paper AIAA 2003-1927. 4th AIAA/ASME/ASCE/AHS Structures, Structural Dynamics, and Materials Conference, April 2003,Norflock, Virginia.
- Trajkovski, D. , Ĉukić R. A coupled problem of thermoelastic vibrations of a circular plate with exact boundary conditions. Mech. Res. Commun. 1999, 26, 217–224. [Google Scholar] [CrossRef]
- Manoach, E. , Large amplitude vibrations of Timoshenko beams subjected to thermal loading. Proceedings of 8th International Conference on Recent Advances in Structural Dynamics, Southampton, UK. CD-paper 39 (2003). [Google Scholar]
- Manoach, E. , Ribeiro, P. Coupled, thermoelastic, large amplitude vibrations of Timoshenko beams. Int. J. Mechanical Sciences 2004, 46, 1589–1606. [Google Scholar] [CrossRef]
- Yen-Liang Yeha, Cha’o-Kuang Chenb, Hsin-Yi La. Chaotic and bifurcation dynamics for a simply supportedrectangular plate of thermo-mechanical couplingin large deflection. Chaos, Solitons and Fractals 2002, 13, 1493–1506. [Google Scholar] [CrossRef]
- Tiwari, R. , Abouelregal, A.E., Shivay, O.N. et al. Thermoelastic vibrations in electro-mechanical resonators based on rotating microbeams exposed to laser heat under generalized thermoelasticity with three relaxation times. Mech Time-Depend Mater 2024, 28, 423–447. [Google Scholar] [CrossRef]
- Ahmed E Abouelregal. Computational analysis of thermoelastic vibrations of functionally graded nonlocal nanobeam excited by thermal shock. Journal of Vibration and Control 30. [CrossRef]
- Pazera, E. Jędrysiak, J. Effect of Temperature on Vibrations of Laminated Layer Vibrations in Physical Systems. 2018, 29, 2018032. [Google Scholar]
- Saetta, E. , Rega, G.: Unified 2D continuous and reduced order modeling of thermomechanically coupled laminated plate for nonlinear vibrations. Meccanica 2014, 49, 1723–1749. [Google Scholar] [CrossRef]
- Saetta, E. , Rega, G.: Third order thermomechanically coupled laminated plate: 2D nonlinear modeling, minimal reduction, and transient/post-buckled dynamics under different thermal excitations. Compos. Struct. 2017, 174, 420–441. [Google Scholar] [CrossRef]
- Valeria Settimi. Eduardo Saetta. Giuseppe Rega. Nonlinear dynamics of a third-order reduced model of thermomechanically coupled plate under different thermal excitations. Meccanica 2020. [CrossRef]
- Settimi, V. , Rega, G., Saetta, E. Avoiding/inducing dynamic buckling in a thermomechanically coupled plate: A local and global analysis of slow/fast response. Proceedings of the Royal Society A: Mathematical, Physical and Engineering Sciences 2018, 474, 20180206. [Google Scholar] [CrossRef]
- Settimi, V. , Saetta, E., Rega, G. Local and global nonlinear dynamics of thermomechanically coupled composite plates in passive thermal regime. Nonlinear Dyn 2018, 93, 167–187. [Google Scholar] [CrossRef]
- Settimi, V. , Rega, G. Asymptotic formulation of the nonlinear bifurcation scenarios in thermomechanically coupled plates Nonlinear Dyn. 2023, 5941–5962. [Google Scholar] [CrossRef]
- Y. -L. Yeh, C.-K. Chen, H.-Y. Lai, Chaotic and bifurcation dynamics for a simply supported rectangular plate of thermo-mechanical coupling in large deflection. Chaos Solitons Fractals 2002, 13, 1493–1506. [Google Scholar] [CrossRef]
- Yeh, YL. Chaotic and bifurcation dynamic behavior of a simply supported rectangular orthotropic plate with thermo-mechanical coupling. Chaos Solitons Fractals 2005, 24, 1243–55. [Google Scholar] [CrossRef]
- Yeh, YL. The effect of thermo-mechanical coupling for a simply supported orthotropic rectangular plate on nonlinear dynamics. Thin-Walled Struct 2005, 43, 1277–95. [Google Scholar] [CrossRef]
- Ye Tang, Qian Ding. Nonlinear vibration analysis of a bi-directional functionally graded beam under hygro-thermal loads. Composite Structures 2019, 225, 111076. [Google Scholar] [CrossRef]
- Ye Tang, Shun Zhong, Tianzhi Yang and Qian Ding. Interaction Between Thermal Field and Two-Dimensional Functionally Graded Materials: A Structural Mechanical Example. International Journal of Applied Mechanics 2019, 11, 1950099. [Google Scholar] [CrossRef]
- S. I. Tahir, A. Chikh, A. Tounsi, M.A. Al-Osta, S.U. Al-Dulaijan, M.M. Al-Zahrani, Wave propagation analysis of a ceramic–metal functionally graded sandwich plate with different porosity distributions in a hygro-thermal environment, Compos. Struct. 2021, 269, 114030. [Google Scholar] [CrossRef]
- Warminska, E. Manoach, J. Warminski, Dynamics of a circular Mindlin plate under mechanical loading and elevated temperature. MATEC Web of 400 Conferences 2016, 83, 05013. [Google Scholar] [CrossRef]
- Warminska, E. Manoach, J. Warminski, A reduced model of a thermoelastic nonlinear circular plate. MATEC Web of Conferences 2018, 148, 06001. [Google Scholar] [CrossRef]
- Manoach, E, Warminska, A., Warminski, J., Doneva, S.. A reduced multimodal thermoelastic model of a circular Mindlin plate. Int. J Mechanical Science 2019, 153-154, 479–489. [CrossRef]
- J. T. Ravi, S. Nidhan, N. Muthu, S.K. Maiti,Analytical and experimental studies on detection of longitudinal, L and inverted T cracks in isotropic and bi-material beams based on changes in natural frequencies. Mechanical Systems and Signal Processing 2018, 101, 67–96. [Google Scholar] [CrossRef]
- Shang Y F, Ye X Y, Feng J Y. Theoretical analysis and simulation of thermoelastic deformation of bimorph microbeams. Sci China Tech Sci 2013, 56, 1715–1722. [Google Scholar] [CrossRef]
- Carpinteri, A. , Pungo N Thermal loading in multi-layered and/or functionally graded materials: residual stress field, delamination, fatigue and related size effects. Int. J. Solids Struct 2006, 43, 828–841. [Google Scholar] [CrossRef]
- Carpinteri, A. , Paggi M. Thermo-elastic mismatch in nonhomogeneous beams. J Eng Math 2008, 61, 371–384. [Google Scholar] [CrossRef]
- Srinivasan, P. , Mark, S. Spearing Effect of Heat Transfer on Materials Selection for Bi-material Electrothermal Actuators. Journal of microelectromechanical systems 2008, 17, 653–667. [Google Scholar] [CrossRef]
- Guan-Yuan, Wu. The analysis of dynamic instability of a bimaterial beam with alternating magnetic fields and thermal loads. J. Sound and Vibration 2009, 327, 197–210. [Google Scholar]
- Manoach, E. Doneva, S., Warminski, J.. Coupled, Thermo-elastic, Large Amplitude Vibration of Bi-material Beams. Advanced Structured Materials, 134, Springer Science + Business Media, 2020, 227-242.
- Manoach, E. , Warminski, J., Kloda, L., Warminska, A., Doneva, S. Nonlinear vibrations of a bi-material beam under thermal and mechanical loadings. Mechanical Systems and Signal Processing 2022, 177, 109127. [Google Scholar] [CrossRef]
- AUTO: Software for continuation and bifurcation problems in ordinary differential equations, http://cmvl.cs.concordia.ca/auto/.
- ANSYS.com.



















| No | Reduced Model | Finite Element Model | Differences % |
|---|---|---|---|
| 1 | 108.77 | 117.39 | 7.3 |
| 2 | 299.53 | 323.30 | 7.35 |
| 3 | 586.42 | 633.20 | 7.38 |
Disclaimer/Publisher’s Note: The statements, opinions and data contained in all publications are solely those of the individual author(s) and contributor(s) and not of MDPI and/or the editor(s). MDPI and/or the editor(s) disclaim responsibility for any injury to people or property resulting from any ideas, methods, instructions or products referred to in the content. |
© 2025 by the authors. Licensee MDPI, Basel, Switzerland. This article is an open access article distributed under the terms and conditions of the Creative Commons Attribution (CC BY) license (http://creativecommons.org/licenses/by/4.0/).