Submitted:
23 June 2025
Posted:
25 June 2025
You are already at the latest version
Abstract
Keywords:
1. Introduction
2. Models and Governing Equations
2.1. Assumptions
2.2. Cavern Thermodynamics
2.3. Model of I/EWP Flow
2.4. Model of Air Injection for Brine Drainage
2.4.1. Air Injection and Pressure Increase Stage (AIPIS)
2.4.2. Pressure Increase and Brine Drainage Stage (PIBDS)
2.4.3. Halt Injection and Brine Drainage Stage (HIBDS)
3. Results and Discussion
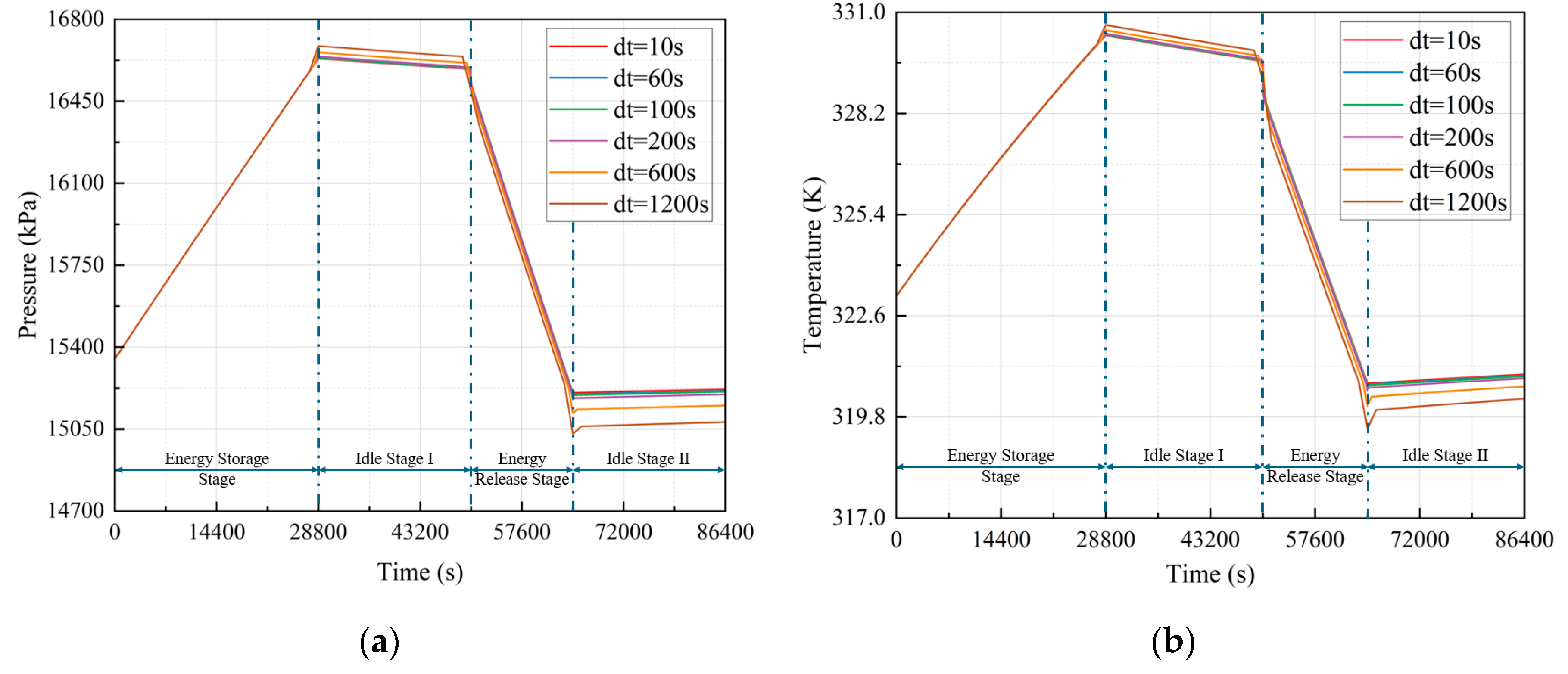
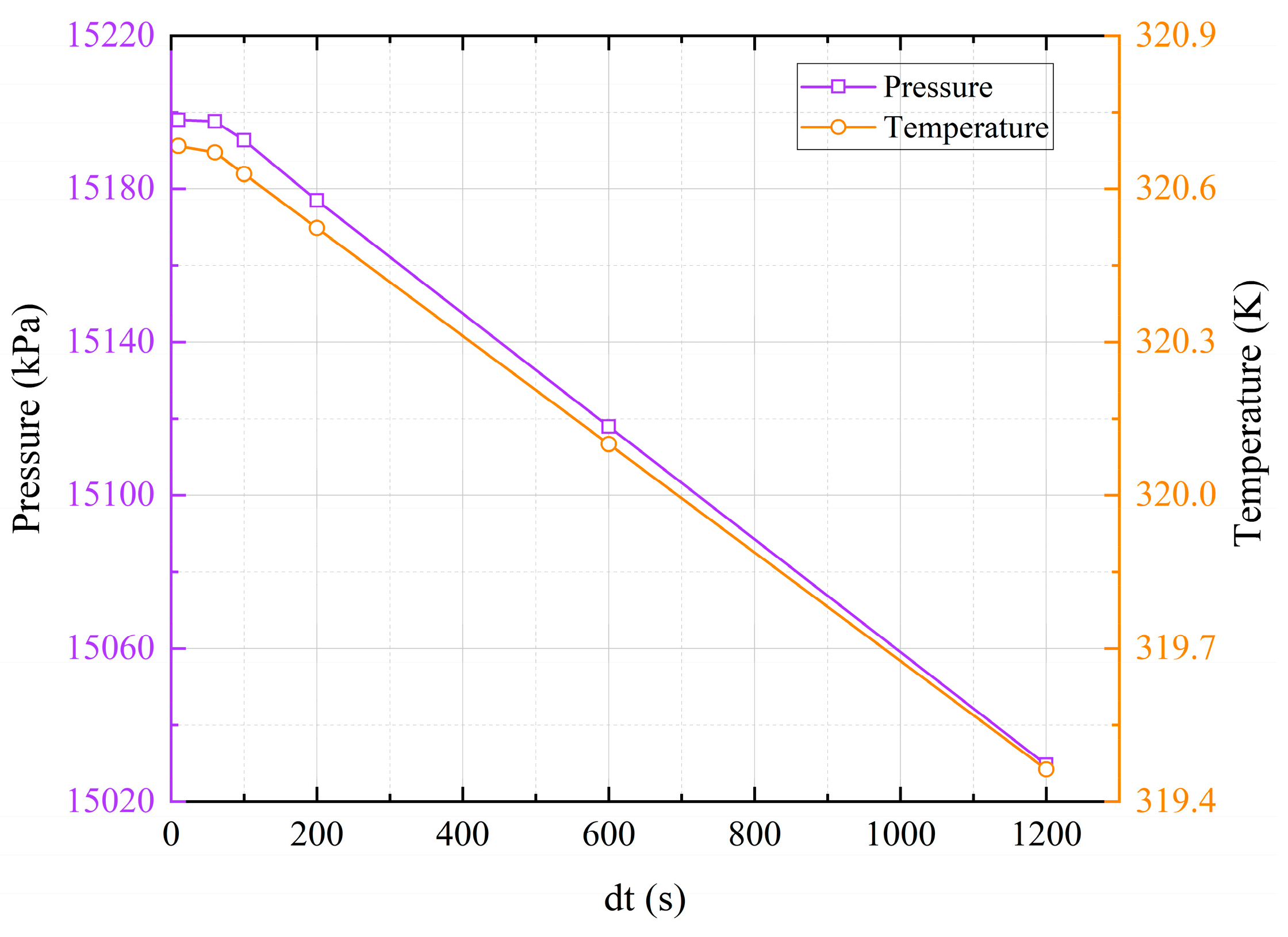
3.1. Verification of Time Step Independence
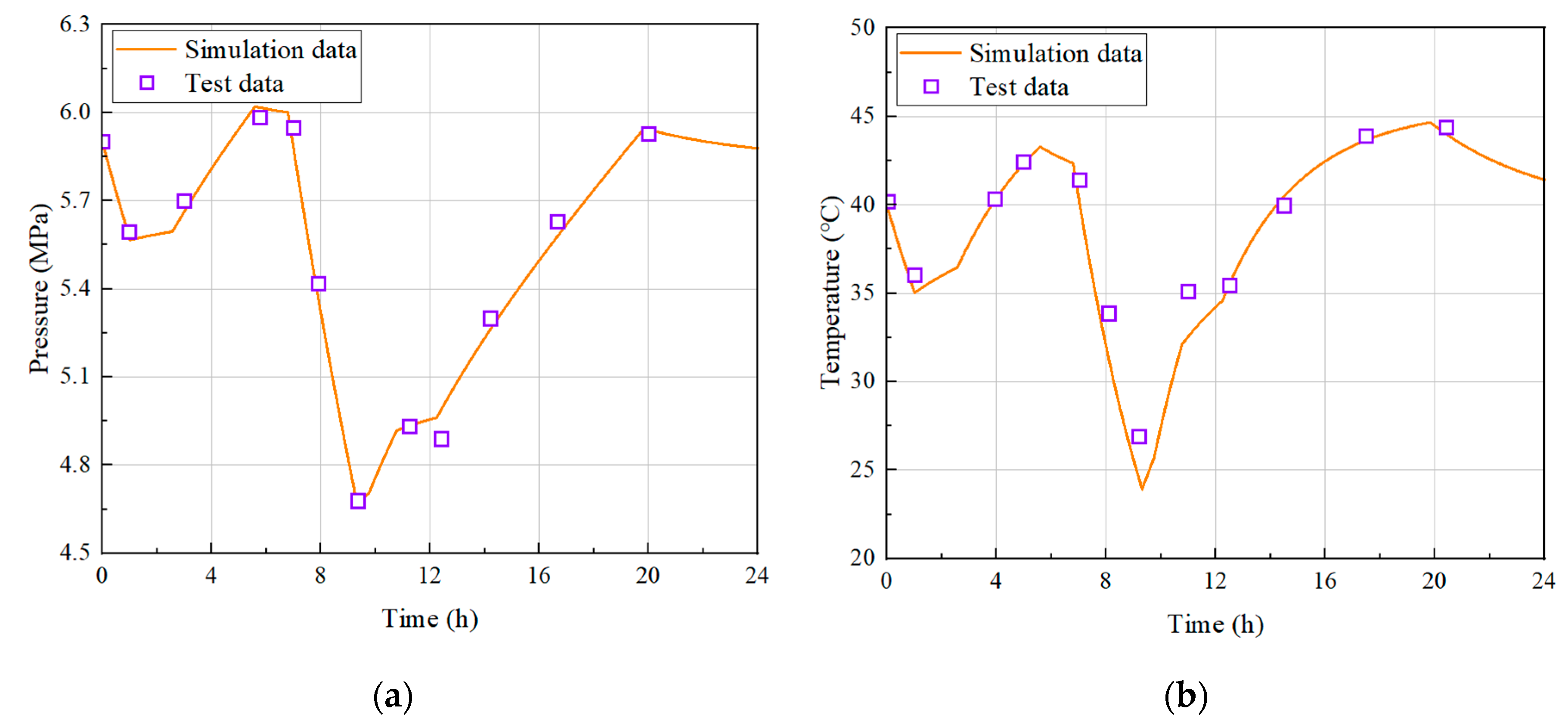
3.2. Validation of Cavern Thermodynamics
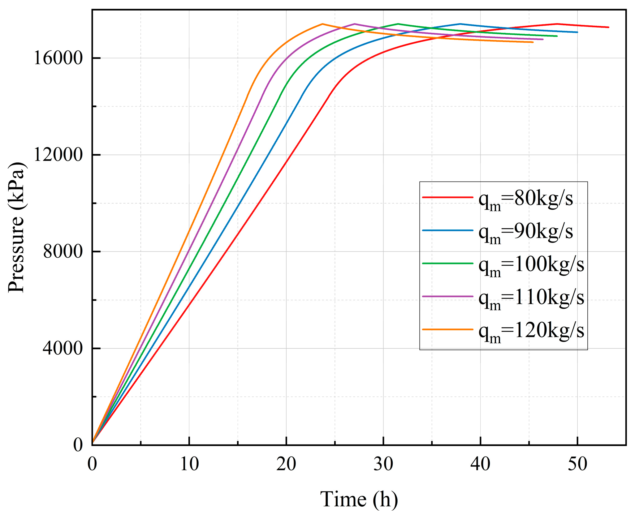
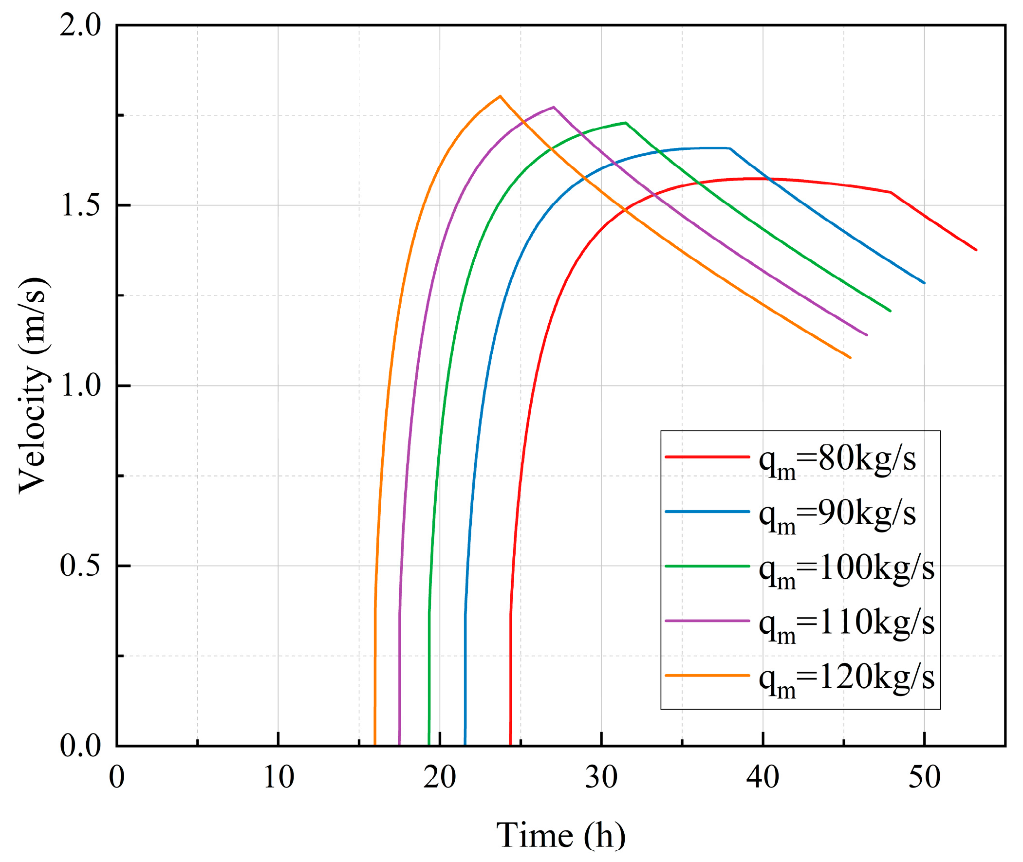
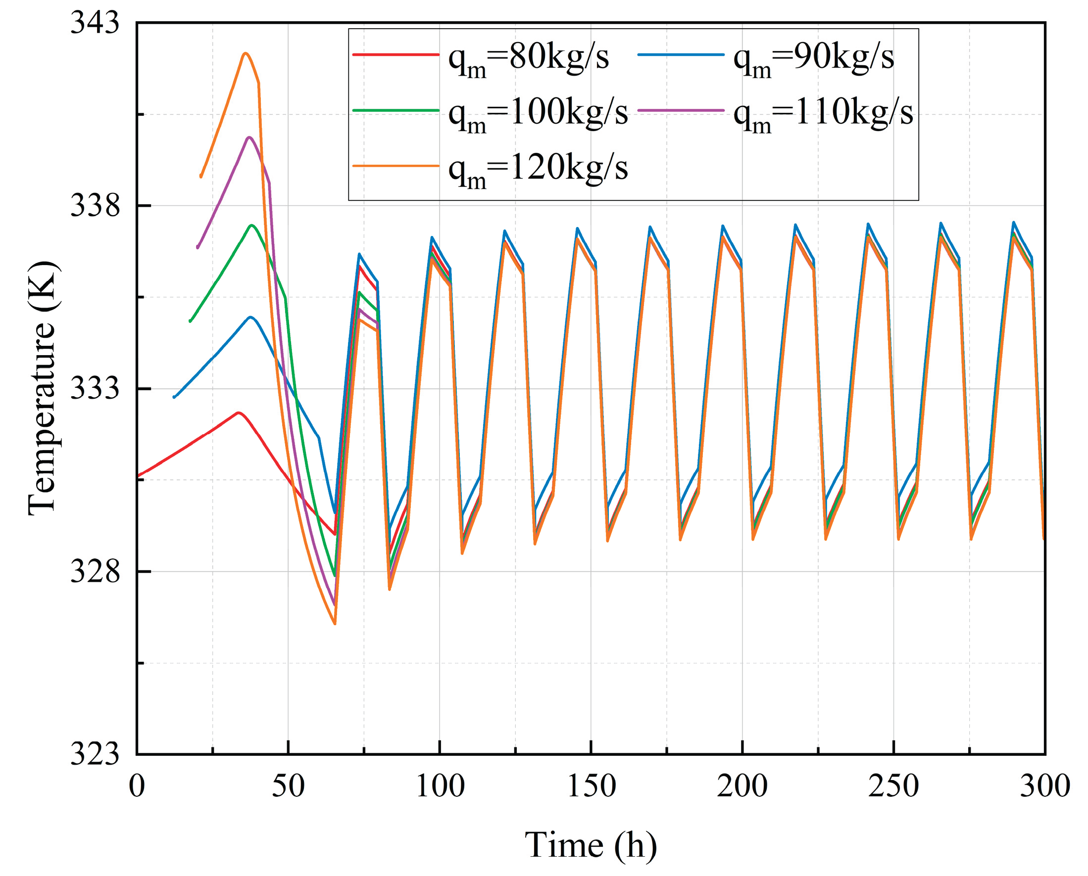
3.3. Influence of the Injection Flow Rates
3.4. Influence of the BDP Cross-Sectional Area
4. Conclusion
Author Contributions
Funding
Acknowledgments
Conflicts of Interest
Abbreviations
| CAES | Compressed air energy storage |
| ACAES | Adiabatic compressed air energy storage |
| BDP | Brine drainage pipeline |
| I/EWP | Injection/extraction well pipeline |
| AIPIS | Air injection and pressure increase stage |
| PIBDS | Pressure increase and brine drainage stage |
| HIBDS | Halt injection and brine drainage stage |
References
- Nabat, M.H.; Habibzadeh, M.; Alsagri, A.S.; Arabkoohsar, A. An investigation and multi-criteria optimization of an innovative compressed air energy storage. Journal of Energy Storage 2024, 76. [Google Scholar] [CrossRef]
- Baniamerian, Z.; Garvey, S.; Rouse, J.; Cárdenas, B.; Pottie, D.L.; Barbour, E.R.; Bagdanavicius, A. How pressure affects costs of power conversion machinery in compressed air energy storage; Part I: Compressors and expanders. Journal of Energy Storage 2024, 89. [Google Scholar] [CrossRef]
- Bazdar, E.; Sameti, M.; Nasiri, F.; Haghighat, F. Compressed air energy storage in integrated energy systems: A review. Renewable and Sustainable Energy Reviews 2022, 167, 112701. [Google Scholar] [CrossRef]
- Courtois, N.; Najafiyazdi, M.; Lotfalian, R.; Boudreault, R.; Picard, M. Analytical expression for the evaluation of multi-stage adiabatic-compressed air energy storage (A-CAES) systems cycle efficiency; 2021; Volume 288.
- Razmi, A.R.; Soltani, M.; Ardehali, A.; Gharali, K.; Dusseault, M.B.; Nathwani, J. Design, thermodynamic, and wind assessments of a compressed air energy storage (CAES) integrated with two adjacent wind farms: A case study at Abhar and Kahak sites, Iran. Energy 2021, 221, 119902. [Google Scholar] [CrossRef]
- Chen, L.; Wang, Y.; Xie, M.; Ye, K.; Mohtaram, S. Energy and exergy analysis of two modified adiabatic compressed air energy storage (A-CAES) system for cogeneration of power and cooling on the base of volatile fluid. Journal of Energy Storage 2021, 42, 103009. [Google Scholar] [CrossRef]
- Dreißigacker, V.; Belik, S. System Configurations and Operational Concepts for Highly Efficient Utilization of Power-to-Heat in A-CAES. Applied Sciences 2019, 9, 1317. [Google Scholar] [CrossRef]
- Bashiri Mousavi, S.; Adib, M.; Soltani, M.; Razmi, A.R.; Nathwani, J. Transient thermodynamic modeling and economic analysis of an adiabatic compressed air energy storage (A-CAES) based on cascade packed bed thermal energy storage with encapsulated phase change materials. Energy Conversion and Management 2021, 243, 114379. [Google Scholar] [CrossRef]
- Sciacovelli, A.; Li, Y.; Chen, H.; Wu, Y.; Wang, J.; Garvey, S.; Ding, Y. Dynamic simulation of Adiabatic Compressed Air Energy Storage (A-CAES) plant with integrated thermal storage – Link between components performance and plant performance. Applied Energy 2017, 185, 16–28. [Google Scholar] [CrossRef]
- Saadat, M.; Shirazi, F.A.; Li, P.Y. Modeling and control of an open accumulator Compressed Air Energy Storage (CAES) system for wind turbines. Applied Energy 2015, 137, 603–616. [Google Scholar] [CrossRef]
- Barbour, E.; Mignard, D.; Ding, Y.; Li, Y. Adiabatic Compressed Air Energy Storage with packed bed thermal energy storage. Applied Energy 2015, 155, 804–815. [Google Scholar] [CrossRef]
- Zhang, Y.; Yang, K.; Li, X.; Xu, J. The thermodynamic effect of thermal energy storage on compressed air energy storage system. Renewable Energy 2013, 50, 227–235. [Google Scholar] [CrossRef]
- Zhang, C.; Yan, B.; Wieberdink, J.; Li, P.Y.; Van de Ven, J.D.; Loth, E.; Simon, T.W. Thermal analysis of a compressor for application to Compressed Air Energy Storage. Applied Thermal Engineering 2014, 73, 1402–1411. [Google Scholar] [CrossRef]
- She, X.; Peng, X.; Nie, B.; Leng, G.; Zhang, X.; Weng, L.; Tong, L.; Zheng, L.; Wang, L.; Ding, Y. Enhancement of round trip efficiency of liquid air energy storage through effective utilization of heat of compression. Applied Energy 2017, 206, 1632–1642. [Google Scholar] [CrossRef]
- Zhao, P.; Gao, L.; Wang, J.; Dai, Y. Energy efficiency analysis and off-design analysis of two different discharge modes for compressed air energy storage system using axial turbines. Renewable Energy 2016, 85, 1164–1177. [Google Scholar] [CrossRef]
- Zhou, S.-W.; Xia, C.-C.; Du, S.-G.; Zhang, P.-Y.; Zhou, Y. An Analytical Solution for Mechanical Responses Induced by Temperature and Air Pressure in a Lined Rock Cavern for Underground Compressed Air Energy Storage; 2015; Volume 48.
- Zhou, S.-W.; Xia, C.-C.; Zhao, H.-B.; Mei, S.-H.; Zhou, Y. Numerical simulation for the coupled thermo-mechanical performance of a lined rock cavern for underground compressed air energy storage. Journal of Geophysics and Engineering 2017, 14, 1382–1398. [Google Scholar] [CrossRef]
- Li, W.; Zhu, C.; Han, J.; Yang, C. Thermodynamic response of gas injection-and-withdrawal process in salt cavern for underground gas storage. Applied Thermal Engineering 2019, 163, 114380. [Google Scholar] [CrossRef]
- Wu, D.; Wang, J.G.; Hu, B.; Yang, S.-Q. A coupled thermo-hydro-mechanical model for evaluating air leakage from an unlined compressed air energy storage cavern. Renewable Energy 2020, 146, 907–920. [Google Scholar] [CrossRef]
- Li, W.; Miao, X.; Yang, C. Failure analysis for gas storage salt cavern by thermo-mechanical modelling considering rock salt creep. Journal of Energy Storage 2020, 32, 102004. [Google Scholar] [CrossRef]
- Han, Y.; Cui, H.; Ma, H.; Chen, J.; Liu, N. Temperature and pressure variations in salt compressed air energy storage (CAES) caverns considering the air flow in the underground wellbore. Journal of Energy Storage 2022, 52, 104846. [Google Scholar] [CrossRef]
- Hagoort; Jacques. Simulation of Production and Injection Performance of Gas Storage Caverns in Salt Formations. Spe Reservoir Engineering 1994, 9, 278–282. [Google Scholar] [CrossRef]
- Ge, X.; Li, Y.; Shi, X.; Chen, X.; Ma, H.; Yang, C.; Shu, C.; Liu, Y. Experimental device for the study of Liquid–Solid coupled flutter instability of salt cavern leaching tubing. Journal of Natural Gas Science and Engineering 2019, 66, 168–179. [Google Scholar] [CrossRef]
- Hafsi, Z. Accurate explicit analytical solution for Colebrook-White equation. Mechanics Research Communications 2021, 111, 103646. [Google Scholar] [CrossRef]
- Wu, H.; Bai, B.; Li, X.; Liu, M.; He, Y. An explicit finite difference model for prediction of wellbore pressure and temperature distribution in CO2 geological sequestration. Greenhouse Gases: Science and Technology 2017, 7, 353–369. [Google Scholar] [CrossRef]
- Hasan, A.R.; Kabir, C.S. Heat Transfer During Two-Phase Flow in Wellbores: Part I—Formation Temperature. In Proceedings of the SPE Annual Technical Conference and Exhibition; 1991. [Google Scholar]
- Crotogino, F.; Mohmeyer, K.-U.; Scharf, R. Huntorf CAES: More than 20 years of successful operation. Orlando, Florida, USA, 2001. [Google Scholar]





















| Parameters | Unit | Value |
| Average cavern radius, r | m | 50 |
| Cavern volume, Vca | m3 | 968800 |
| Height of the cavern, Hca | m | 125 |
| Initial height of the brine, Hmax | m | 120 |
| Terminal height of the brine, Hmin | m | 2.5 |
| Height of the I/EWP, Hwell | m | 1200 |
| Heat transfer coefficient of cavern, hca | W/(m2·K) | 30 |
| Heat transfer coefficient at the gas-liquid interface, hb | W/(m2·K) | 45 |
| Initial air temperature in the cavern, T0 | K | 313.15 |
| Parameters | Unit | Value of Huntorf[27] |
| Average cavern radius, r | m | 20 |
| Cavern volume, Vca | m3 | 141000 |
| Cavern surface area, Aca | m3 | 25000 |
| Heat transfer coefficient of cavern, hca | W/(m2·K) | 30 |
| Initial air temperature in the cavern, T0 | K | 313.15 |
| Initial air pressure in the cavern, P0 | MPa | 5.9 |
| Injection temperature, Tin | K | 323.15 |
| Injection pressure, Pin | MPa | 7.2 |
| Injection mass rate, qmin | kg/s | 50 |
| Withdrawal mass rate, qmout | kg/s | 190 |
Disclaimer/Publisher’s Note: The statements, opinions and data contained in all publications are solely those of the individual author(s) and contributor(s) and not of MDPI and/or the editor(s). MDPI and/or the editor(s) disclaim responsibility for any injury to people or property resulting from any ideas, methods, instructions or products referred to in the content. |
© 2025 by the authors. Licensee MDPI, Basel, Switzerland. This article is an open access article distributed under the terms and conditions of the Creative Commons Attribution (CC BY) license (http://creativecommons.org/licenses/by/4.0/).