Submitted:
21 June 2025
Posted:
23 June 2025
You are already at the latest version
Abstract

Keywords:
1. Introduction
2. Material and Methods
3.1. Ethical Approval
3.2. Sample Population
3.3. Girth Tension and Girth Types
3.4. Kinetics Measurements
3.5. Limb Kinematics
3.6. Experimental Design & Protocol
3.7. Data Analysis and Statistical Analysis
3.7.1. Kinetics Data
3.7.2. Kinematics Data
3. Results
3.1. Kinematics
3.2. Kinetics
4. Discussion
5. Conclusions
Author Contributions
Funding
Institutional Review Board Statement
Data Availability Statement
Conflicts of Interest
Abbreviations
| ROM | Range of Motion |
| A | Anatomical Girth |
| S | Straight Girth |
References
- BOWERS, J.; SLOCOMBE, R. Tensions Used on Girths on Thoroughbred Racehorses. Aust Vet J 2000, 78, 567–569. [Google Scholar] [CrossRef] [PubMed]
- BOWERS, J.R.; SLOCOMBE, R.F. Influence of Girth Strap Tensions on Athletic Performance of Racehorses. Equine Vet J 1999, 31, 52–56. [Google Scholar] [CrossRef] [PubMed]
- BOWERS, J.; SLOCOMBE, R.; SIDES, R.; BAYLY, W.; KINGSTON, J. Interaction of Saddle Girth Construction and Tension on Respiratory Mechanics and Gas Exchange during Supramaximal Treadmill Exercise in Horses. Aust Vet J 2005, 83, 62–67. [Google Scholar] [CrossRef] [PubMed]
- MARLIN, D.J.; SCHROTER, R.C.; CASHMAN, P.M.M.; DEATON, C.M.; POOLE, D.C.; KINDIG, C.A.; McDONOUGH, P.; ERICKSON, H.H. Movements of Thoracic and Abdominal Compartments during Ventilation at Rest and during Exercise. Equine Vet J 2002, 34, 384–390. [Google Scholar] [CrossRef] [PubMed]
- Dyce, K.M.; Sack, W.O.; Wensing, C.J.G. Textbook of Veterinary Anatomy; 4th ed.; 2009;
- BOWERS, J.; SLOCOMBE, R. Comparison of Girth Materials, Girth Tensions and Their Effects on Performance in Racehorses. Aust Vet J 2005, 83, 68–74. [Google Scholar] [CrossRef] [PubMed]
- Wright, S. Girth Tensions and Their Variability While Standing and during Exercise. Comp Exerc Physiol 2010, 7, 141–148. [Google Scholar] [CrossRef]
- Murray, R.; Guire, R.; Fisher, M.; Fairfax, V. Girth Pressure Measurements Reveal High Peak Pressures That Can Be Avoided Using an Alternative Girth Design That Also Results in Increased Limb Protraction and Flexion in the Swing Phase. The Veterinary Journal 2013, 198, 92–97. [Google Scholar] [CrossRef] [PubMed]
- Arifin, W.N.; Zahiruddin, W.M. Sample Size Calculation in Animal Studies Using Resource Equation Approach. Malaysian Journal of Medical Sciences 2017, 24, 101–105. [Google Scholar] [CrossRef]
- Meschan, E.M.; Peham, C.; Schobesberger, H.; Licka, T.F. The Influence of the Width of the Saddle Tree on the Forces and the Pressure Distribution under the Saddle. The Veterinary Journal 2007, 173, 578–584. [Google Scholar] [CrossRef] [PubMed]
- Martin, P.; Cheze, L.; Pourcelot, P.; Desquilbet, L.; Duray, L.; Chateau, H. Effect of the Rider Position during Rising Trot on the Horse׳s Biomechanics (Back and Trunk Kinematics and Pressure under the Saddle). J Biomech 2016, 49, 1027–1033. [Google Scholar] [CrossRef] [PubMed]
- Murray, R.; Guire, R.; Fisher, M.; Fairfax, V. Reducing Peak Pressures Under the Saddle Panel at the Level of the 10th to 13th Thoracic Vertebrae May Be Associated With Improved Gait Features, Even When Saddles Are Fitted to Published Guidelines. J Equine Vet Sci 2017, 54, 60–69. [Google Scholar] [CrossRef]







| Horse | Age (years) | Gender | Breed | Height (cm) |
|---|---|---|---|---|
| 1 | 13 | Gelding | Connemara | 163 |
| 2 | 9 | Mare | Dutch Warmblood | 163 |
| 3 | 10 | Gelding | Irish Sports Horse | 163 |
| 4 | 4 | Gelding | Irish Sports Horse | 160 |
| 5 | 16 | Gelding | Irish Sports Horse | 163 |
| 6 | 10 | Gelding | Irish Cob | 158 |
| Horse | Intervention 1 | Intervention 2 | Intervention 3 | Intervention 4 |
|---|---|---|---|---|
| 1 | A8 | A16 | S16 | S8 |
| 2 | A16 | A8 | S8 | S16 |
| 3 | S16 | S8 | A8 | A16 |
| 4 | A8 | A16 | S16 | S8 |
| 5 | S16 | S8 | A8 | A16 |
| 6 | A8 | A16 | S16 | S8 |
| S8 | S16 | A8 | A16 | Girth Type (S v A) | Girth Tension (8 v 16kg) | Girth Type*Tension | |
|---|---|---|---|---|---|---|---|
| Stride length (m) | 3.07±0.69 2.98 (2.44-3.60) |
3.14±0.69 3.25 (2.48-3.87) |
3.04±0.69 2.97 (2.46-3.46) |
3.13±0.70 2.94 (2.54-3.84) |
F(1,5)=0.602, P=0.473 | F(1,5)=0.953, P=0.374 | F(1,5)=0.071, P=0.800 |
| Forelimb protraction (°) | 20.30±1.62 20 (20-21) |
20.18±1.31 20 (19-21) |
19.54±1.71 19 (18-21) |
20.42±1.66 20 (19-22) |
F(1,5)=0.747, P=0.427 | F(1,5)=1.252, P=0.314 | F(1,5)=3.072, P=0.140 |
| Forelimb retraction (°) | 19.06±2.31 19 (17-19) |
19.23 ± 2.28 19 (18-21) |
20.26 ± 1.70 20 (19-22) |
19.33 ± 1.50 19 (19-20) |
S8 vs A8= z = -1.782, p=0.075 S16 vs A16= t(5)=0.144, P=0.891 |
S8 vs S16= z = 0.314, p=0.753 A8 vs A16= t(5)=2.231, P=0.076 |
NA |
| Shoulder | |||||||
| Flexion (°) | 94.98±6.54 93 (90-98) |
97.61±5.40 98 (94-103) |
96.89±6.27 98 (92-101) |
97.90±6.09 98 (94-103) |
F(1,5)=0.014, P=0.911 | F(1,5)=0.469, P=0.524) | F(1,5)=0.008, P=0.933 |
| Extension (°) | 106.32±9.16 104 (100-109) |
107.83±6.48 106 (104-113) |
106.69±7.79 106 (102-109) |
107.91±7.65 106 (104-116) |
F(1,5)=0.014, P=0.911 | F(1,5)=0.469, P=0.524 | F(1,5)=0.008, P=0.933 |
| ROM (°) | 11.34±7.24 9 (7-12) |
10.21±2.52 10 (8-11) |
9.80±2.90 9 (8-12) |
10.01±2.88 9 (8-11) |
F(1,5)=1.330, P=0.301 | F(1,5)=0.205, P=0.669 | F(1,5)=0.410, P=0.550 |
| Elbow | |||||||
| Flexion (°) | 92.43±5.92 91 (89-94) |
92.78±6.41 92 (89-98) |
92.67±5.15 94 (91-96) |
93.78±6.24 93 (90-99) |
F(1,5)=0.445, P=0.534 | F(1,5)=0.298, P=0.609 | F(1,5)=0.445, P=0.534 |
| Extension (°) | 143.56±6.83 143 (137-148) |
145.77±7.03 145 (139-153) |
144.77±5.78 147 (143-150) |
145.81±7.48 145 (139-153) |
F(1,5)=1.440, P=0.284 | F(1,5)=1.478, P=0.278 | F(1,5)=1.059, P=0.351 |
| ROM (°) | 52.99±4.61 51 (49-53) |
51.12±2.89 53 (51-56) |
53.09±2.77 53 (51-55) |
52.03±3.48 53 (51-54) |
F(1,5)=1.453, P=0.282 | F(1,5)=0.163, P=0.703 | F(1,5)=5.228, P=0.071 |
| Carpus | |||||||
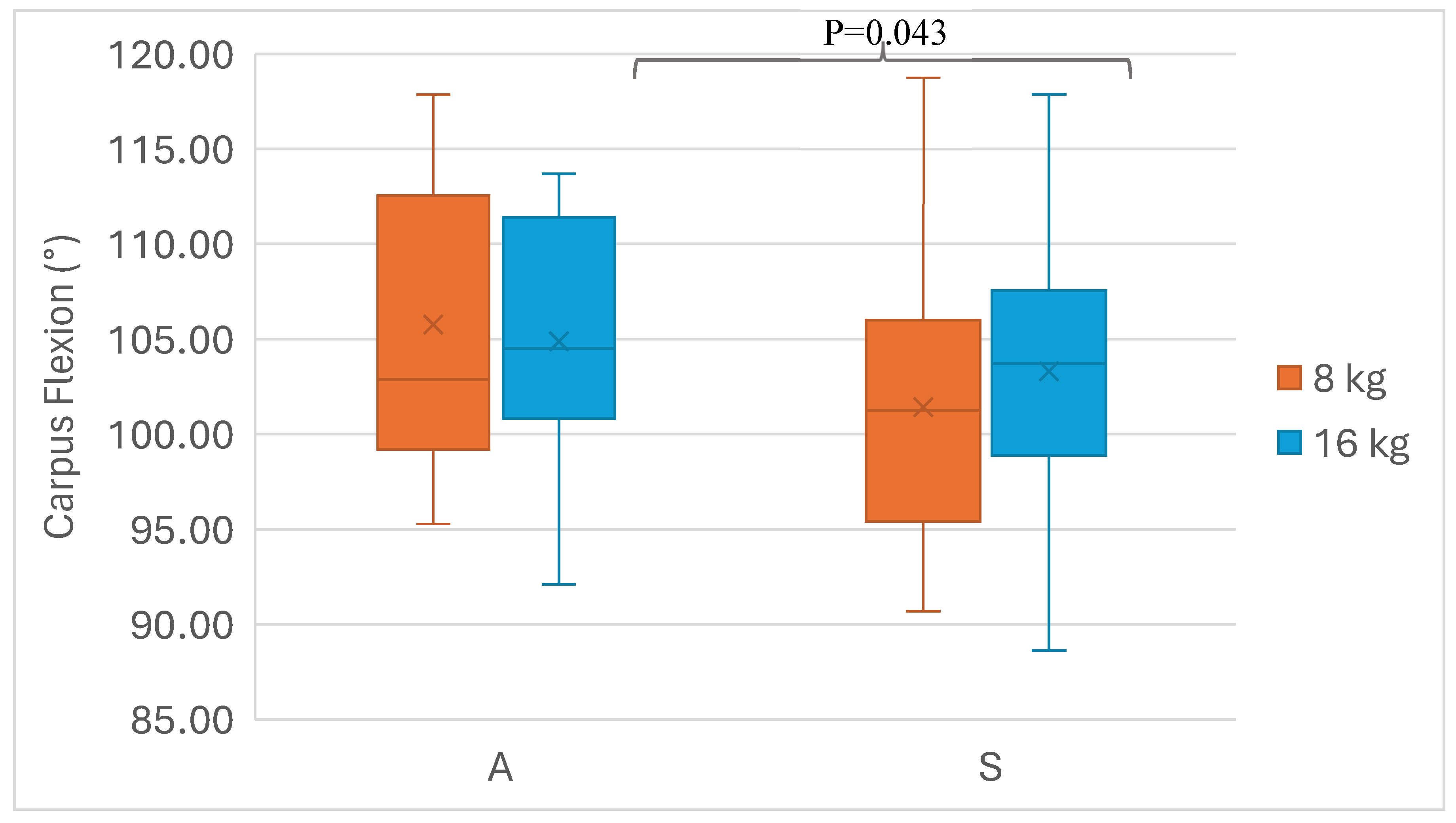
| Flexion (°) | 101.42±7.86 101 (96-106) |
103.31±8.03 104 (99-107) |
105.76±7.61 103 (100-112) |
104.87±6.69 104 (101-111) |
F(1,5)=7.317, P=0.043 | F(1,5)=0.068, P=0.804 | F(1,5)=2.824, P=0.154 |
| Extension (°) | 183.74±2.98 184 (181-185) |
183.22±3.27 183 (181-184) |
183.72±4.82 183 (181-187) |
182.46±4.00 182 (179-184) |
F(1,5)=0.229, P=0.653 | F(1,5)=1.189, P=0.325 | F(1,5)=0.480, P=0.519 |
| ROM (°) | 82.31±7.31 84 (78-88) |
79.91±8.30 82 (75-84) |
77.95±8.04 80 (70-84) |
77.59±8.73 79 (71-84) |
F(1,5)=4.084, P=0.099 | F(1,5)=1.129, P=0.337 | F(1,5)=1.574, P=0.265 |
| Fetlock | |||||||
| Flexion (°) | 148.21±10.37 147 (142-152) |
148.49±10.22 148 (142-152) |
150.78±9.50 151 (143-157) |
151.15±8.75 152 (143-159) |
F(1,5)=2.929, P=0.14 | F(1,5)=0.695, P=0.442 | F(1,5)=0.003, P=0.961 |
| Extension (°) | 236.05±2.96 236 (234-237) |
235.47±4.27 236 (233-238) |
234.27±6.75 237 (233-238) |
234.73±5.66 235 (231-239) |
F(1,5)=0463, P=0.506 | F(1,5)=0.025, P=0.876 | F(1,5)=0.002, P=0.958 |
| ROM (°) | 85.55±9.92 86 (77-92) |
86.99±10.86 87 (82-97) |
83.49±8.12 84 (77-90) |
83.59±10.53 80 (77-94) |
F(1,5)=3.747, P=0.111 | F(1,5)=0.336, P=0.588 | F(1,5)=0.316, P=0.598 |
| S8 | S16 | A8 | A16 | Girth Type (S v A) | Girth Tension (8 v 16kg) | Girth Type*Tension | |
|---|---|---|---|---|---|---|---|
| Mean Pressure (kPa) | |||||||
| Cranial | 16.73 ± 7.22 | 18.80 ± 7.71 | 15.13 ± 4.65 | 20.07 ± 5.35 | F(1.5)= 0.003, P=0.962 | F(1.5)= 10.81, P=0.022 | F(1.5)= 2.38, P=0.184 |
| Caudal | 7.67 ± 2.53 | 8.33 ± 7.71 | 8.12 ± 2.58 | 8.50 ± 2.57 | F(1.5)= 1.047, P=0.353 | F(1.5)= 0.774, P=0.428 | F(1.5)=401, P=0.554 |
| Cranial vs Caudal | t(5) = 3.260, P=0.023 | t(5) = 3.053, P=0.028 | t(5) = 3.055, P=0.028 | t(5) = 4.647, P=0.006 | |||
| Peak Pressure (kPa) | |||||||
| Cranial | 35.15 ± 10.54 | 37.43 ± 9.76 | 33.08 ± 2.28 | 38.80 ± 9.75 | F(1.5)= 0.005, P=0.947 | F(1.5)= 2.33, P=0.187 | F(1.5)= 0.83, P=0.404 |
| Caudal | 30.77 ± 10.8 | 29.18 ± 7.35 | 32.83 ± 12.23 | 31.20 ± 9.64 | F(1.5)= 1.76, P=0.242 | F(1.5)= 0.886, P=0.390 | F(1.5)= 0.002, P=0.964 |
| Cranial vs Caudal | t(5) = 0.886, P=0.415 | t(5) = 1.99, P=0.103 | t(5) = 0.048, P=0.963 | t(5) = 1.80, P=0.131 | |||
| Mean Force (N) | |||||||
| Cranial | 519.07 ± 233.29 | 575.33 ± 255.45 | 447.92 ± 210.22 | 581.92 ± 255.31 | F(1.5)= 0.193, P=0.679 | F(1.5)= 9.43, P=0.028 | F(1.5)= 3.05, P=0.141 |
| Caudal | 146.12 ± 47.30 | 148.32 ± 43.67 | 152.23 ± 45.76 | 147.23 ± 55.29 | F(1.5)= 0.090, P=0.776 | F(1.5)= 0.031, P=0.868 | F(1.5)= 0.298, P=0.609 |
| Cranial vs Caudal | t(5) = 4.532, P=0.006 | t(5) = 4.437, P=0.007 | t(5) = 4.011, P=0.010 | t(5) = 4.654, P=0.006 | |||
Disclaimer/Publisher’s Note: The statements, opinions and data contained in all publications are solely those of the individual author(s) and contributor(s) and not of MDPI and/or the editor(s). MDPI and/or the editor(s) disclaim responsibility for any injury to people or property resulting from any ideas, methods, instructions or products referred to in the content. |
© 2025 by the authors. Licensee MDPI, Basel, Switzerland. This article is an open access article distributed under the terms and conditions of the Creative Commons Attribution (CC BY) license (http://creativecommons.org/licenses/by/4.0/).