Submitted:
16 June 2025
Posted:
17 June 2025
You are already at the latest version
Abstract
Keywords:
1. Introduction
2. Materials and Methods
2.1. Experimental Monkeys
2.2. Venous Catheterization
2.3. Cerebrospinal Fluid (CSF) Collection
2.4. Hormonal Analysis
2.5. Hypothalamus Tissue Collection:
2.6. Tissue Fixation Procedure
2.7. Testicular Tissue Collection
2.8. Total RNA Extraction and Real Time qPCR
2.9. Flourescence Immunocytochemistry:
2.10. Confocal Microscopy
2.11. Statistical Analyses:
3. Results
3.1. Season Affected the Kisspeptin, Testosterone Concentrations and Paired Testes Weight in Rhesus Macaques
3.2. Season Affected the Expression of Studied Genes
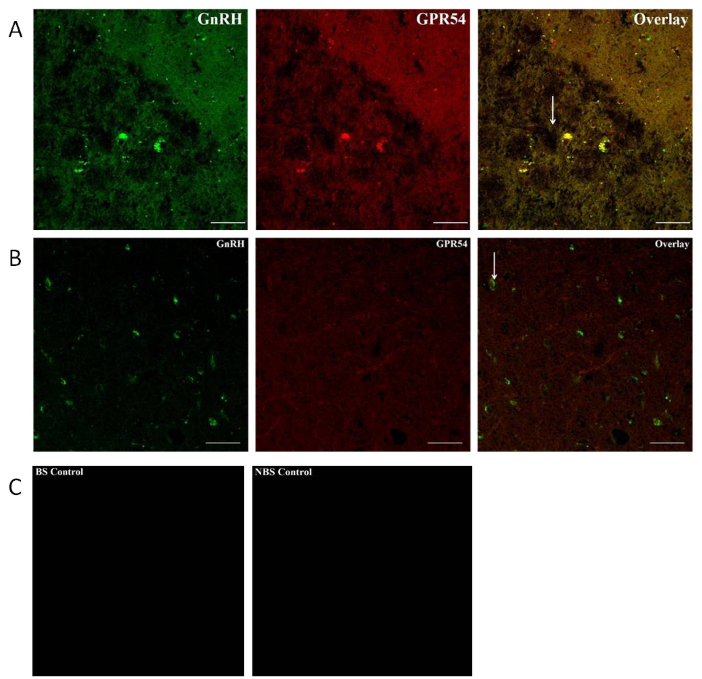
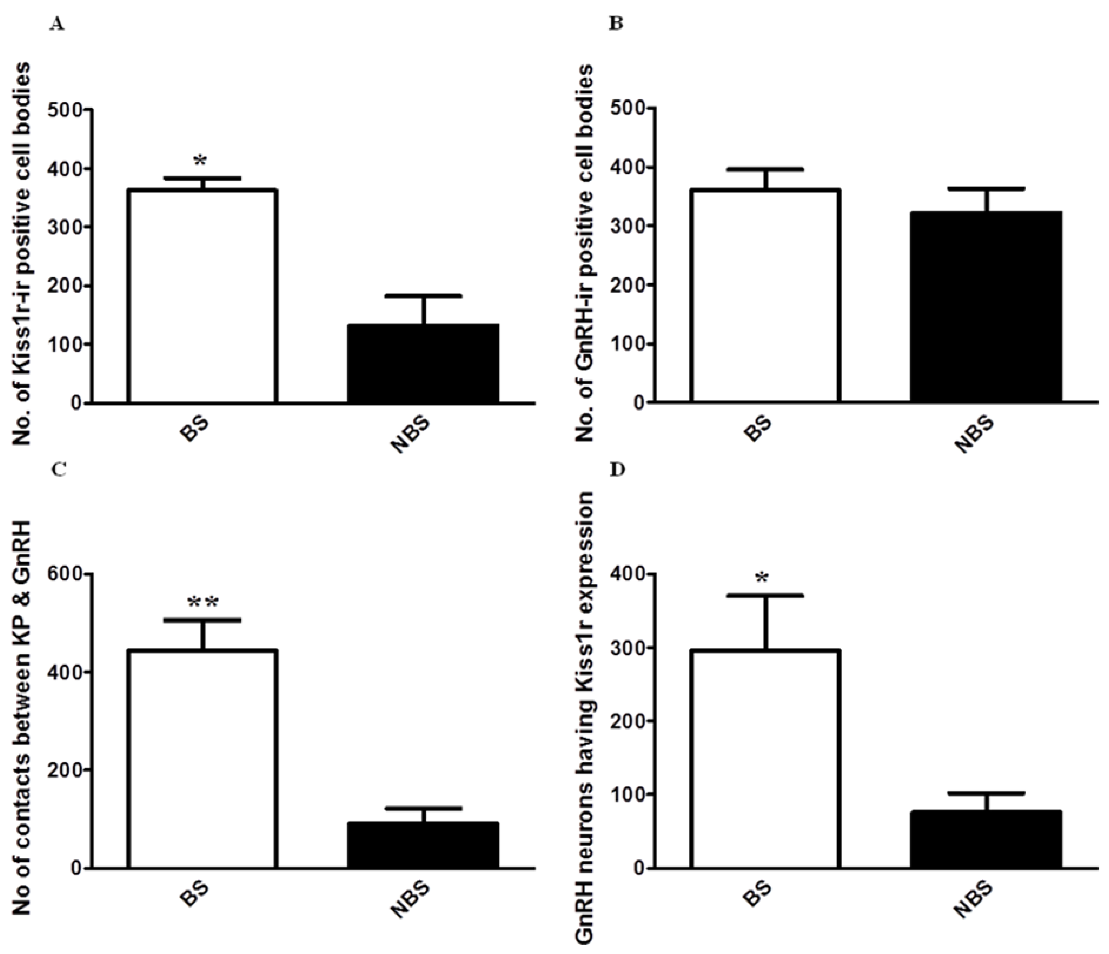
3.3. Season Affected the Immunocytochemical Expression of KISS1R
4. Discussion
Authors Contribution
Statement of Ethics
Acknowledgments
Conflicts of Interest
References
- Abbara, A.; Ratnasabapathy, R.; Jayasena, C.N.; Dhillo, W.S. The effects of kisspeptin on gonadotropin release in non-human mammals. Adv Exp Med Biol 2013, 784, 63–87. [Google Scholar] [PubMed]
- Ansel, L.; Bentsen, A.H.; Ancel, C.; Bolborea, M.; Klosen, P.; Mikkelsen, J.D.; Simonneaux, V. Peripheral kisspeptin reverses short photoperiod-induced gonadal regression in Syrian hamsters by promoting GNRH release. Reproduction 2011, 142, 417–425. [Google Scholar] [CrossRef] [PubMed]
- Arendt, J. Melatonin in humans: it's about time. J Neuroendocrinol 2005, 17, 537–538. [Google Scholar] [CrossRef] [PubMed]
- Arendt, J. Melatonin: characteristics, concerns, and prospects. J Biol Rhythms 2005, 20, 291–303. [Google Scholar] [CrossRef]
- Backholer, K.; Smith, J.; Clarke, I.J. Melanocortins may stimulate reproduction by activating orexin neurons in the dorsomedial hypothalamus and kisspeptin neurons in the preoptic area of the ewe. Endocrinology 2009, 150, 5488–5497. [Google Scholar] [CrossRef]
- Bansode, F.W.; Chowdhury, S.R.; Dhar, J.D. Seasonal changes in the seminiferous epithelium of rhesus and bonnet monkeys. J Med Primatol 2003, 32, 170–177. [Google Scholar] [CrossRef]
- Caraty, A.; Smith, J.T.; Lomet, D.; Said, S.B.; Morrissey, A.; Cognie, J.; Doughton, B.; Baril, G.; Briant, C.; Clarke, I.J. Kisspeptin synchronizes preovulatory surges in cyclical ewes and causes ovulation in seasonally acyclic ewes. Endocrinology 2007, 148, 5258–5267. [Google Scholar] [CrossRef]
- Challet, E. [Clock genes, circadian rhythms and food intake]. Pathol Biol (Paris) 2007, 55, 176–177. [Google Scholar] [CrossRef]
- Challet, E. Minireview: Entrainment of the suprachiasmatic clockwork in diurnal and nocturnal mammals. Endocrinology 2007, 148, 5648–5655. [Google Scholar] [CrossRef]
- Chemineau, P.; Bodin, L.; Migaud, M.; Thiery, J.C.; Malpaux, B. Neuroendocrine and genetic control of seasonal reproduction in sheep and goats. Reprod Domest Anim 2010, 45, 42–49. [Google Scholar] [CrossRef]
- Ciaramella, V.; Della Corte, C.M.; Ciardiello, F.; Morgillo, F. Kisspeptin and Cancer: Molecular Interaction, Biological Functions, and Future Perspectives. Front Endocrinol (Lausanne) 2018, 9, 115. [Google Scholar] [CrossRef] [PubMed]
- Clarke, I. J. Control of GnRH secretion: one step back. Front Neuroendocrinol 2011, 32, 367–375. [Google Scholar] [CrossRef]
- Clarke, I. J. Interface between metabolic balance and reproduction in ruminants: focus on the hypothalamus and pituitary. Horm Behav 2014, 66, 15–40. [Google Scholar] [CrossRef] [PubMed]
- Clarke, I.J.; Arbabi, L. New concepts of the central control of reproduction, integrating influence of stress, metabolic state, and season. Domest Anim Endocrinol 2016, 56, S165–179. [Google Scholar] [CrossRef] [PubMed]
- Clarke, I.J.; Caraty, A. Kisspeptin and seasonality of reproduction. Adv Exp Med Biol 2013, 784, 411–430. [Google Scholar]
- Clarke, I.J.; Smith, J.T. The role of kisspeptin and gonadotropin inhibitory hormone (GnIH) in the seasonality of reproduction in sheep. Soc Reprod Fertil Suppl 2010, 67, 159–169. [Google Scholar] [CrossRef]
- Clarke, I.J.; Smith, J.T.; Caraty, A.; Goodman, R.L.; Lehman, M.N. Kisspeptin and seasonality in sheep. Peptides 2009, 30, 154–163. [Google Scholar] [CrossRef]
- de Roux, N.; Genin, E.; Carel, J.C.; Matsuda, F.; Chaussain, J.L.; Milgrom, E. Hypogonadotropic hypogonadism due to loss of function of the KiSS1-derived peptide receptor GPR54. Proc Natl Acad Sci U S A 2003, 100, 10972–10976. [Google Scholar] [CrossRef]
- Franssen, D.; Tena-Sempere, M. The kisspeptin receptor: A key G-protein-coupled receptor in the control of the reproductive axis. Best Pract Res Clin Endocrinol Metab 2018, 32, 107–123. [Google Scholar] [CrossRef]
- Greives, T. J., L. J. Kriegsfeld and G. E. Demas. Exogenous kisspeptin does not alter photoperiod-induced gonadal regression in Siberian hamsters (Phodopus sungorus). Gen Comp Endocrinol 2008, 156, 552–558. [Google Scholar] [CrossRef]
- Greives, T. J., A. O. Mason, M. A. Scotti, J. Levine, E. D. Ketterson, L. J. Kriegsfeld and G. E. Demas. Environmental control of kisspeptin: implications for seasonal reproduction. Endocrinology 2007, 148, 1158–1166. [Google Scholar] [CrossRef] [PubMed]
- Higashi, Y., J. Takahashi, K. Yoshida, S. J. Winters, H. Oshima and P. Troen. Seasonal changes in steroidogenesis in the testis of the rhesus monkey (Macaca mulatta). J Androl 1984, 5, 70–79. [Google Scholar] [CrossRef] [PubMed]
- Lehman, M. N., Z. Ladha, L. M. Coolen, S. M. Hileman, J. M. Connors and R. L. Goodman. Neuronal plasticity and seasonal reproduction in sheep. Eur J Neurosci 2010, 32, 2152–2164. [Google Scholar] [CrossRef] [PubMed]
- Li, Q., A. Roa, I. J. Clarke and J. T. Smith. Seasonal variation in the gonadotropin-releasing hormone response to kisspeptin in sheep: possible kisspeptin regulation of the kisspeptin receptor. Neuroendocrinology 2012, 96, 212–221. [Google Scholar] [CrossRef]
- Lincoln, G. A., H. Andersson and I. J. Clarke. Prolactin cycles in sheep under constant photoperiod: evidence that photorefractoriness develops within the pituitary gland independently of the prolactin output signal. Biol Reprod 2003, 69, 1416–1423. [Google Scholar] [CrossRef]
- Lincoln, G.A.; Andersson, H.; Hazlerigg, D. Clock genes and the long-term regulation of prolactin secretion: evidence for a photoperiod/circannual timer in the pars tuberalis. J Neuroendocrinol 2003, 15, 390–397. [Google Scholar] [CrossRef]
- Malpaux, B.; Daveau, A.; Maurice-Mandon, F.; Duarte, G.; Chemineau, P. Evidence that melatonin acts in the premammillary hypothalamic area to control reproduction in the ewe: presence of binding sites and stimulation of luteinizing hormone secretion by in situ microimplant delivery. Endocrinology 1998, 139, 1508–1516. [Google Scholar] [CrossRef]
- Malpaux, B.; Migaud, M.; Tricoire, H.; Chemineau, P. Biology of mammalian photoperiodism and the critical role of the pineal gland and melatonin. J Biol Rhythms 2001, 16, 336–347. [Google Scholar] [CrossRef]
- Mason, A.O.; Greives, T.J.; Scotti, M.A.; Levine, J.; Frommeyer, S.; Ketterson, E.D.; Demas, G.E.; Kriegsfeld, L.J. Suppression of kisspeptin expression and gonadotropic axis sensitivity following exposure to inhibitory day lengths in female Siberian hamsters. Horm Behav 2007, 52, 492–498. [Google Scholar] [CrossRef]
- Nakane, Y.; Yoshimura, T. Photoperiodic Regulation of Reproduction in Vertebrates. Annu Rev Anim Biosci 2019, 7, 173–194. [Google Scholar] [CrossRef]
- Nishiwaki-Ohkawa, T.; Yoshimura, T. Molecular basis for regulating seasonal reproduction in vertebrates. J Endocrinol 2016, 229, R117–127. [Google Scholar] [CrossRef] [PubMed]
- Reppert, S.M.; Perlow, M.J.; Tamarkin, L.; Orloff, D.; Klein, D.C. The effects of environmental lighting on the daily melatonin rhythm in primate cerebrospinal fluid. Brain Res 1981, 223, 313–323. [Google Scholar] [CrossRef] [PubMed]
- Reppert, S.M.; Perlow, M.J.; Ungerleider, L.G.; Mishkin, M.; Tamarkin, L.; Orloff, D.G.; Hoffman, H.J.; Klein, D.C. Effects of damage to the suprachiasmatic area of the anterior hypothalamus on the daily melatonin and cortisol rhythms in the rhesus monkey. J Neurosci 1981, 1, 1414–1425. [Google Scholar] [CrossRef]
- Reppert, S.M.; Weaver, D.R. Coordination of circadian timing in mammals. Nature 2002, 418, 935–941. [Google Scholar] [CrossRef]
- Revel, F.G.; Ansel, L.; Klosen, P.; Saboureau, M.; Pevet, P.; Mikkelsen, J.D.; Simonneaux, V. Kisspeptin: a key link to seasonal breeding. Rev Endocr Metab Disord 2007, 8, 57–65. [Google Scholar] [CrossRef]
- Revel, F.G.; Saboureau, M.; Masson-Pevet, M.; Pevet, P.; Mikkelsen, J.D.; Simonneaux, V. Kisspeptin mediates the photoperiodic control of reproduction in hamsters. Curr Biol 2006, 16, 1730–1735. [Google Scholar] [CrossRef]
- Seminara, S.B.; Messager, S.; Chatzidaki, E.E.; Thresher, R.R.; Acierno, J.S., Jr. .; Shagoury, J.K.; Bo-Abbas, Y.; Kuohung, W.; Schwinof, K.M.; Hendrick, A.G.; Zahn, D.; Dixon, J.; Kaiser, U.B.; Slaugenhaupt, S.A.; Gusella, J.F.; S. O'Rahilly; Carlton, M.B.; Crowley, W.F., Jr..; Aparicio, S.A.; Colledge, W.H. The GPR54 gene as a regulator of puberty. N Engl J Med 2003, 349, 1614-1627.
- Smith, J. T. Kisspeptin signalling in the brain: steroid regulation in the rodent and ewe. Brain Res Rev 2008, 57, 288–298. [Google Scholar] [CrossRef]
- Smith, J. T. The role of kisspeptin and gonadotropin inhibitory hormone in the seasonal regulation of reproduction in sheep. Domest Anim Endocrinol 2012, 43, 75–84. [Google Scholar] [CrossRef]
- Smith, J.T.; Clay, C.M.; Caraty, A.; Clarke, I.J. KiSS-1 messenger ribonucleic acid expression in the hypothalamus of the ewe is regulated by sex steroids and season. Endocrinology 2007, 148, 1150–1157. [Google Scholar] [CrossRef]
- Smith, J.T.; Coolen, L.M.; Kriegsfeld, L.J.; Sari, I.P.; Jaafarzadehshirazi, M.R.; Maltby, M.; Bateman, K.; Goodman, R.L.; Tilbrook, A.J.; Ubuka, T.; Bentley, G.E.; Clarke, I.J.; Lehman, M.N. Variation in kisspeptin and RFamide-related peptide (RFRP) expression and terminal connections to gonadotropin-releasing hormone neurons in the brain: a novel medium for seasonal breeding in the sheep. Endocrinology 2008, 149, 5770–5782. [Google Scholar] [CrossRef]
- Wahab, F.; Atika, B.; Shahab, M. Kisspeptin as a link between metabolism and reproduction: evidences from rodent and primate studies. Metabolism 2013, 62, 898–910. [Google Scholar] [CrossRef] [PubMed]
- Wahab, F.; Atika, B.; Shahab, M.; Behr, R. Kisspeptin signalling in the physiology and pathophysiology of the urogenital system. Nat Rev Urol 2016, 13, 21–32. [Google Scholar] [CrossRef] [PubMed]
- Wahab, F.; Drummer, C.; Matz-Rensing, K.; Fuchs, E.; Behr, R. Irisin is expressed by undifferentiated spermatogonia and modulates gene expression in organotypic primate testis cultures. Mol Cell Endocrinol 2020, 504, 110670. [Google Scholar] [CrossRef] [PubMed]
- Wahab, F.; Shahab, M.; Behr, R. The involvement of gonadotropin inhibitory hormone and kisspeptin in the metabolic regulation of reproduction. J Endocrinol 2015, 225, R49–66. [Google Scholar] [CrossRef]
- Zheng, P.; Si, W.; Wang, H.; Zou, R.; Bavister, B.D.; Ji, W. Effect of age and breeding season on the developmental capacity of oocytes from unstimulated and follicle-stimulating hormone-stimulated rhesus monkeys. Biol Reprod 2001, 64, 1417–1421. [Google Scholar] [CrossRef]











| Serial No | Gene | Accession Number | Forward Primer 5’-3’ |
Reverse Primer 5’-3’ |
Product Size (bp) |
|---|---|---|---|---|---|
| 1 | KISS1 | XM_001098284.2 | ACCGAGAGGAAGCCGTCTGCTA | AGTTGTAGTTCGGCAGGTCCTTCT | 181 |
| 2 | KISS1R | XM_001117198.1 | CTCGCTGGTCATCTACGTCA | CGAACTTGCACATGAAATCG | 173 |
| 3 | GnRH | NM_001195436.1 | CGGCTGGAGGAAAGAGAGATGCCG | GCCAGTTGACCAACCTCTTTGA | 76 |
Disclaimer/Publisher’s Note: The statements, opinions and data contained in all publications are solely those of the individual author(s) and contributor(s) and not of MDPI and/or the editor(s). MDPI and/or the editor(s) disclaim responsibility for any injury to people or property resulting from any ideas, methods, instructions or products referred to in the content. |
© 2025 by the authors. Licensee MDPI, Basel, Switzerland. This article is an open access article distributed under the terms and conditions of the Creative Commons Attribution (CC BY) license (http://creativecommons.org/licenses/by/4.0/).