Submitted:
13 June 2025
Posted:
16 June 2025
You are already at the latest version
Abstract
Keywords:
1. Introduction
2. Materials and Methods
2.1. Study Cohort Description and Collection of Clinical Data and Stool Samples
2.2. Measurement of the Intestinal Barrier State Biomarker Concentration
2.3. Purification of Ig-Bound Stool Microbiota Fraction
2.4. Metagenomic DNA Extraction and Sequencing of the V3-V4 Regions in the 16S rRNA Gene
2.5. Statistical Analysis
3. Results
3.1. Intestinal Barrier State Biomarkers
3.1.1. A High Baseline Concentration of Fecal SIgA Is Associated with Response and Clinical Benefit from the Anti-PD-1 Therapy
3.1.2. Elevated Levels of Intestinal Barrier State Biomarkers in Advanced Melanoma Patients
3.1.3. Mutual Correlations Between Intestinal Barrier State Biomarkers and Total Stool Microbiota Composition
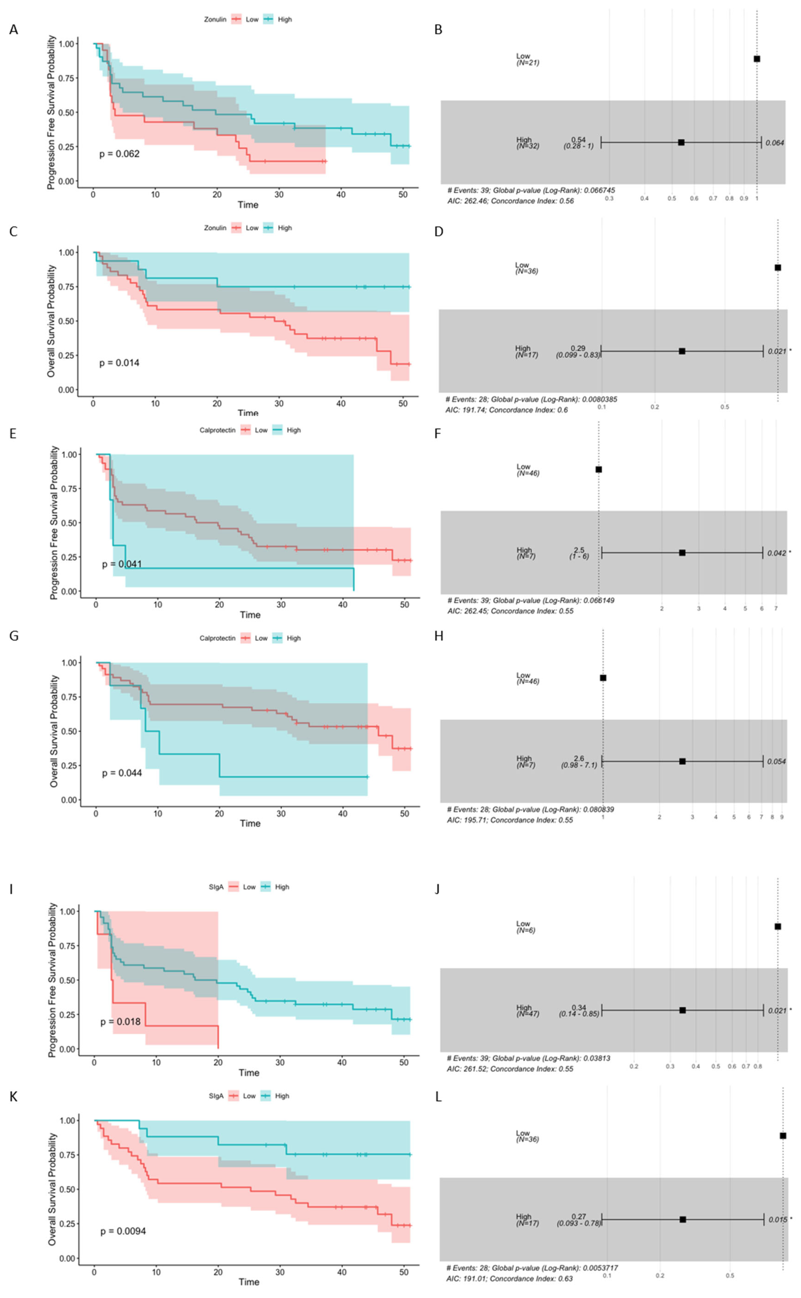
3.1.4. Baseline Levels of Intestinal Barrier State Biomarkers Are Associated with the Survival Outcomes
3.2. The Ig-Bound Stool Microbiota Fraction
3.2.1. The Dominance of Bacillota phylum in the Ig-Bound Stool Microbiota and Changes in the Taxonomic Profile at the Phylum Level over the Study Period
3.2.2. Differences in the Ig-Bound Stool Microbiota Signatures Between Patients with Favorable and Unfavorable Clinical Outcomes at Baseline (at T0) and During the Anti-PD-1 Therapy (at T1 and Tn)
3.2.3. Changes in the Ig-Bound Stool Microbiota Signatures During the Anti-PD-1 Therapy in Patients with Favorable and Unfavorable Clinical Outcomes (T0 vs. T1, T0 vs. Tn, and T1 vs. Tn)
3.2.4. The Comparison Between the Ig-Bound and Total Stool Microbiota Composition
4. Discussion
5. Conclusions
Supplementary Materials
Author Contributions
Funding
References
- Liu X, Chen Y, Zhang S, Dong L. Gut microbiota-mediated immunomodulation in tumor. Journal of Experimental & Clinical Cancer Research. 2021;40: 221. [CrossRef]
- McCulloch JA, Davar D, Rodrigues RR, Badger JH, Fang JR, Cole AM, et al. Intestinal microbiota signatures of clinical response and immune-related adverse events in melanoma patients treated with anti-PD-1. Nat Med. 2022;28: 545–556. [CrossRef]
- Pietrzak B, Tomela K, Olejnik-Schmidt A, Galus Ł, Mackiewicz J, Kaczmarek M, et al. A Clinical Outcome of the Anti-PD-1 Therapy of Melanoma in Polish Patients Is Mediated by Population-Specific Gut Microbiome Composition. Cancers. 2022;14: 5369. [CrossRef]
- Björk JR, Bolte LA, Maltez Thomas A, Lee KA, Rossi N, Wind TT, et al. Longitudinal gut microbiome changes in immune checkpoint blockade-treated advanced melanoma. Nat Med. 2024; 1–12. [CrossRef]
- Gunjur A, Shao Y, Rozday T, Klein O, Mu A, Haak BW, et al. A gut microbial signature for combination immune checkpoint blockade across cancer types. Nat Med. 2024; 1–13. [CrossRef]
- Li W, Deng Y, Chu Q, Zhang P. Gut microbiome and cancer immunotherapy. Cancer Letters. 2019;447: 41–47. [CrossRef]
- Thursby E, Juge N. Introduction to the human gut microbiota. Biochem J. 2017;474: 1823–1836. [CrossRef]
- Ouaknine Krief J, Helly de Tauriers P, Dumenil C, Neveux N, Dumoulin J, Giraud V, et al. Role of antibiotic use, plasma citrulline and blood microbiome in advanced non-small cell lung cancer patients treated with nivolumab. J Immunother Cancer. 2019;7: 176. [CrossRef]
- Jendraszak M, Gałęcka M, Kotwicka M, Schwiertz A, Regdos A, Pazgrat-Patan M, et al. Impact of Biometric Patient Data, Probiotic Supplementation, and Selected Gut Microorganisms on Calprotectin, Zonulin, and sIgA Concentrations in the Stool of Adults Aged 18–74 Years. Biomolecules. 2022;12: 1781. [CrossRef]
- Fasano, A. All disease begins in the (leaky) gut: role of zonulin-mediated gut permeability in the pathogenesis of some chronic inflammatory diseases. F1000Res. 2020;9: F1000 Faculty Rev-69. [CrossRef]
- Sturgeon C, Fasano A. Zonulin, a regulator of epithelial and endothelial barrier functions, and its involvement in chronic inflammatory diseases. Tissue Barriers. 2016;4: e1251384. [CrossRef]
- Jukic A, Bakiri L, Wagner EF, Tilg H, Adolph TE. Calprotectin: from biomarker to biological function. Gut. 2021;70: 1978–1988. [CrossRef]
- León ED, Francino MP. Roles of Secretory Immunoglobulin A in Host-Microbiota Interactions in the Gut Ecosystem. Frontiers in Microbiology. 2022;13. Available: https://www.frontiersin.org/articles/10.3389/fmicb.2022.880484.
- Pietrzak B, Tomela K, Olejnik-Schmidt A, Mackiewicz A, Schmidt M. Secretory IgA in Intestinal Mucosal Secretions as an Adaptive Barrier against Microbial Cells. Int J Mol Sci. 2020;21: 9254. [CrossRef]
- Smeekens JM, Johnson-Weaver BT, Hinton AL, Azcarate-Peril MA, Moran TP, Immormino RM, et al. Fecal IgA, Antigen Absorption, and Gut Microbiome Composition Are Associated With Food Antigen Sensitization in Genetically Susceptible Mice. Frontiers in Immunology. 2021;11. Available: https://www.frontiersin.org/articles/10.3389/fimmu.2020.599637.
- IDK® sIgA ELISA manual. Available: https://www.immundiagnostik.com/media/pages/portfolio/testkits/k-8870/1d2221d6f2-1716973072/k8870_2022-02-11_siga.pdf.
- IDK® Calprotectin ELISA manual. Available: https://www.immundiagnostik.com/media/pages/portfolio/testkits/k-6927/6559e3eb39-1722607637/k6927_2024-08-01_idk_calprotectin_stuhl_1h.pdf.
- IDK® Zonulin ELISA. Available: https://www.immundiagnostik.com/media/pages/portfolio/testkits/k-5600/14bda1a046-1716973056/k5600_2023-07-25_idk-zonulin-elisa.pdf.
- Szmulski Ł. Obwieszczenie Nr 65 Ministra Zdrowia z Dnia 30 Sierpnia 2019 r. w Sprawie Wykazu Refundowanych Leków, Środków Spożywczych Specjalnego Przeznaczenia Żywieniowego Oraz Wyrobów Medycznych. Off. J. Minist. Health-Pol. 2019, 65, 906–913.
- Dore J, Ehrlich SD, Levenez F, Pelletier E, Alberti A, Bertand L. IHMS_SOP 05 V1: Standard operating procedure for fecal samples preserved in stabilizing solution self-collection, laboratory analysis handled within 24 hours to 7 days (24 hours<x≤ 7 days). Int. Hum. Microbiome Stand.; 2015.
- Madhwani T, McBain AJ. The Application of Magnetic Bead Selection to Investigate Interactions between the Oral Microbiota and Salivary Immunoglobulins. PLOS ONE. 2016;11: e0158288. [CrossRef]
- Klindworth A, Pruesse E, Schweer T, Peplies J, Quast C, Horn M, et al. Evaluation of general 16S ribosomal RNA gene PCR primers for classical and next-generation sequencing-based diversity studies. Nucleic Acids Research. 2013;41: e1. [CrossRef]
- Schmidt, M. DADA2 formatted Silva SSU taxonomic training data (Silva version 138.1) with emended description of the genus Lactobacillus Beijerinck 1901. Zenodo; 2023. [CrossRef]
- Houtman TA, Eckermann HA, Smidt H, de Weerth C. Gut microbiota and BMI throughout childhood: the role of firmicutes, bacteroidetes, and short-chain fatty acid producers. Sci Rep. 2022;12: 3140. [CrossRef]
- Lozupone CA, Hamady M, Kelley ST, Knight R. Quantitative and Qualitative β Diversity Measures Lead to Different Insights into Factors That Structure Microbial Communities. Applied and Environmental Microbiology. 2007;73: 1576–1585. [CrossRef]
- Drymel B, Tomela K, Galus Ł, Olejnik-Schmidt A, Mackiewicz J, Kaczmarek M, et al. Circulating Cell-Free Microbial DNA Signatures and Plasma Soluble CD14 Level Are Associated with Clinical Outcomes of Anti-PD-1 Therapy in Advanced Melanoma Patients. International Journal of Molecular Sciences. 2024;25: 12982. [CrossRef]
- McKenzie AT, Katsyv I, Song W-M, Wang M, Zhang B. DGCA: A comprehensive R package for Differential Gene Correlation Analysis. BMC Systems Biology. 2016;10: 106. [CrossRef]
- Legendre P, Gallagher ED. Ecologically meaningful transformations for ordination of species data. Oecologia. 2001;129: 271–280. [CrossRef]
- Yerke A, Fry Brumit D, Fodor AA. Proportion-based normalizations outperform compositional data transformations in machine learning applications. Microbiome. 2024;12: 45. [CrossRef]
- Kusnadi Y, Saleh MI, Ali Z, Hermansyah H, Murti K, Hafy Z, et al. Firmicutes/Bacteroidetes Ratio of Gut Microbiota and Its Relationships with Clinical Parameters of Type 2 Diabetes Mellitus: A Systematic Review. Open Access Macedonian Journal of Medical Sciences. 2023;11: 67–72. [CrossRef]
- Stojanov S, Berlec A, Štrukelj B. The Influence of Probiotics on the Firmicutes/Bacteroidetes Ratio in the Treatment of Obesity and Inflammatory Bowel disease. Microorganisms. 2020;8: 1715. [CrossRef]
- Ponziani FR, De Luca A, Picca A, Marzetti E, Petito V, Del Chierico F, et al. Gut Dysbiosis and Fecal Calprotectin Predict Response to Immune Checkpoint Inhibitors in Patients With Hepatocellular Carcinoma. Hepatology Communications. 2022;6: 1492–1501. [CrossRef]
- Coutzac C, Jouniaux J-M, Paci A, Schmidt J, Mallardo D, Seck A, et al. Systemic short chain fatty acids limit antitumor effect of CTLA-4 blockade in hosts with cancer. Nat Commun. 2020;11: 2168. [CrossRef]
- Verdam FJ, Fuentes S, de Jonge C, Zoetendal EG, Erbil R, Greve JW, et al. Human intestinal microbiota composition is associated with local and systemic inflammation in obesity. Obesity. 2013;21: E607–E615. [CrossRef]
- Hiippala K, Kainulainen V, Suutarinen M, Heini T, Bowers JR, Jasso-Selles D, et al. Isolation of Anti-Inflammatory and Epithelium Reinforcing Bacteroides and Parabacteroides Spp. from A Healthy Fecal Donor. Nutrients. 2020;12: 935. [CrossRef]
- Rajput M, Momin T, Singh A, Banerjee S, Villasenor A, Sheldon J, et al. Determining the association between gut microbiota and its metabolites with higher intestinal Immunoglobulin A response. Veterinary and Animal Science. 2023;19: 100279. [CrossRef]
- Yang C, Mogno I, Contijoch EJ, Borgerding JN, Aggarwala V, Li Z, et al. Fecal IgA levels are determined by strain-level differences in Bacteroides ovatus and are modifiable by gut microbiota manipulation. Cell Host Microbe. 2020;27: 467-475.e6. [CrossRef]
- Chalkias A, Nikotian G, Koutsovasilis A, Bramis J, Manouras A, Mystrioti D, et al. Patients With Colorectal Cancer Are Characterized by Increased Concentration of Fecal Hb-Hp Complex, Myeloperoxidase, and Secretory IgA. American Journal of Clinical Oncology. 2011;34: 561. [CrossRef]
- Joshi S, Lewis SJ, Creanor S, Ayling RM. Age-related faecal calprotectin, lactoferrin and tumour M2-PK concentrations in healthy volunteers. Ann Clin Biochem. 2010;47: 259–263. [CrossRef]
- Ohlsson B, Roth B, Larsson E, Höglund P. Calprotectin in serum and zonulin in serum and feces are elevated after introduction of a diet with lower carbohydrate content and higher fiber, fat and protein contents. Biomed Rep. 2017;6: 411–422. [CrossRef]
- Marino M, Del Bo’ C, Martini D, Perna S, Porrini M, Cherubini A, et al. A (poly)phenol-rich diet reduces serum and faecal calprotectin in older adults with increased intestinal permeability: the MaPLE randomised controlled trial. BMC Geriatrics. 2024;24: 707. [CrossRef]
- Lopez SH, Jalving M, Fehrmann RSN, Nagengast WB, Vries EGE de, Haan JJ de. The gut wall’s potential as a partner for precision oncology in immune checkpoint treatment. Cancer Treatment Reviews. 2022;107. [CrossRef]
- Renga G, Nunzi E, Pariano M, Puccetti M, Bellet MM, Pieraccini G, et al. Optimizing therapeutic outcomes of immune checkpoint blockade by a microbial tryptophan metabolite. J Immunother Cancer. 2022;10: e003725. [CrossRef]
- Chaput N, Lepage P, Coutzac C, Soularue E, Le Roux K, Monot C, et al. Baseline gut microbiota predicts clinical response and colitis in metastatic melanoma patients treated with ipilimumab. Ann Oncol. 2017;28: 1368–1379. [CrossRef]
- Nearing JT, Douglas GM, Hayes MG, MacDonald J, Desai DK, Allward N, et al. Microbiome differential abundance methods produce different results across 38 datasets. Nat Commun. 2022;13: 342. [CrossRef]
- de la Cuesta-Zuluaga J, Escobar JS. Considerations For Optimizing Microbiome Analysis Using a Marker Gene. Front Nutr. 2016;3. [CrossRef]
- Kawamoto S, Tran TH, Maruya M, Suzuki K, Doi Y, Tsutsui Y, et al. The Inhibitory Receptor PD-1 Regulates IgA Selection and Bacterial Composition in the Gut. Science. 2012;336: 485–489. [CrossRef]
- Maruya M, Kawamoto S, Kato LM, Fagarasan S. Impaired selection of IgA and intestinal dysbiosis associated with PD-1-deficiency. Gut Microbes. 2013;4: 165. [CrossRef]
- Zhang X-Y, Liu Z-M, Zhang H, Li Y-S, Wen S-H, Shen J-T, et al. Decreased PD-1/PD-L1 Expression Is Associated with the Reduction in Mucosal Immunoglobulin A in Mice with Intestinal Ischemia Reperfusion. Dig Dis Sci. 2015;60: 2662–2669. [CrossRef]
- Tomela K, Pietrzak B, Schmidt M, Mackiewicz A. The Tumor and Host Immune Signature, and the Gut Microbiota as Predictive Biomarkers for Immune Checkpoint Inhibitor Response in Melanoma Patients. Life (Basel). 2020;10: 219. [CrossRef]
- Rollenske T, Burkhalter S, Muerner L, Von Gunten S, Lukasiewicz J, Wardemann H, et al. Parallelism of intestinal secretory IgA shapes functional microbial fitness. Nature. 2021;598: 657–661. [CrossRef]
- Frankel AE, Coughlin LA, Kim J, Froehlich TW, Xie Y, Frenkel EP, et al. Metagenomic Shotgun Sequencing and Unbiased Metabolomic Profiling Identify Specific Human Gut Microbiota and Metabolites Associated with Immune Checkpoint Therapy Efficacy in Melanoma Patients. Neoplasia. 2017;19: 848–855. [CrossRef]
- Matson V, Fessler J, Bao R, Chongsuwat T, Zha Y, Alegre M-L, et al. The commensal microbiome is associated with anti-PD-1 efficacy in metastatic melanoma patients. Science. 2018;359: 104–108. [CrossRef]
- Routy B, Le Chatelier E, Derosa L, Duong CPM, Alou MT, Daillère R, et al. Gut microbiome influences efficacy of PD-1–based immunotherapy against epithelial tumors. Science. 2018;359: 91–97. [CrossRef]
- Peters BA, Wilson M, Moran U, Pavlick A, Izsak A, Wechter T, et al. Relating the gut metagenome and metatranscriptome to immunotherapy responses in melanoma patients. Genome Medicine. 2019;11: 61. [CrossRef]
- Derosa L, Routy B, Fidelle M, Iebba V, Alla L, Pasolli E, et al. Gut Bacteria Composition Drives Primary Resistance to Cancer Immunotherapy in Renal Cell Carcinoma Patients. Eur Urol. 2020;78: 195–206. [CrossRef]
- Richards AF, Baranova DE, Pizzuto MS, Jaconi S, Willsey GG, Torres-Velez FJ, et al. Recombinant Human Secretory IgA Induces Salmonella Typhimurium Agglutination and Limits Bacterial Invasion into Gut-Associated Lymphoid Tissues. ACS Infect Dis. 2021;7: 1221–1235. [CrossRef]
- Khan R, Roy N, Ali H, Naeem M. Fecal Microbiota Transplants for Inflammatory Bowel Disease Treatment: Synthetic- and Engineered Communities-Based Microbiota Transplants Are the Future. Sakai E, editor. Gastroenterology Research and Practice. 2022;2022: 1–9. [CrossRef]








Disclaimer/Publisher’s Note: The statements, opinions and data contained in all publications are solely those of the individual author(s) and contributor(s) and not of MDPI and/or the editor(s). MDPI and/or the editor(s) disclaim responsibility for any injury to people or property resulting from any ideas, methods, instructions or products referred to in the content. |
© 2025 by the authors. Licensee MDPI, Basel, Switzerland. This article is an open access article distributed under the terms and conditions of the Creative Commons Attribution (CC BY) license (http://creativecommons.org/licenses/by/4.0/).