Submitted:
14 June 2025
Posted:
17 June 2025
You are already at the latest version
Abstract
Keywords:
1. Introduction
2. Results and Discussion
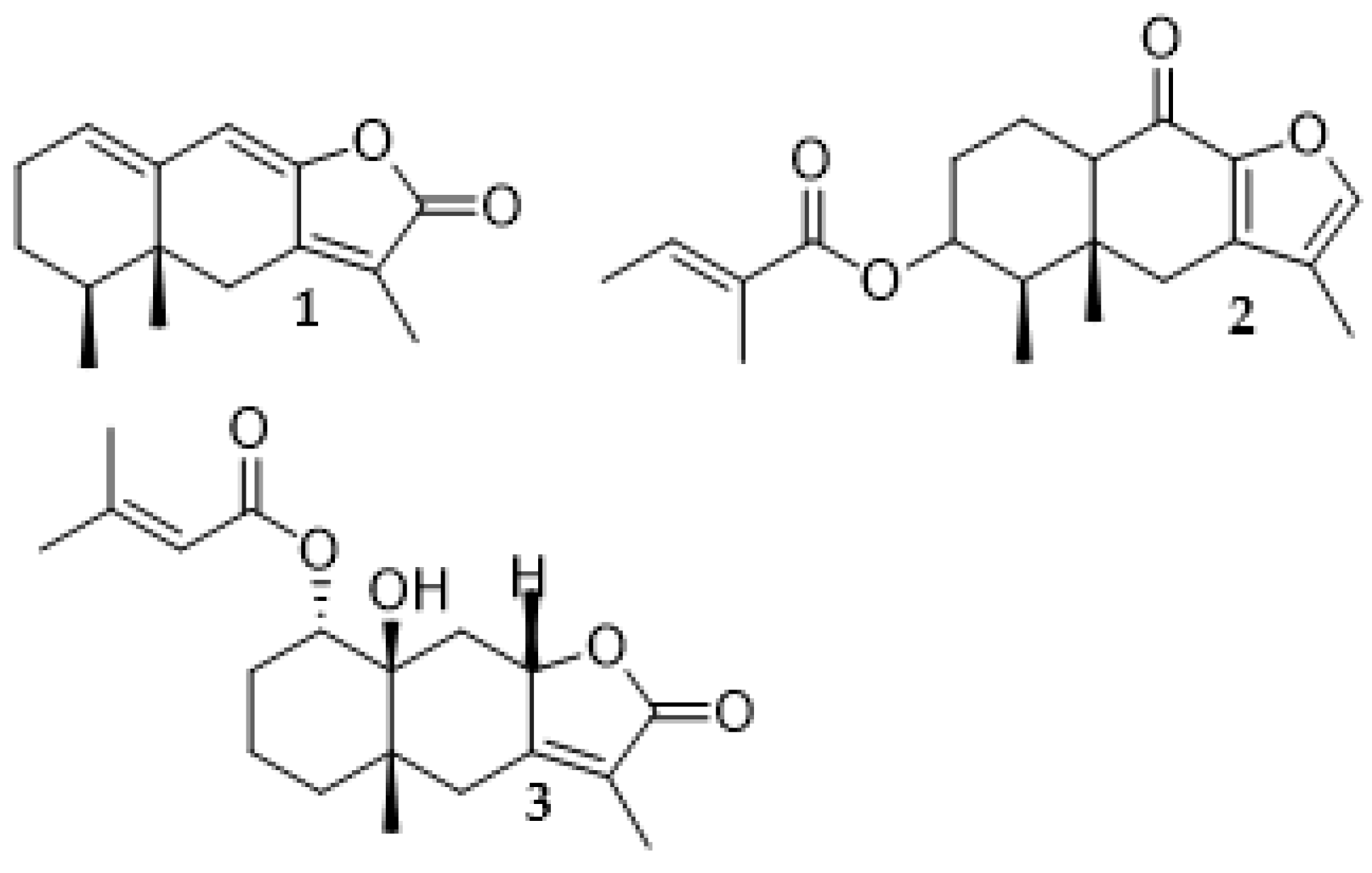
2.1. Structural Elucidation of Isolated Compounds
2.2. Identification of Compounds by LCMS
2.3. Tyrosinase Inhibitory Activities of Fractions and Isolated Compounds
2.4. A-Glucosidase Activity of E. abrotanifolius
2.5. A-Amylase Activity of E. abrotanifolius
3. Materials and Methods
3.1. Plant Material
3.2. Equipment and Chemical Reagents
3.3. Extraction and Fractionation of the Plant Material
3.4. Anti-melanogenic activity
3.5. Alpha-Glucosidase Inhibitory Assay
3.6. Alpha-Amylase Inhibitory Assay
4. Conclusions
Supplementary Materials
Author Contributions
Funding
Institutional Review Board Statement
Informed Consent Statement
Data Availability Statement
Acknowledgments
Conflicts of Interest
References
- Abdel-Lateff, A.; Alarif, W.M.; Algandaby, M.M.; Alburae, N.A.; Abdel-Naim, A.B. Euryops arabicus displays anti-inflammatory activities in experimental models. J. Ethnopharmacol. 2020, 247, 112278. [CrossRef]
- Alarif, W.M.; Abdel-Lateff, A.; Al-Abd, A.M.; Basaif, S.A.; Badria, F.A.; Shams, M.; Ayyad, S.-E.N. Selective cytotoxic effects on human breast carcinoma of new methoxylated flavonoids from Euryops arabicus grown in Saudi Arabia. Eur. J. Med. Chem. 2013, 66, 204–210. [CrossRef]
- Balogun, F.O.; Ashafa, A.O.T. A Review of Plants Used in South African Traditional Medicine for the Management and Treatment of Hypertension. Planta Medica 2018, 85, 312–334. [CrossRef]
- Burgueño-Tapia, E., Hernández-Carlos, B., Joseph-Nathan, P. (2006). DFT, solution, and crystal conformation of eremophilanolides. Journal of molecular structure, 825(1-3), 115-123.
- Cestari, T. F., Dantas, L. P., Boza, J. C (2014). Acquired hyperpigmentations. Anais Brasileiros de Dermatologia. 89:11–25.
- Chang, T.-S. An Updated Review of Tyrosinase Inhibitors. Int. J. Mol. Sci. 2009, 10, 2440–2475. [CrossRef]
- Chen, H.-J.; Inbaraj, B.S.; Chen, B.-H. Determination of Phenolic Acids and Flavonoids in Taraxacum formosanum Kitam by Liquid Chromatography-Tandem Mass Spectrometry Coupled with a Post-Column Derivatization Technique. Int. J. Mol. Sci. 2011, 13, 260–285. [CrossRef]
- Davids, D.; Gibson, D.; Johnson, Q. Ethnobotanical survey of medicinal plants used to manage High Blood Pressure and Type 2 Diabetes Mellitus in Bitterfontein, Western Cape Province, South Africa. J. Ethnopharmacol. 2016, 194, 755–766. [CrossRef]
- Dorga, S., Sarangal, R. (2014). Pigmentary disorders: an insight. Pigment International, 1:5–7.
- Elkady, W.M.; Ayoub, I.M.; Abdel-Mottaleb, Y.; ElShafie, M.F.; Wink, M. Euryops pectinatus L. Flower Extract Inhibits P-glycoprotein and Reverses Multi-Drug Resistance in Cancer Cells: A Mechanistic Study. Molecules 2020, 25, 647. [CrossRef]
- Liu, J.-K. Natural products in cosmetics. Nat. Prod. Bioprospecting 2022, 12, 1–43. [CrossRef]
- Liu, J.-Q.; Zhang, M.; Zhang, C.-F.; Qi, H.-Y.; Bashall, A.; Bligh, S.A.; Wang, Z.-T. Cytotoxic sesquiterpenes from Ligularia platyglossa. Phytochemistry 2008, 69, 2231–2236. [CrossRef]
- Lusa, M.G.; Martucci, M.E.P.; Loeuille, B.F.P.; Gobbo-Neto, L.; Appezzato-Da-Glória, B.; Da Costa, F.B. Characterization and evolution of secondary metabolites in Brazilian Vernonieae (Asteraceae) assessed by LC-MS fingerprinting. Bot. J. Linn. Soc. 2016, 182, 594–611. [CrossRef]
- Lyu, X., Li, Y. H., Li, Y., Li, D., Han, C., Hong, H., Yu, T., Lida, H., Bin, L., Qiu, L. J. (2023). The domestication-associated L1 gene encodes a eucomic acid synthase pleiotropically modulating pod pigmentation and shattering in soybean. Molecular Plant, 16(7), 1178-1191.
- Maldonado, J.; Arciniegas, A.; Pérez-Castorena, A.-L.; Arciniegas, M.; Villasenor, J.L. Eremophilanolides from Roldana lobata. Z. Fur Naturforschung Sect. B-A J. Chem. Sci. 2008, 63, 331–334. [CrossRef]
- Mostert, A.B. Melanin, the What, the Why and the How: An Introductory Review for Materials Scientists Interested in Flexible and Versatile Polymers. Polymers 2021, 13, 1670. [CrossRef]
- Nerya, O.; Vaya, J.; Musa, R.; Izrael, S.; Ben-Arie, R.; Tamir, S. Glabrene and Isoliquiritigenin as Tyrosinase Inhibitors from Licorice Roots. J. Agric. Food Chem. 2003, 51, 1201–1207. [CrossRef]
- Notten, A. (2008). E. abrotanifolius. Kirstenbosch National Botanical Garden, South African National Biodiversity Institute. Plantz Africa http://pza.sanbi.org/euryops abrotanifolius.
- Nayak, C.S.; Nouveau, S.; Agrawal, D.; Kohli, M.; Bernerd, F.; Misra, N. Skin hyperpigmentation in Indian population: Insights and best practice. Indian J. Dermatol. 2016, 61, 487–95. [CrossRef]
- Paponov, M.; Ziegler, J.; Paponov, I.A. Light exposure of roots in aeroponics enhances the accumulation of phytochemicals in aboveground parts of the medicinal plants Artemisia annua and Hypericum perforatum. Front. Plant Sci. 2023, 14, 1079656. [CrossRef]
- Solano, F. Photoprotection and Skin Pigmentation: Melanin-Related Molecules and Some Other New Agents Obtained from Natural Sources. Molecules 2020, 25, 1537. [CrossRef]
- Sotenjwa, V.Z.; Chen, W.; Veale, C.G.; Anokwuru, C.P.; Tankeu, S.Y.; Combrinck, S.; Kamatou, G.P.; Viljoen, A.M. Chemotypic variation of non-volatile constituents of Artemisia afra (African wormwood) from South Africa. Fitoterapia 2020, 147, 104740. [CrossRef]
- Simirgiotis, M.J.; Benites, J.; Areche, C.; Sepúlveda, B. Antioxidant Capacities and Analysis of Phenolic Compounds in Three Endemic Nolana Species by HPLC-PDA-ESI-MS. Molecules 2015, 20, 11490–11507. [CrossRef]
- Waithaka, J. (2004). The evaluation of markers for quality control studies of flavonoid-containing medicinal preparations (Doctoral dissertation, University of the Western Cape).
- Yamaki, K.; Mori, Y. Evaluation of .ALPHA.-glucosidase Inhibitory Activity in Colored Foods: a Trial Using Slope Factors of Regression Curves. Nippon. Shokuhin Kagaku Kogaku Kaishi 2006, 53, 229–231. [CrossRef]
- Zolghadri, S.; Bahrami, A.; Hassan Khan, M.T.; Munoz-Munoz, J.; Garcia-Molina, F.; Garcia-Canovas, F.; Saboury, A.A. A comprehensive review on tyrosinase inhibitors. J. Enzym. Inhib. Med. Chem. 2019, 34, 279–309. [CrossRef]




| S/N | RT | Mass (M/z) | Compounds | Formula | Prominent Peaks | References |
| 1. | 4.65 | 255.05 | Palmitic acid | C16H32O2 | 255.05, 165.05 | Farag et al., 2015 |
| 2. | 5.51 | 353.09 | 4-O-caffeoyl quinic acid | C16H18O9 | 353.09, 191.06 | Elkhady et al., 2020 |
| 3. | 6.53 | 475.15 | Ombuin-rhamnoside | C23H23O11 | 475.15, 355.10 | Farag et al., 2015 |
| 4. | 6.66 | 239.06 | Eucomic acid, (-)- | C11H12O6 | 239.06, 177.05 | Lyu et al., 2023 |
| 5. | 6.90 | 353.09 | Chlorogenic acid | C16H18O9 | 191.06, 353.09 | Simirgiotis et al., 2015 |
| 6. | 7.21 | 367.10 | 3-O-feruloylquinic acid | C17H20O9 | 367.10, 193.05 | Simirgiotis et al., 2015 |
| 7. | 7.83 | 471.15 | 5'-((Z)-feruloyl) 3-(2'-methylarabinosylxylose) | C21H28O12 | 471.15, 411.13 | |
| 8. | 7.90 | 387.17 | 7-epi-12-hydroxyjasmonic acid glucoside | C18H28O9 | 387.17, 300.99 | Farag et al., 2015 |
| 9. | 8.20 | 469.13 | Plumieride | C21H26O12 | 469.13, 281.10 | |
| 10. | 8.72 | 409.11 | 6-[4-hydroxy-2-methyl-6-[(2S,3R,4S,5S,6R)-3,4,5-trihydroxy-6-methylol-tetrahydropyran-2-yl]oxy-phenyl]-4-methoxy-pyran-2-one | C19H22O10 | 409.11, 211.08 | |
| 11. | 8.76 | 645.18 | Paeonidanin B | C31H34O15 | 645.18, 211.08 | |
| 12. | 9.30 | 771.20 | 6-hydroxykaempferol 3-rutinoside-6-glucoside | C33H40O21 | 771.2, 301.03 | |
| 13. | 9.64 | 677.17 | Dicaffeoyl quinic acid hexoside | C31H34O17 | 515.14, 677.17 | Elkhady et al., 2020 |
| 14. | 9.77 | 609.15 | Rutin | C27H30O16 | 609.15, 300.03 | Sotenjwa et al., 2020 |
| 15. | 10.02 | 463.09 | Quercetin 4'-glucoside | C21H20O12 | 463.09, 300.03 | Waithaka, 2004 |
| 16. | 10.18 | 463.09 | Quercetin 3-galactoside | C21H20O12 | 463.09, 300.03 | Paponov et al., 2023 |
| 17. | 11.05 | 763.21 | Trigonotin A | C35H40O19 | 763.21, 609.15 | |
| 18. | 11.19 | 623.16 | Isorhamnetin-O-rutinoside | C28H32O16 | 623.16, 315.05 | Lusa et al., 2016 |
| 19. | 11.50 | 515.12 | 1,3-dicaffeoylquinic acid | C25H24O12 | 515.12, 353.09 | Chen et al., 2012 |
| 20. | 11.69 | 917.24 | Quercetin 3-(6'''-p-coumarylglucosyl)(1->2)-rhamnoside 7-glucoside | C42H46O23 | 917.24, 301.04 | |
| 21. | 12.55 | 777.23 | Smilaside A | C36H42O19 | 777.22, 759.21 | |
| 22. | 12.56 | 529.14 | 3,5-dicaffeoylquinic methyl ester | C26H26O12 | 529.14, 367.10 |
| Fractions/Compounds | % Inhibition | IC50 | ||
| 100 µg/mL | 200µM | (µg/mL) | (µM) | |
| EAC | 40.04 | - | 34.52 | - |
| EAH | 34.05 | - | inactive | - |
| EAD | 42.19 | - | 98.56 | - |
| EAE | 50.35 | - | 53.26 | - |
| EAB | 28.25 | - | inactive | - |
| 1 | - | 19.80 | - | inactive |
| 2 | - | 23.31 | - | nd |
| 3 | - | 14.10 | - | inactive |
| Kojic acid | - | 100 | - | 17.26 |
Disclaimer/Publisher’s Note: The statements, opinions and data contained in all publications are solely those of the individual author(s) and contributor(s) and not of MDPI and/or the editor(s). MDPI and/or the editor(s) disclaim responsibility for any injury to people or property resulting from any ideas, methods, instructions or products referred to in the content. |
© 2025 by the authors. Licensee MDPI, Basel, Switzerland. This article is an open access article distributed under the terms and conditions of the Creative Commons Attribution (CC BY) license (http://creativecommons.org/licenses/by/4.0/).