Submitted:
11 June 2025
Posted:
16 June 2025
You are already at the latest version
Abstract

Keywords:
1. Introduction
2. Materials and Methods
2.1. Structure and Scope of Study
2.2. Diagnosis and Data Base
2.3. Distribution of Rainfall
2.4. Assessment of Saturated Zone Behaviour
2.5. Ground Penetrating Radar (GPR) Survey
3. Results
3.1. Wetland Profile: Influence of Rainfall
3.2. Wetland Profile: Altimetry and Landforms
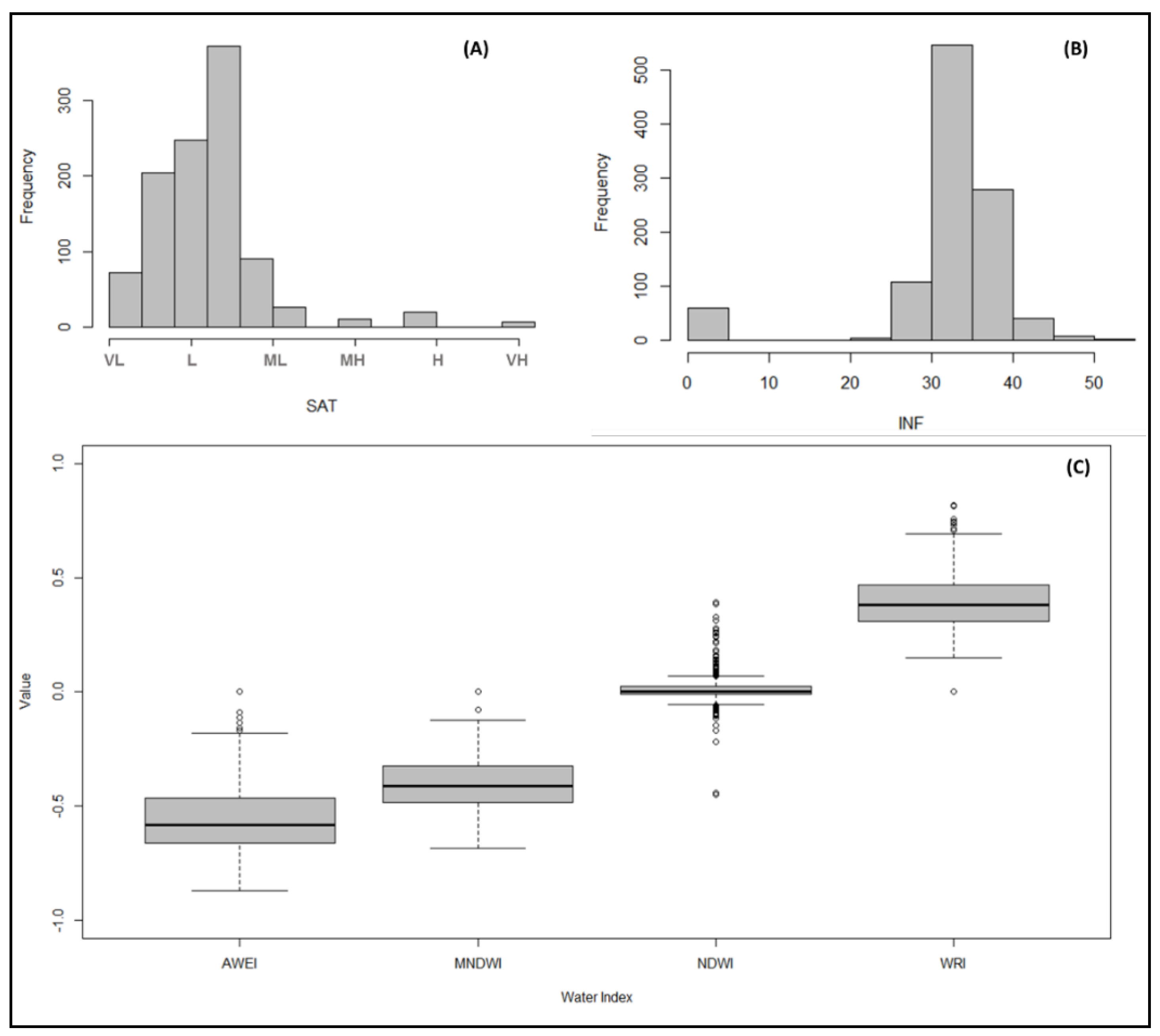
3.3. Wetland Profile: Hydrographic Density and Infiltration Potential
3.4. Spectral Indices: Water and Land Cover
3.5. Ground-Penetrating Radar (GPR) Application
4. Discussion
5. Conclusions
Author Contributions
Funding
Data Availability Statement
Acknowledgments
Conflicts of Interest
References
- Mansur, A. V.; Brondízio, E. S.; Roy, S.; Hetrick, S.; Vogt, N. D.; Newton, A. An assessment of urban vulnerability in the Amazon Delta and Estuary: a multi-criterion index of flood exposure, socio-economic conditions and infrastructure. Sustainability Science 2016, 11, 625–643. [Google Scholar] [CrossRef]
- Ribeiro, R. M.; Amaral, S.; Monteiro, A. M. V.; Dal’Asta, A. P. “Cities in the forest” and “cities of the forest”: an environmental Kuznets curve (EKC) spatial approach to analyzing the urbanization–deforestation relationship in a Brazilian Amazon state. Ecology and Society 2022, 27, 2. [Google Scholar] [CrossRef]
- Riquetti, N. B.; Beskow, S.; Guo, L.; Mello, C. R. Soil erosion assessment in the Amazon basin in the last 60 years of deforestation. Environmental Research 2023, 236, 116846. [Google Scholar] [CrossRef] [PubMed]
- Fleischmann, A. S.; Papa, F.; Hamilton, S. K.; Fassoni-Andrade, A.; Wongchuig, S.; Espinoza, J. C.; Paiva, R. C. D.; Melack, J. M.; Fluet-Chouinard, E.; Castello, L.; Almeida, R. M.; Bonnet, M. P.; Alves, L. G.; Moreira, D.; Yamazaki, D.; Revel, M.; Collischonn, W. Increased floodplain inundation in the Amazon since 1980. Environmental Research Letters 2023, 18, 034024. [Google Scholar] [CrossRef]
- Staal, A.; Flores, B. M.; Aguiar, A. P. D.; Bosmans, J. H.; Fetzer, I.; Tuinenburg, O. A. Feedback between drought and deforestation in the Amazon. Environmental Research Letters 2020, 15, 044024. [Google Scholar] [CrossRef]
- Espinoza, J. C.; Marengo, J. A.; Schongart, J.; Jimenez, J. C. The new historical flood of 2021 in the Amazon River compared to major floods of the 21st century: Atmospheric features in the context of the intensification of floods. Weather and Climate Extremes 2022, 35, 100406. [Google Scholar] [CrossRef]
- Espinoza, J. C.; Jimenez, J. C.; Marengo, J. A.; Schongart, J.; Ronchail, J.; Lavado-Casimiro, W.; Ribeiro, J. V. M. The new record of drought and warmth in the Amazon in 2023 related to regional and global climatic features. Scientific Reports 2024, 14, 8107. [Google Scholar] [CrossRef]
- Abuzied, S. M.; Pradhan, B. Hydro-geomorphic assessment of erosion intensity and sediment yield initiated debris-flow hazards at Wadi Dahab Watershed, Egypt. Georisk 2021, 15, 221–246. [Google Scholar] [CrossRef]
- Malka, A. GIS-Based Landslide Susceptibility Modelling in Urbanized Areas: A Case Study of the Tri-City Area of Poland. GeoHazards 2022, 3, 508–528. [Google Scholar] [CrossRef]
- Costa, S. M. F.; Rosa, N. C. O processo de urbanização na Amazônia e suas peculiaridades: uma análise do delta do rio Amazonas. Revista Políticas Públicas & Cidades 2017, 5, 81–105. [Google Scholar]
- Oliveira, J. A. Tempo e espaço urbano na Amazônia no período da borracha. Scripta Nova. Revista Electrónica de Geografía y Ciencias Sociales 2006, 10, 218. [Google Scholar]
- Ribeiro, R. M.; Ferreira, A. E. D. M.; Cardoso, A. C. D.; Monteiro, A. M. V.; Dal’Asta, A. P.; Carmo, M. B. S.; Amaral, S. A trama urbana amazônica: proposta metodológica para reconhecimento de um território de possibilidades. Revista Brasileira de Estudos Urbanos e Regionais 2024, 26, e202433pt. [Google Scholar] [CrossRef]
- Cardoso, A. C. D.; Lima, J. J. F.; Ponte, J. P. X.; Ventura, R. D. S.; Rodrigues, R. M. Morfologia urbana das cidades amazônicas: a experiência do Grupo de Pesquisa Cidades na Amazônia da Universidade Federal do Pará. URBE - Revista Brasileira de Gestão Urbana 2020, 12, e20190275. [Google Scholar] [CrossRef]
- Milana, J. P.; Geisler, P. Forensic Geology Applied to Decipher the Landslide Dam Collapse and Outburst Flood of the Santa Cruz River, San Juan, Argentina. GeoHazards 2022, 3, 252–276. [Google Scholar] [CrossRef]
- Brondizio, E. S.; Vogt, N.; Mansur, A. V.; Anthony, E. J.; Costa, S. M. F.; Hetrick, S. A conceptual framework for analyzing deltas as coupled social-ecological systems: an example from the Amazon River Delta. Sustainability Science 2016, 11, 591–609. [Google Scholar] [CrossRef]
- Rocha, Y. A. D. S.; Lima, A. M. M. D.; Silva, C. M. S. E.; Franco, V. D. S.; Raiol, L. L.; Oliveira, I. S. D.; Dias, M. L. M.; Beltrão Júnior, P. R. E. Hydro-meteorological dynamics of rainfall erosivity risk in the Amazon River Delta-Estuary. Journal of Water and Climate Change 2025, jwc2025544. [Google Scholar] [CrossRef]
- Edmonds, D. A.; Caldwell, R. L.; Brondizio, E. S.; Siani, S. M. O. Coastal flooding will disproportionately impact people on river deltas. Nature Communications 2020, 11, 4741. [Google Scholar] [CrossRef]
- Pereira, L. E.; Amorim, G.; Grigio, A. M.; Paranhos Filho, A. C. Análise Comparativa entre Métodos de Índice de Água por Diferença Normalizada (NDWI) em Área Úmida Continental. Anuário do Instituto de Geociências 2018, 41, 654–662. [Google Scholar] [CrossRef]
- Liu, S.; Wu, Y.; Zhang, G.; Lin, N.; Liu, Z. Comparing Water Indices for Landsat Data for Automated Surface Water Body Extraction under Complex Ground Background: A Case Study in Jilin Province. Remote Sensing 2023, 15, 1678. [Google Scholar] [CrossRef]
- LP DAAC. Land Processes Distributed Active Archive Center; U.S. Geological Survey (USGS), Earth Observing System Data and Information System (EOSDIS)/National Aeronautics and Space Administration (NASA), 2024; Available online: https://lpdaac.usgs.gov/data/data-citations-and-guidelines/.
- Landerer, F. W.; Swenson, S. C. Accuracy of scaled GRACE terrestrial water storage estimates. Water Resources Research 2012, 48, W04531. [Google Scholar] [CrossRef]
- Farr, T. G.; Rosen, P. A.; Caro, E.; Crippen, R.; Duren, R.; Hensley, S.; Kobrick, M.; Paller, M.; Rodriguez, E.; Roth, L.; Seal, D.; Shaffer, S.; Shimada, J.; Umland, J.; Werner, M.; Oskin, M.; Burbank, D.; Alsdorf, D. E. The shuttle radar topography mission. Reviews of Geophysics 2007, 45, RG2004. [Google Scholar] [CrossRef]
- Lehner, B.; Verdin, K.; Jarvis, A. New global hydrography derived from spaceborne elevation data. Eos, Transactions 2008, 89, 93–94. [Google Scholar] [CrossRef]
- Hengl, T.; Gupta, S. Soil water content (volumetric%) for 33kPa and 1500kPa suctions predicted at 6 standard depths (0, 10, 30, 60, 100 and 200 cm) at 250 m resolution (Version v01). Zenodo 2019. [Google Scholar] [CrossRef]
- Gupta, S.; Papritz, A.; Lehmann, P.; Hengl, T.; Bonetti, S.; Or, D. Global Mapping of Soil Water Characteristics Parameters-Fusing Curated Data with Machine Learning and Environmental Covariates. Remote Sensing 2022, 14, 1947. [Google Scholar] [CrossRef]
- Hansen, M. C.; Potapov, P. V.; Moore, R.; Hancher, M.; Turubanova, S. A.; Tyukavina, A.; Thau, D.; Stehman, S. V.; Goetz, S. J.; Loveland, T. R.; Kommareddy, A.; Egorov, A.; Chini, L.; Justice, C. O.; Townshend, J. R. G. High-resolution global maps of 21st-century forest cover change. Science 2013, 342, 850–853. [Google Scholar] [CrossRef]
- SGB. Estimativa de água disponível nos solos do Brasil; Serviço Geológico do Brasil - SGB, Catálogo PRONASOLOS, 2024; Escala: 1:500.000; Available online: https://geosgb.sgb.gov.br/geosgb/pronasolos.html.
- EMBRAPA. Avaliação, predição e mapeamento de água disponível em solos do Brasil. Boletim de pesquisa e desenvolvimento 2022, 146p. [Google Scholar]
- Brasil. Agência Nacional de Águas e Saneamento Básico - ANA. HidroWeb: Sistema de Informações Hidrológicas. 2024. Available online: https://www.snirh.gov.br/hidroweb.
- Li, Q.; Lu, L.; Wang, C.; Li, Y.; Sui, Y.; Guo, H. MODIS-derived spatiotemporal changes of major lake surface areas in arid Xinjiang, China, 2000–2014. Water 2015, 7, 5731–5751. [Google Scholar] [CrossRef]
- Laonamsai, J.; Julphunthong, P.; Saprathet, T.; Kimmany, B.; Ganchanasuragit, T.; Chomcheawchan, P.; Tomun, N. Utilizing NDWI, MNDWI, SAVI, WRI, and AWEI for Estimating Erosion and Deposition in Ping River in Thailand. Hydrology 2023, 10, 70. [Google Scholar] [CrossRef]
- Liu, S.; Wu, Y.; Zhang, G.; Lin, N.; Liu, Z. Comparing Water Indices for Landsat Data for Automated Surface Water Body Extraction under Complex Ground Background: A Case Study in Jilin Province. Remote Sensing 2023, 15, 1678. [Google Scholar] [CrossRef]
- Rocha, A. D.; Vulova, S.; Meier, F.; Förster, M.; Kleinschmit, B. Mapping evapotranspirative and radiative cooling services in an urban environment. Sustainable Cities and Society 2022, 85, 104051. [Google Scholar] [CrossRef]
- Loizos, A.; Plati, C. Accuracy of pavement thickness estimation using different ground penetrating radar analysis approaches. NDT & E International 2007, 40, 147–157. [Google Scholar] [CrossRef]
- Annan, A. P. Electromagnetic Principles of Ground Penetrating Radar. In Ground Penetrating Radar: Theory and Applications; Jol, H. M., Ed.; Elsevier, 2009. [Google Scholar]
- Yoon, J. H.; Zeng, N. An Atlantic influence on Amazon rainfall. Climate Dynamics 2010, 34, 249–264. [Google Scholar] [CrossRef]
- Limberger, L.; Silva, M. E. S. Precipitação na bacia amazônica e sua associação à variabilidade da temperatura da superfície dos oceanos Pacífico e Atlântico: uma revisão. GEOUSP: Espaço e Tempo 2016, 20, 3, 657–675. [Google Scholar] [CrossRef]
- Liu, Y.; Cai, W.; Zhang, Y.; Lin, X.; Li, Z. Near-term projection of Amazon rainfall dominated by phase transition of the Interdecadal Pacific Oscillation. Climate and Atmospheric Science 2024, 7, 46. [Google Scholar] [CrossRef]
- João, X. S. J.; Teixeira, S. G.; Fonseca, D. D. F. Geodiversidade do estado do Pará. Belém, CPRM, 2013, 256 p.
- Folha SA.22 Belém. Carta Hidrogeológica, Escala 1:1.000.000. Programa Geologia do Brasil – Cartografia Hidrogeológica. 2016; Serviço Geológico do Brasil (SGB/CPRM).
- El-Robrini, M.; Silva, P. V.; Magno, C.; Rodrigues, M. V. Morfodinâmica e transporte de sedimentos em praias amazônicas de meso-marés: o caso da Vila do Conde (Barcarena/Pará). Caderno de Geografia 2023, 33, 1300–1328. [Google Scholar] [CrossRef]
- Huang, J.; Hartemink, A. E. Soil and environmental issues in sandy soils. Earth-Science Reviews 2020, 208, 103295. [Google Scholar] [CrossRef]
- Bronswijk, J. J. B. Modeling of water balance, cracking and subsidence of clay soils. Journal of Hydrology 1988, 97, 3–199. [Google Scholar] [CrossRef]
- Coyle, C.; Creamer, R. E.; Schulte, R. P.; O’Sullivan, L.; Jordan, P. A functional land management conceptual framework under soil drainage and land use scenarios. Environmental Science & Policy 2016, 56, 39–48. [Google Scholar] [CrossRef]
- Javed, A.; Cheng, Q.; Peng, H.; Altan, O.; Li, Y.; Ara, I.; Huq, E.; Ali, Y.; Saleem, N. Review of spectral indices for urban remote sensing. Photogrammetric Engineering & Remote Sensing 2021, 87, 513–524. [Google Scholar] [CrossRef]
- Ma, S.; Zhou, Y.; Gowda, P. H.; Dong, J.; Zhang, G.; Kakani, V. G.; Wagle, P.; Chen, L.; Flynn, C.; Jiang, W. Application of the water-related spectral reflectance indices: A review. Ecological Indicators 2019, 98, 68–79. [Google Scholar] [CrossRef]
- Zhao, C.; Wei, H.; Feyisa, G. L.; Castro Tayer, T.; Ma, G.; Wu, H.; Pan, Y. Evaluating spectral indices for water extraction: limitations and contextual usage recommendations. International Journal of Applied Earth Observation and Geoinformation 2025, 139, 104510. [Google Scholar] [CrossRef]
- Zhou, Y.; Dong, J.; Xiao, X.; Xiao, T.; Yang, Z.; Zhao, G.; Zou, Z.; Qin, Y. Open surface water mapping algorithms: A comparison of water-related spectral indices and sensors. Water 2017, 9, 256. [Google Scholar] [CrossRef]
- Gümüş, M.G. Performance Analysis of Water Extraction Indices with Geospatial and Statistical Techniques Using Google Earth Engine Platform: A Case Study of Ramsar Wetlands in Türkiye. J Indian Soc Remote Sens 2025. [Google Scholar] [CrossRef]
- Sevil, J.; Gutiérrez, F.; Carnicer, C.; Carbonel, D.; Desir, G.; García-Arnay, Á.; Guerrero, J. Characterizing and monitoring a high-risk sinkhole in an urban area underlain by salt through non-invasive methods: Detailed mapping, high-precision leveling and GPR. Engineering Geology 2020, 272, 105641. [Google Scholar] [CrossRef]
- Lago, A. L.; Borges, W. R.; Barros, J. S.; Sousa Amaral, E. GPR application for the characterization of sinkholes in Teresina, Brazil. Environmental Earth Sciences 2022, 81, 132. [Google Scholar] [CrossRef]
- Scheip, C. M.; Wegmann, K. W. HazMapper: a global open-source natural hazard mapping application in Google Earth Engine. Natural Hazards and Earth System Sciences Discussions 2020, 1–25. [Google Scholar] [CrossRef]
- Chen, C. W.; Hung, C.; Lin, G. W.; Liou, J. J.; Lin, S. Y.; Li, H. C.; Chen, Y. M.; Chen, H. Preliminary establishment of a mass movement warning system for Taiwan using the soil water index. Landslides 2022, 19, 1779–1789. [Google Scholar] [CrossRef]
- Assis, L. E.; Marques, E. A. G. , Lima, C. A., Menezes, S. J. M. C., & Roque, L. A. Mapping of Geological-Geotechnical Risk of Mass Movement in an Urban Area in Rio Piracicaba, MG, Brazil. Soils and Rocks 2020, 43, 57–70. [Google Scholar] [CrossRef]
- Malka, A. GIS-Based Landslide Susceptibility Modelling in Urbanized Areas: A Case Study of the Tri-City Area of Poland. GeoHazards 2022, 3, 508–528. [Google Scholar] [CrossRef]
- Bandeira, I. C. N.; Adamy, A.; Andretta, E. R.; Costa da Conceição, R. A.; Andrade, M. M. N. Terras caídas: Fluvial erosion or distinct phenomenon in the Amazon? Environmental Earth Sciences 2018, 77, 222. [Google Scholar] [CrossRef]
- Mendes, A.; Galvão, P.; Sousa, J.; Silva, I.; Carneiro, R. N. Relations of the groundwater quality and disorderly occupation in an Amazon low-income neighborhood developed over a former dump area, Santarém/PA, Brazil. Environment, development and sustainability 2019, 21, 353–368. [Google Scholar] [CrossRef]









| Product | Description | Source | Indicator (*) |
|---|---|---|---|
| (1) | MODIS Ground, Bands 1-7, 500 m resolution. | [20] | MNDWI, WRI, AWEI |
| (2) | MODIS Ground, water content response, 500 m resolution. | [20] | NDWI |
| (3) | GRACE, water mass equivalent (water thickness) anomalies, derived from time-varying gravity observations, 111 km resolution. | [21] | PG |
| (4) | Shuttle Radar Topography Mission. The SRTM V3 (SRTM Plus) product is provided by NASA JPL at 1 arcsecond (~30m) resolution. | [22] | Digital Elevation Model and landform |
| (5) | The datasets at 3 arc-seconds (~90m) are the Void-Filled DEM, Hydrologically Conditioned DEM, and Drainage (Flow) Direction. | [23] | Hydrographic density |
| (6) | Soil water content (% vol.) for 33kPa and 1500kPa suctions predicted at 6 standard depths (200 cm) at 250 m resolution. | [24,25] | Infiltration potential |
| (7) | Hansen Global Forest Change v1.11 (2000-2023), 30.92 m resolution. Time-series analysis of Landsat images - global forest extent and change. | [26] | Land cover change |
| (8) | The volume of water stored in the soil and accessible to plants is a parameter used in the modeling of agroclimatic risk in Brazil. | [27,28] | Soil available water |
| Parameters | Source | ||||
|---|---|---|---|---|---|
| [18,19] | |||||
| Spectral Range - MODIS Sensor Bands Product MOD09A1 | |||||
| Band 3 | B | Blue | 459 - 479 nm | ||
| Band 4 | G | Green | 545 - 565 nm | ||
| Band 1 | R | Red | 620 - 670 nm | ||
| Band 2 | IVP | Near Infrared | 841 - 875 nm | ||
| Band 5 | SWIR1 | Shortwave Infrared | 1230 - 1250 nm | ||
| Band 6 | SWIR2 | Shortwave Infrared | 1628 - 1652 nm | ||
Disclaimer/Publisher’s Note: The statements, opinions and data contained in all publications are solely those of the individual author(s) and contributor(s) and not of MDPI and/or the editor(s). MDPI and/or the editor(s) disclaim responsibility for any injury to people or property resulting from any ideas, methods, instructions or products referred to in the content. |
© 2025 by the authors. Licensee MDPI, Basel, Switzerland. This article is an open access article distributed under the terms and conditions of the Creative Commons Attribution (CC BY) license (http://creativecommons.org/licenses/by/4.0/).