Submitted:
30 May 2025
Posted:
03 June 2025
You are already at the latest version
Abstract
Keywords:
1. Introduction

2. Materials and Methods
2.1. Impedance Tube Measurement
3. Results
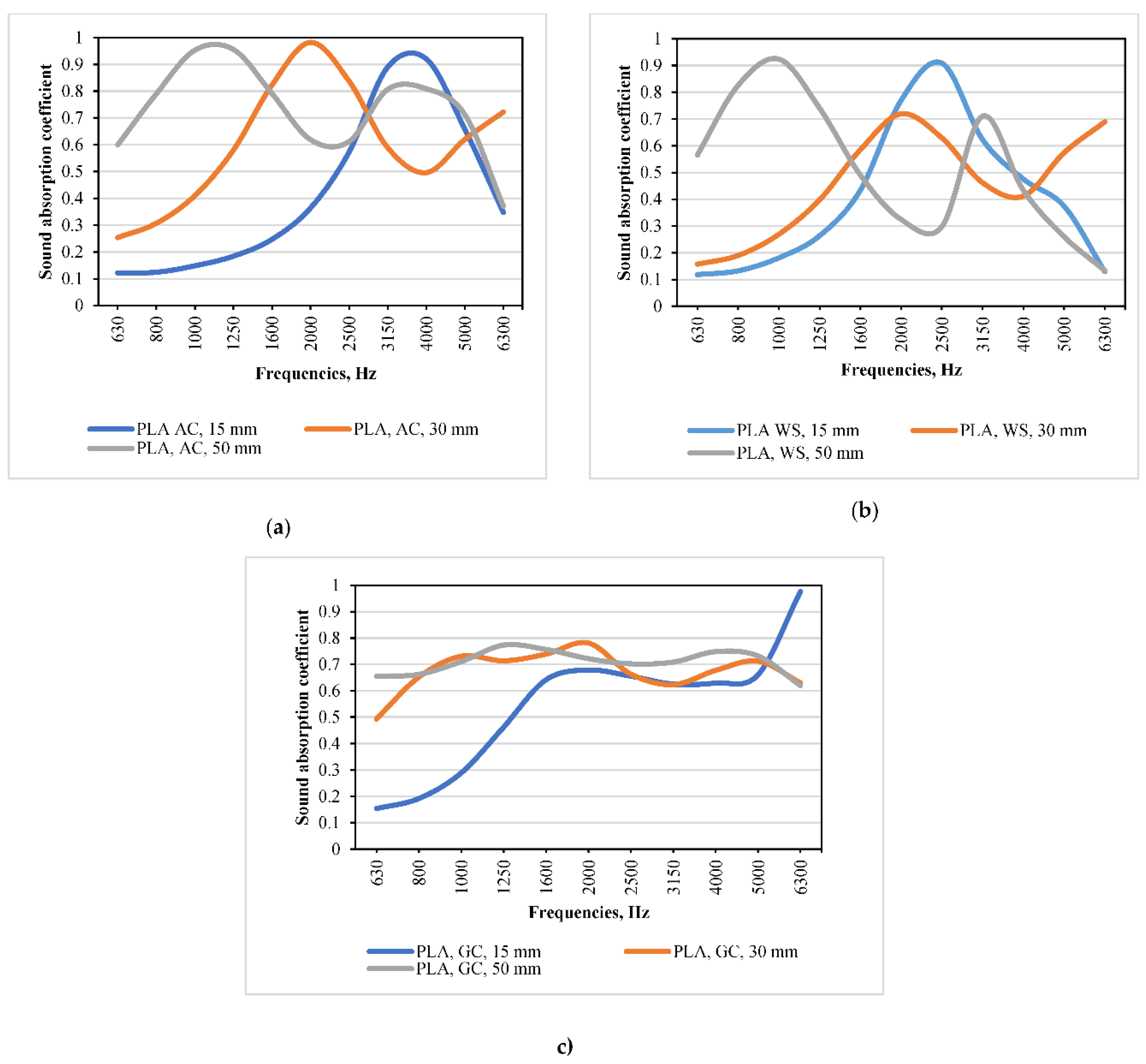
3.1. Conductive PLA & TPU with 1.5mm Perforation Panel [Without Bio-Fillers]
3.2. Conductive PLA with 1.5mm Perforation Panel [with Bio-Fillers]
3.3. Conductive TPU with 1.5mm Perforation Panel [with Bio-Fillers]
3.4. Comparison Conductive TPU with 1.5mm Perforation Panel [with Bio-Fillers]
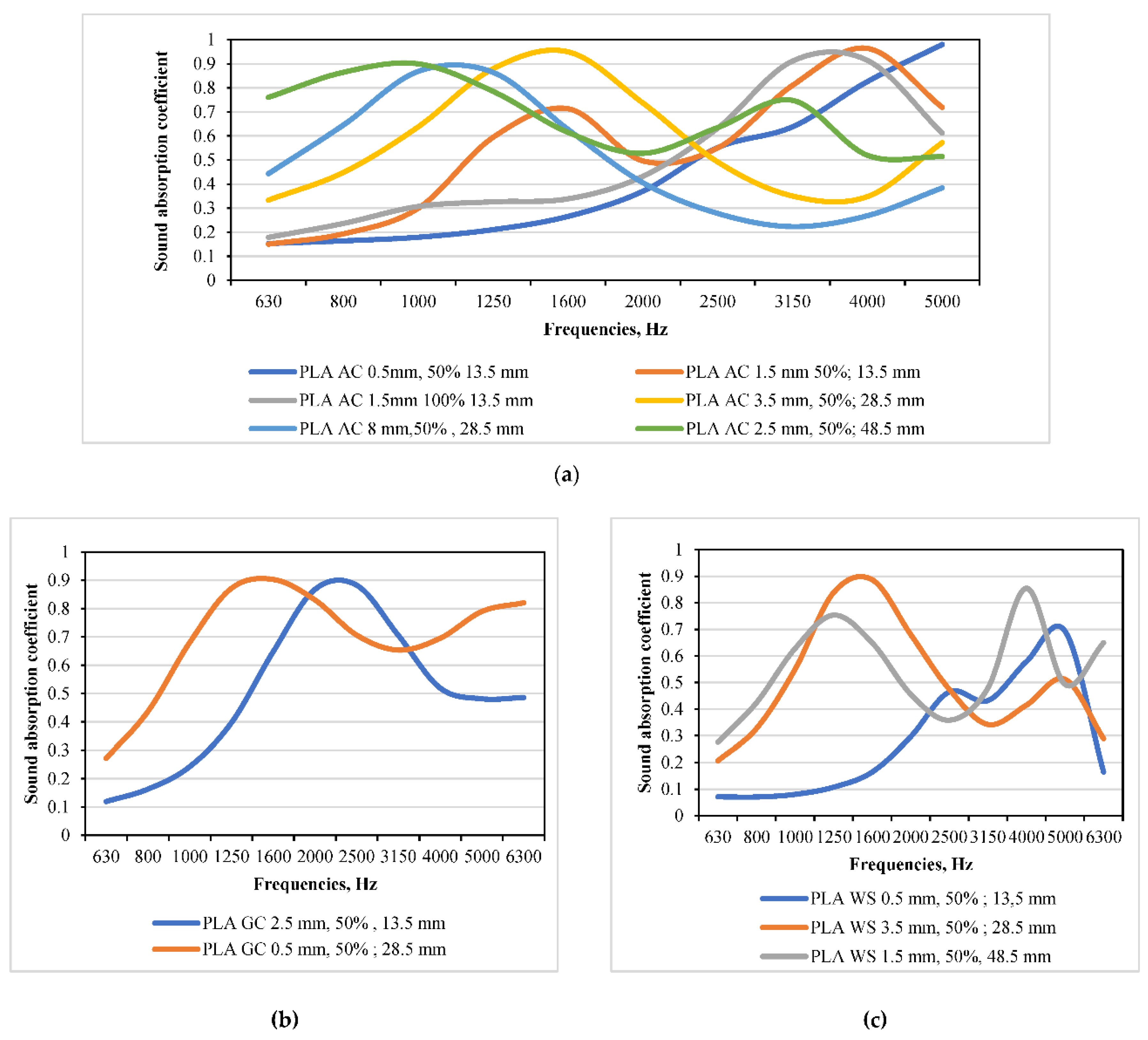
3.5. Effect of Varying Perforated Panel Thicknesses for Conductive PLA
3.6. Effect of Varying Perforated Panel Thicknesses for Conductive TPU
4. Discussion
5. Conclusions
Author Contributions
Funding
Data Availability Statement
Conflicts of Interest
References
- J. A. Alves, F. N. Paiva, L. T. Silva, and P. Remoaldo, “Low-frequency noise and its main effects on human health-A review of the literature between 2016 and 2019,” Aug. 01, 2020, MDPI AG. [CrossRef]
- A. J. Wang and W. H. Frishman, “Literature Review: Effects of Environmental Noise on the Cardiovascular Health,” Cardiol Rev, Feb. 2025. [CrossRef]
- M. Jacyna, M. Wasiak, K. Lewczuk, and G. Karoń, “Noise and environmental pollution from transport: Decisive problems in developing ecologically efficient transport systems,” Journal of Vibroengineering, vol. 19, no. 7, pp. 5639–5655, Nov. 2017. [CrossRef]
- Z. Wahid, M. F. M. Tahir, L. H. H. Dwisatrya, N. K. Khamis, M. A. F. Ahmad, and M. Z. Nuawi, “3D Printed Nature Pattern Metastructure for The Sound Absorption Coefficient,” in Journal of Physics: Conference Series, Institute of Physics, 2024. [CrossRef]
- K. Monkova, M. Vasina, P. P. Monka, J. Vanca, and D. Kozak, “Effect of 3D-Printed PLA Structure on Sound Reflection Properties,” Polymers (Basel), vol. 14, no. 3, Feb. 2022. [CrossRef]
- K. Dušek, D. Koc, P. Veselý, D. Froš, and A. Géczy, “Biodegradable Substrates for Rigid and Flexible Circuit Boards: A Review,” Jan. 20, 2024, John Wiley and Sons Inc. [CrossRef]
- Q. Ma, M. R. M. Rejab, A. P. Kumar, H. Fu, N. M. Kumar, and J. Tang, “Effect of infill pattern, density and material type of 3D printed cubic structure under quasi-static loading,” Proc Inst Mech Eng C J Mech Eng Sci, vol. 235, no. 19, pp. 4254–4272, Oct. 2021. [CrossRef]
- R. Del Rey, L. Bertó, J. Alba, and J. P. Arenas, “Acoustic characterization of recycled textile materials used as core elements in noise barriers,” Noise Control Eng J, vol. 63, no. 5, pp. 439–447, Sep. 2015. [CrossRef]
- F. Mir, D. Mandal, and S. Banerjee, “Metamaterials for Acoustic Noise Filtering and Energy Harvesting,” May 01, 2023, MDPI. [CrossRef]
- F. Rotini, L. Fiorineschi, L. Conti, and G. Rossi, “Investigating Polylactic Acid Foam–Plant Fiber Composites for Sound Absorption and Insulation,” Sustainability (Switzerland), vol. 16, no. 16, Aug. 2024. [CrossRef]
- M. Karamanlioglu, R. Preziosi, and G. Robson, “Abiotic and biotic environmental degradation of the bioplastic polymer poly(lactic acid): A review,” 2017. [CrossRef]
- M.-K. Kim et al., “기계적 메타물질 설계 및 제조방안 Design and Manufacturing of Mechanical Metamaterials: A Review,” vol. 34, no. 4, 2021. [CrossRef]
- X. Li et al., “3D-Printed Lattice Structures for Sound Absorption: Current Progress, Mechanisms and Models, Structural-Property Relationships, and Future Outlook,” Jan. 26, 2024, John Wiley and Sons Inc. [CrossRef]
- L. Xu, Z. Yang, Z. Zhang, E. Li, J. Zhou, and B. Li, “Lightweight composite meta-lattice structures with inertial amplification design for broadband low-frequency vibration mitigation,” Compos B Eng, vol. 292, Mar. 2024. [CrossRef]
- R. Mudhar, A. Mucolli, J. Ford, C. Lira, and H. Yazdani Nezhad, “Electrical and Magnetic Properties of 3D Printed Integrated Conductive Biodegradable Polymer Nanocomposites for Sustainable Electronics Development,” Journal of Composites Science, vol. 6, no. 11, Nov. 2022. [CrossRef]
- Al Unaizan, “Noise absorption properties of 3D print-ed materials with varying infill patterns and densities (Mas-ter’s thesis).,” 2023. [Online]. Available: http://eprints.kfupm.edu.sa/id/eprint/142388https://eprints.kfupm.edu.sa/id/eprint/142388/.
- A. Mohankumar, V. Packkirisamy, and A. Thirugnanasambandam, “Aerospace and automotive marvels applications of friction stir processed hybrid composites,” in Utilizing Friction Stir Techniques for Composite Hybridization, IGI Global, 2024, pp. 293–315. [CrossRef]
- N. S. Saravana Jothi and A. Hunt, “Active mechanical metamaterial with embedded piezoelectric actuation,” APL Mater, vol. 10, no. 9, Sep. 2022. [CrossRef]
- K. Sato, S. H. Yonak, T. Nomura, S.-I. Matsuzawa, and H. Iizuka, “Metamaterials for Automotive Applications,” 2025.
- C. Chen, Z. Guo, S. Liu, H. Feng, and C. Qiao, “Hybrid acousto-elastic metamaterials for simultaneous control of low-frequency sound and vibration,” J Appl Phys, vol. 129, no. 5, Feb. 2021. [CrossRef]
- Y. Chen, Y. Li, D. Xu, and W. Zhai, “Fabrication of stretchable, flexible conductive thermoplastic polyurethane/graphene composites via foaming,” RSC Adv, vol. 5, no. 100, pp. 82034–82041, Sep. 2015. [CrossRef]
- S. S. Shah, D. Singh, J. S. Saini, and N. Garg, “Sound absorption advancements: exploring 3D printing in the development of tetrakaidecahedron cell-based acoustic metamaterials,” Rapid Prototyp J, vol. 30, no. 3, pp. 609–619, Feb. 2024. [CrossRef]
- A. Leblanc and A. Lavie, “3D printed membrane-type acoustic metamaterials with structured masses,” Journal of the Acoustical Society of America, vol. 140, no. 4_Supplement, p. 3104, 2016.
- M. Cingolani, G. Fusaro, and M. Garai, “The influence of thermo-hygrometric conditions on metamaterials’ acoustic performance: an investigation on a 3-D printed coiled-up resonator,” in Internoise 2022 - 51st International Congress and Exposition on Noise Control Engineering, The Institute of Noise Control Engineering of the USA, Inc., 2022. [CrossRef]
- Z. Cai et al., “Bubble Architectures for Locally Resonant Acoustic Metamaterials,” Adv Funct Mater, vol. 29, no. 51, Dec. 2019. [CrossRef]
- Silva & Neto, “A INFLUÊNCIA DA IMPRESSÃO 3D NA PRODUÇÃO DE METAMATERIAIS ACÚSTICOS: UMA REVISÃO BIBLIOGRÁFICA,” 2023. Accessed: Apr. 23, 2025. [Online]. Available: doi://10.26678/ABCM.CREEM2023.CRE2023-0024.
- A. Vinod, M. R. Sanjay, S. Suchart, and P. Jyotishkumar, “Renewable and sustainable biobased materials: An assessment on biofibers, biofilms, biopolymers and biocomposites,” Jun. 10, 2020, Elsevier Ltd. [CrossRef]
- T. Liu et al., “Crafting ‘brick-mud’ segregated nanocomposites: a novel approach to superior electromagnetic interference shielding, electrical insulation, and thermal conductivity in biopolymers,” Nanoscale, Oct. 2024. [CrossRef]
- J. Gomez, E. Villaro, J. Perez, and B. A. Haidar, “Preparation of electrically conductive PLA/rGO nanocomposite filaments,” Graphene Technol, vol. 5, no. 3–4, pp. 41–48, Dec. 2020. [CrossRef]
- A. P. B. Silva, L. S. Montagna, F. R. Passador, M. C. Rezende, and A. P. Lemes, “Biodegradable nanocomposites based on PLA/PHBV blend reinforced with carbon nanotubes with potential for electrical and electromagnetic applications,” Express Polym Lett, vol. 15, no. 10, pp. 987–1003, Oct. 2021. [CrossRef]
- S. Das Ramôa, G. M. Barra, R. V. Oliveira, M. G. De Oliveira, M. Cossa, and B. G. Soares, “Electrical, rheological and electromagnetic interference shielding properties of thermoplastic polyurethane/carbon nanotube composites,” Polym Int, vol. 62, no. 10, pp. 1477–1484, Oct. 2013. [CrossRef]
- N. M. Nordin, Y. F. Buys, H. Anuar, M. H. Ani, and M. M. Pang, “Development of Conductive Polymer Composites from PLA/TPU Blends Filled with Graphene Nanoplatelets,” 2019. [Online]. Available: www.sciencedirect.com.
- Z.-J. Zhou, Z.-X. Wang, X. Han, and J.-W. Pu, “Cnt@ pdms/nw composite materials with superior electromagnetic shielding,” Holzforschung, vol. 76, no. 3, pp. 299–304, 2022.
- W. Shao et al., “Cellulose nanofiber-based nanocomposite films with efficient electromagnetic interference shielding and fire-resistant performance,” ACS Appl Mater Interfaces, vol. 16, no. 32, pp. 42674–42686, 2024.
- Y. Miao et al., “Electrically conductive bamboo charcoal@ cellulose nanofibrils based composite membranes designed for electromagnetic interference shielding and flame retardant,” Ind Crops Prod, vol. 206, p. 117713, 2023.
- L.-Q. Zhang et al., “Multifunctional cellulose composite films with dual-continuous CNT/BN networks for synchronously enhanced electromagnetic interference shielding ability and thermal conductivity,” Cellulose, vol. 31, no. 4, pp. 2397–2412, 2024.
- B. Yu et al., “Fabrication of PLA/CNC/CNT conductive composites for high electromagnetic interference shielding based on Pickering emulsions method,” Compos Part A Appl Sci Manuf, vol. 125, p. 105558, 2019.
- Z. Xu et al., “Three-dimensional-printed carbon nanotube/polylactic acid composite for efficient electromagnetic interference shielding,” Polymers (Basel), vol. 15, no. 14, p. 3080, 2023.
- B. Wu et al., “Enhanced Mechanical and Multifunctional Properties of GNPs/CNTs Hybridized PLA Nanocomposites by Implementing Dual-Processing of Pickering Emulsion-Melt Blending Methods,” Macromol Mater Eng, p. 2400306, 2024.
- J. You et al., “Controlled conductive networks in 3D-printed TPU/CNTs composites for enhanced EMI shielding,” Polym Compos, 2024.
- B. Shin, S. Mondal, M. Lee, S. Kim, Y.-I. Huh, and C. Nah, “Flexible thermoplastic polyurethane-carbon nanotube composites for electromagnetic interference shielding and thermal management,” Chemical Engineering Journal, vol. 418, p. 129282, 2021.
- Y. Guo, X. Chen, C. Wei, Y. Luo, J. Chen, and Y. Zhu, “Flexible conductive polymer composite film with sandwich-like structure for ultra-efficient and high-stability electromagnetic interference shielding,” Compos Sci Technol, vol. 255, p. 110717, 2024.
- F. Maharlika and Aida, “Utilization of Sawdust as Interior Acoustic,” in IOP Conference Series: Materials Science and Engineering, IOP Publishing Ltd, Aug. 2020. [CrossRef]
- G. Mudashir, “ASSESSMENT OF ACOUSTIC PROPERTY OF SAWDUST AND FINE SHARP SAND FOR THE FABRICATION OF SOUND-PROOF SECURITY DOOR,” FUDMA JOURNAL OF SCIENCES, vol. 6, no. 1, pp. 129–134, Mar. 2022. [CrossRef]
- C. W. Kang, S. W. Oh, T. B. Lee, W. Kang, and J. Matsumura, “Sound absorption capability and mechanical properties of a composite rice hull and sawdust board,” Journal of Wood Science, vol. 58, no. 3, pp. 273–278, 2012. [CrossRef]
- J. Nyumutsu, A. Agyei-Agyemang, Y. Andoh, P. O. Tawiah, and B. A. Asaaga, “THE POTENTIAL OF SAWDUST AND COCONUT FIBER AS SOUND-REDUCTION MATERIALS.”.
- H. A. de Oliveira, C. P. dos Santos, F. M. C. de Melo, V. G. de O. Almeida, and Z. S. Macedo, “Lightweight aggregate: a sustainable alternative for reuse of sawdust waste in the industrial process,” Revista Brasileira de Ciências Ambientais, vol. 58, no. 1, pp. 125–133, Aug. 2023. [CrossRef]
- R. Haliq, A. F. Rayudi, and A. Suprayitno, “The Effect of Filler Composition and Shape to Sound Capability Insulation and Modulus Elasticity Natural Fiber Galam Wood (Melaleuca Leucadendra) - Polyester,” in IOP Conference Series: Materials Science and Engineering, Institute of Physics Publishing, Mar. 2019. [CrossRef]
- D. Li and C. Huang, “Thermal insulation performances of carbonized sawdust packed bed for energy saving in buildings,” Energy Build, vol. 254, Jan. 2022. [CrossRef]
- S. Mallakpour, F. Sirous, and C. M. Hussain, “Sawdust, a versatile, inexpensive, readily available bio-waste: From mother earth to valuable materials for sustainable remediation technologies,” Sep. 01, 2021, Elsevier B.V. [CrossRef]
- B. Gyawali, R. Haghnazar, P. Akula, K. Alba, and V. Nasir, “A review on 3D printing with clay and sawdust/natural fibers: Printability, rheology, properties, and applications,” Dec. 01, 2024, Elsevier B.V. [CrossRef]
- F. Kartal and A. Kaptan, “Sustainable Reinforcement of PLA Composites with Waste Beech Sawdust for Enhanced 3D-Printing Performance,” J Mater Eng Perform, 2024. [CrossRef]
- N. V. Evdokimov, A. M. Baganik, N. P. Midukov, V. S. Kurov, and E. L. Akim, “Evaluation of the Possibility of Using a Wood-Based Composite Material for Layered Formation of Items Considering Thermomechanical Properties,” Fibre Chemistry, May 2024. [CrossRef]
- Y. Huang, S. Löschke, and G. Proust, “In the mix: The effect of wood composition on the 3D printability and mechanical performance of wood-plastic composites,” Composites Part C: Open Access, vol. 5, Jul. 2021. [CrossRef]
- Y. T. Ramisetty, J. Schuster, and Y. P. Shaik, “Investigating the Impact of 3D Printing Parameters on Hexagonal Structured PLA+ Samples and Analyzing the Incorporation of Sawdust and Soybean Oil as Post-Print Fillers,” Journal of Manufacturing and Materials Processing, vol. 8, no. 5, p. 193, Sep. 2024. [CrossRef]
- K. Henke and S. Treml, “Wood based bulk material in 3D printing processes for applications in construction,” European Journal of Wood and Wood Products, vol. 71, no. 1, pp. 139–141, Jan. 2013. [CrossRef]
- J. G. Suh, K. min Baik, Y. T. Kim, and S. S. Jung, “Measurement and calculation of the sound absorption coefficient of pine wood charcoal,” Journal of the Korean Physical Society, vol. 63, pp. 1576–1582, 2013.
- S.-S. Chang, T.-C. An, W.-J. Lai, and Y.-C. Chung, “Spunbond non-woven containing bamboo charcoal and method for fabricating the same,” Jun. 12, 2008, Google Patents.
- V. K. Selvaraj et al., “Sustainable development, optimization, and simulation of bio-based polyurethane foam composites for enhanced building acoustics,” Journal of Building Engineering, vol. 99, p. 111576, 2025.
- S. Sakthivel et al., “Sound absorbing and insulating properties of natural fiber hybrid composites using sugarcane bagasse and bamboo charcoal,” J Eng Fiber Fabr, vol. 16, 2021. [CrossRef]
- V. V Voronina and K. V Horoshenkov, “Acoustic properties of unconsolidated granular mixes,” Applied Acoustics, vol. 65, no. 7, pp. 673–691, 2004.
- O. Khrystoslavenko, T. Astrauskas, and R. Grubliauskas, “Sound absorption properties of charcoal made from wood waste,” Sustainability, vol. 15, no. 10, p. 8196, 2023.
- O. Khrystoslavenko and R. Grubliauskas, “Investigation of Acoustic Efficiency of Wood Charcoal in Impedance Tube for Usage in Sound-Reflective Devices,” Sustainability (Switzerland), vol. 14, no. 15, Aug. 2022. [CrossRef]
- O. Khrystoslavenko and M. U. Sikandar, “Acoustic performance of mesoporous charcoal: A comparative study using impedance tube, anechoic chamber, and mass law,” Ecocycles, vol. 10, no. 2, pp. 80–95, 2024.
- Z. W. Ahmed and A. I. Kadim, “The role of Palm Fronds Charcoal Waste Particles on Mechanical, Thermal, and Acoustic Insulation Properties of Epoxy Composite,” in Journal of Physics: Conference Series, Institute of Physics, 2024. [CrossRef]
- Y. Chen and N. Jiang, “Carbonized and activated non-wovens as high-performance acoustic materials: Part I noise absorption,” Textile Research Journal, vol. 77, no. 10, pp. 785–791, 2007.
- Y. Shen and G. Jiang, “Effects of different parameters on acoustic properties of activated carbon fiber felts,” The Journal of The Textile Institute, vol. 105, no. 4, pp. 392–397, 2014.
- Y. Shen and G. Jiang, “Sound absorption properties of composite structure with activated carbon fiber felts,” The Journal of The Textile Institute, vol. 105, no. 10, pp. 1100–1107, 2014.
- N. Jiang, J. Y. Chen, and D. V Parikh, “Acoustical evaluation of carbonized and activated cotton nonwovens,” Bioresour Technol, vol. 100, no. 24, pp. 6533–6536, 2009.
- H. Yang, T. Shi, G. Song, and J. S. Bolton, “Granular activated carbon sound absorption predictions made using measured material parameters,” 2024.
- N. Gao, B. Cheng, H. Hou, and R. Zhang, “Mesophase pitch based carbon foams as sound absorbers,” Mater Lett, vol. 212, pp. 243–246, 2018.
- G. Song, Z. Mo, and J. S. Bolton, “Experimental study and modeling of the level-dependent acoustical behavior of granular particle stacks,” 2022.
- F. Bechwati, T. J. Cox, O. Umnova, and M. R. Avis, “Enhancing bass absorbers using activated carbon,” J Acoust Soc Am, vol. 123, no. 5_Supplement, p. 2982, 2008.
- F. Bechwati et al., “Low frequency sound propagation in activated carbon,” J Acoust Soc Am, vol. 132, no. 1, pp. 239–248, Jul. 2012. [CrossRef]
- H. Karpinski, O. Umnova, and J. Hargreaves, “Sound propagation in activated carbon felts,” in INTER-NOISE and NOISE-CON Congress and Conference Proceedings, Institute of Noise Control Engineering, 2016, pp. 6298–6303.
- G. Song, Z. Mo, T. Shi, and J. S. Bolton, “Modeling a low-frequency sound absorber consisting of a granular activated carbon stack backed by a poro-elastic layer,” in INTER-NOISE and NOISE-CON Congress and Conference Proceedings, Institute of Noise Control Engineering, 2024, pp. 1081–1091.
- R. Sheng, G. Jiang, K. Liu, and R. Liu, “Design of Monitorable Wrist Orthosis Based on 3D Printing,” Zhongguo Yi Liao Qi Xie Za Zhi, vol. 45, no. 5, pp. 507–511, 2021.
- A. Oarcea, F. Popister, P. Ciudin, and M. C. Salatioan, “Development of Smart Orthosis with Real-time Corrective Feedback,” in 2023 17th International Conference on Engineering of Modern Electric Systems (EMES), IEEE, 2023, pp. 1–4.
- E. Cantu et al., “Printed multi-EMG electrodes on the 3D surface of an orthosis for rehabilitation: A feasibility study,” IEEE Sens J, vol. 21, no. 13, pp. 14407–14417, 2021.
- D. Miles and Y. Tadesse, “Econo-Finger: 3D Printed Soft Orthotic Finger With Embedded Strain Gauge and Actuated by Coiled Shape Memory Alloy Muscles,” in Smart Materials, Adaptive Structures and Intelligent Systems, American Society of Mechanical Engineers, 2023, p. V001T04A014.
- K. Saptaji et al., “Improvement of ankle foot orthotics fabrication using 3D printing method,” Sinergi (Indonesia), vol. 28, no. 3, pp. 595–604, 2024. [CrossRef]
- S. Portnoy et al., “Automated 3D-printed finger orthosis versus manual orthosis preparation by occupational therapy students: Preparation time, product weight, and user satisfaction,” Journal of Hand Therapy, vol. 33, no. 2, pp. 174–179, Apr. 2020. [CrossRef]
- M. Heydari Gharahcheshmeh and K. Chowdhury, “Enhancing Capacitance of Carbon Cloth Electrodes via Highly Conformal PEDOT Coating Fabricated by the OCVD Method Utilizing SbCl5 Oxidant,” Adv Mater Interfaces, vol. 11, no. 20, Jul. 2024. [CrossRef]
- R. Hegde and B. Pramanick, “Polymer nanocomposite thin films prepared using single- and multi-walled carbon nanotubes for flexible electronics,” Journal of Materials Science: Materials in Electronics, vol. 34, no. 12, Apr. 2023. [CrossRef]
- M. A. Memon et al., “Conjunction of Conducting Polymer Nanostructures with Macroporous Structured Graphene Thin Films for High-Performance Flexible Supercapacitors,” ACS Appl Mater Interfaces, vol. 8, no. 18, pp. 11711–11719, May 2016. [CrossRef]
- A. H. Lu, G. P. Hao, and Q. Sun, “Design of three-dimensional porous carbon materials: From static to dynamic skeletons,” Angewandte Chemie - International Edition, vol. 52, no. 31, pp. 7930–7932, Jul. 2013. [CrossRef]
- Protoplant, “Protopasta Technical Data Sheet.” Accessed: May 26, 2025. [Online]. Available: https://cdn.shopify.com/s/files/1/0717/9095/files/CDP1xxxx_TDS.pdf?v=1731010137.
- Ninjatek Eel, “Eel 3D Printing Filament Technical Specification.” Accessed: May 26, 2025. [Online]. Available: https://ninjatek.com/wp-content/uploads/Eel-TDS.pdf.
- I. S. O. 10534-2, “Acoustics—Determination of sound absorption coefficient and impedance in impedance tubes—Part 2: Transfer-function method,” 1998, International Organization for Standardization Geneva, Switzerland.
- O. Khrystoslavenko and M. U. Sikandar, “Acoustic performance of mesoporous charcoal: A comparative study using impedance tube, anechoic chamber, and mass law,” Ecocycles, vol. 10, no. 2, pp. 80–95, 2024.
- M. Usman Sikandar, O. Khrystoslavenko, D. Eidukynas, and T. Januševičius, “Acoustic performance analysis of perforated metamaterials: Comparative study of bio-composites and synthetic conductive materials,” 28th Conference for Junior Researchers „Science – Future of Lithuania, Apr. 2025. [CrossRef]
- K. Höschler and N. Modler, “Novel Jet Engine Acoustic Liner with Improved Broadband Noise Absorption,” 2018. [Online]. Available: https://www.researchgate.net/publication/336889116.
- K. Monkova, M. Vasina, P. P. Monka, D. Kozak, and J. Vanca, “Effect of the pore shape and size of 3d-printed open-porous abs materials on sound absorption performance,” Materials, vol. 13, no. 20, pp. 1–19, Oct. 2020. [CrossRef]
- A. Shaaban, S. M. Se, I. M. Ibrahim, and Q. Ahsan, “Preparation of rubber wood sawdust-based activated carbon and its use as a filler of polyurethane matrix composites for microwave absorption,” Xinxing Tan Cailiao/New Carbon Materials, vol. 30, no. 2, pp. 167–175, Apr. 2015. [CrossRef]
- E. Taer et al., “Impedance spectroscopic analysis of composite electrode from activated carbon/conductive materials/ruthenium oxide for supercapacitor applications,” in AIP Conference Proceedings, AIP Publishing LLC, 2015, p. 030004.
- Y. Sasaki, G. Ben, A. Hirabayashi, and S. Nomura, “Development of Underground Composite Pipes Having Health Monitoring Functions,” in Design, Manufacturing and Applications of Composites: Proceedings of the Ninth Joint Canada-Japan Workshop on Composites; Kyoto Institute of Technology, Kyoto, Japan July 2012, DEStech Publications, Inc, 2013, p. 55.
- İ. Kartal and İ. Karagöz, “Enhancing natural rubber properties: a comprehensive study on the synergistic effects of wood sawdust and carbon black as fillers in rubber composites,” Polymer Bulletin, May 2024. [CrossRef]
- J. P. Castro et al., “Massaranduba sawdust: A potential source of charcoal and activated carbon,” Polymers (Basel), vol. 11, no. 8, 2019. [CrossRef]
- M. P. M. Hanif, A. R. Rozyanty, A. W. M. Kahar, S. J. Tan, and A. G. Supri, “Effect of carbonized wood fiber and carbon black loading on density, tensile properties, electrical conductivity and swelling of ethylene vinyl acetate copolymer composites,” 2019. [Online]. Available: www.sciencedirect.comwww.materialstoday.com/proceedings2214-7853.
- M. Al-Rubaiai, T. Pinto, D. Torres, N. Sepulveda, and X. Tan, “Characterization of a 3d-printed conductive pla material with electrically controlled stiffness,” in Smart Materials, Adaptive Structures and Intelligent Systems, American Society of Mechanical Engineers, 2017, p. V001T01A003.









| Panel filler (g) | Weight Percentages | Cavity Dimensions | Infill Density | Material Type |
| Granular Activated Carbon | 2.96 g, 5.96 g, 11 g | Air gap 48.5 mm, 28.5 mm, 13.5mm (with 5 mm transition fit) + Perforation Panel 0.5 mm, 1.5 mm, 2.5 mm, 3.5 mm, 8 mm |
50%, 100% |
Conductive PLA (ProtoPasta), TPU (NinjaTek) |
| Wood Sawdust | 1.27 g, 0.80 g, 0.32 g | |||
| Granular Charcoal | 5.15 g, 3.14 g, 1.45 g |
Disclaimer/Publisher’s Note: The statements, opinions and data contained in all publications are solely those of the individual author(s) and contributor(s) and not of MDPI and/or the editor(s). MDPI and/or the editor(s) disclaim responsibility for any injury to people or property resulting from any ideas, methods, instructions or products referred to in the content. |
© 2025 by the authors. Licensee MDPI, Basel, Switzerland. This article is an open access article distributed under the terms and conditions of the Creative Commons Attribution (CC BY) license (http://creativecommons.org/licenses/by/4.0/).