Submitted:
29 May 2025
Posted:
30 May 2025
You are already at the latest version
Abstract
Keywords:
1. Introduction
2. Review of EPG Model For TDDB
3. TDDB SPICE Modeling Method
3.1. CF Compact Model
3.2. TDDB SPICE Model
3.3. Process Variation Model
3.4. TDDB SPICE Modeling Framework
4. Results and Discussions
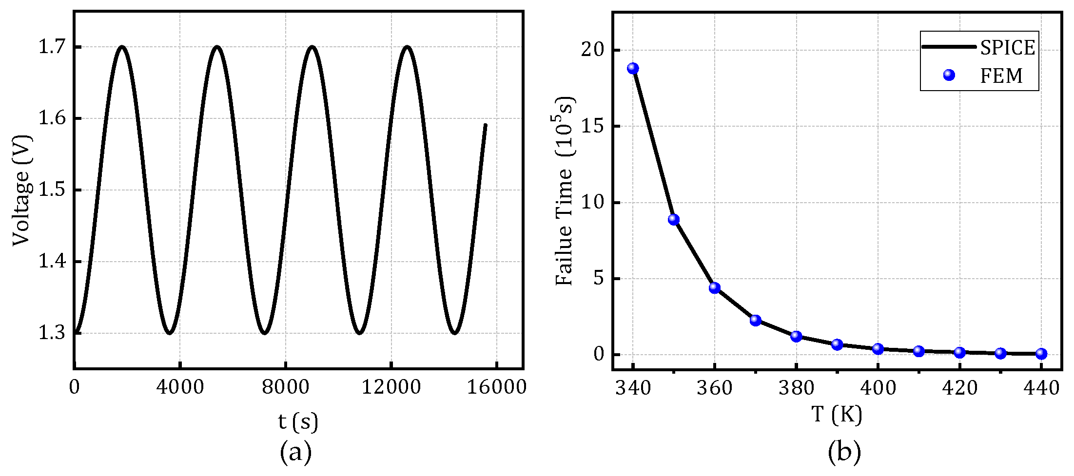
4.1. Simulation Results of the EPG Model
4.2. Validation of the SPICE Degradation Model
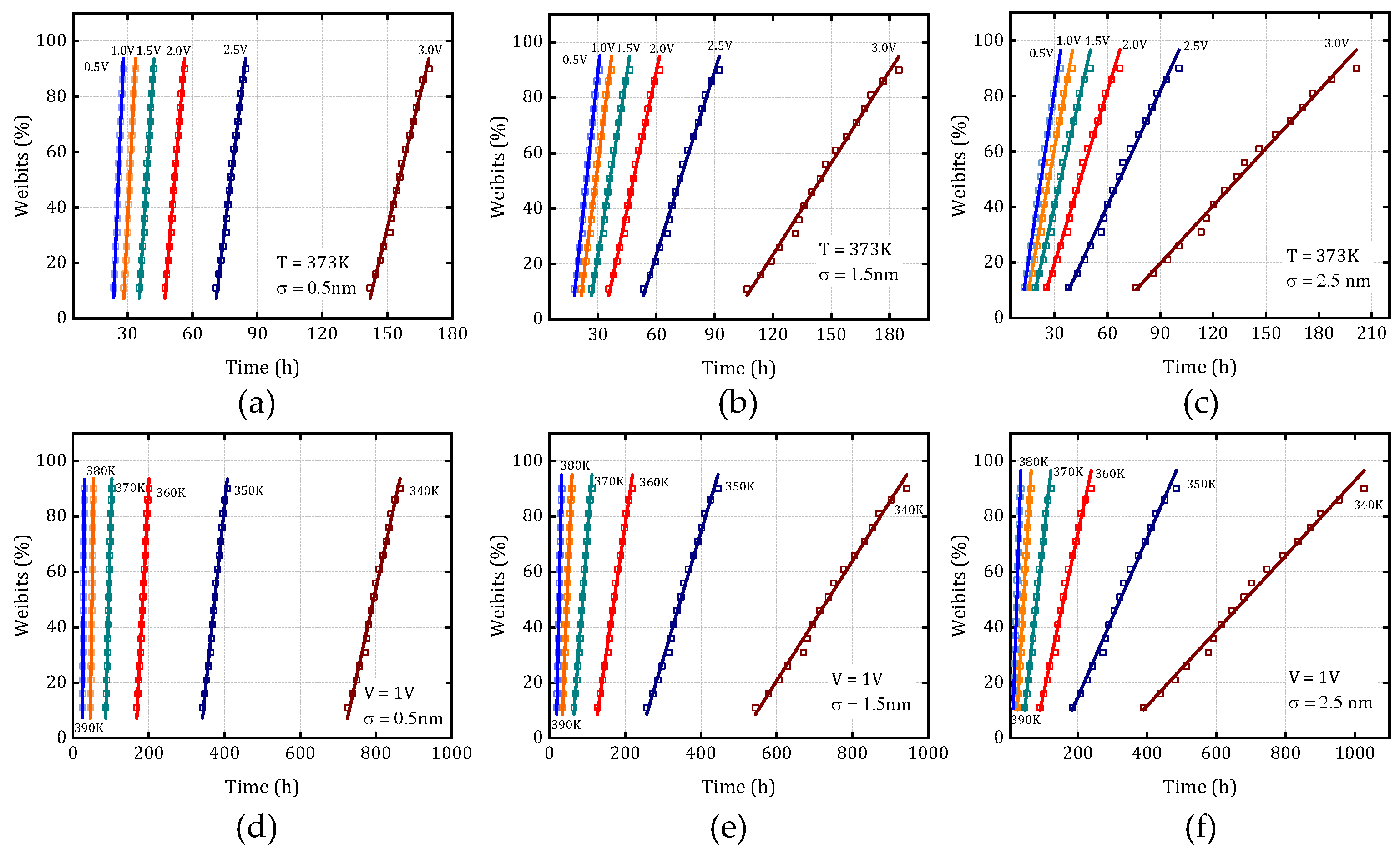
4.3. Analysis of Weibull Distribution Model Results
5. Conclusions
Author Contributions
Funding
Data Availability Statement
Conflicts of Interest
References
- Long, Y.; Lv, M.; He, H. Failure Mechanism and Predictive Modeling for Microbump Interconnects Drop Life Under Diverse Impact Angles in Advanced Packaging. IEEE Trans. Device Mater. Relib. 2024, 24, 241–249. [Google Scholar] [CrossRef]
- Arriola, E.R.; Ubando, A.T.; Gonzaga, J.A.; Lee, C.-C. Wafer-Level Chip-Scale Package Lead-Free Solder Fatigue: A Critical Review. Eng. Fail. Anal., 2023, 144, 106986. [Google Scholar] [CrossRef]
- Tiwary, N.; Ross, G.; Vuorinen, V.; Paulasto-Krockel, M. Impact of Inherent Design Limitations for Cu–Sn SLID Microbumps on Its Electromigration Reliability for 3D ICs. IEEE Trans. Electron Devices 2023, 70, 222–229. [Google Scholar] [CrossRef]
- Song, K.-Y.; Na, S.; Kim, B.-J.; Lee, H.-J. Atomic Diffusion and Electrical Reliability of NiAl/SiO2 Interconnect: Breakdown Voltage and TDDB Characteristics. J. Mater. Res. Technol. 2024, 30, 7981–7987. [Google Scholar] [CrossRef]
- Sune, J.; Wu, E.Y.; Lai, W.L. Statistics of Competing Post-Breakdown Failure Modes in Ultrathin MOS Devices. IEEE Trans. Electron Devices 2006, 53, 224–234. [Google Scholar] [CrossRef]
- Chu, E.; Luo, Y.; Gupta, P. Design Impacts of Back-End-of-Line Line Edge Roughness. IEEE Trans. Semicond. Manufact. 2020, 33, 32–41. [Google Scholar] [CrossRef]
- Yu, L.C.; Dunne, G.T.; Matocha, K.S.; Cheung, K.P.; Suehle, J.S.; Sheng, K. Reliability Issues of SiC MOSFETs: A Technology for High-Temperature Environments. IEEE Trans. Device Mater. Relib. 2010, 10, 418–426. [Google Scholar] [CrossRef]
- Bhatheja, K.; Jin, X.; Strong, M.; Chen, D. Fast Gate Leakage Current Monitor With Large Dynamic Range. IEEE Trans. Circuits Syst. II 2021, 68, 1690–1694. [Google Scholar] [CrossRef]
- Wang, G.; Peng, B.; Yuan, L.; Zhang, Y.; Jia, R. Impact of Process on Gate Leakage Current and Time-Dependent Dielectric Breakdown Failure Mechanisms of 4H-SiC MOS Capacitors. IEEE Trans. Electron Devices 2024, 71, 4039–4044. [Google Scholar] [CrossRef]
- Hill, I.; Chanawala, P.; Singh, R.; Sheikholeslam, S.A.; Ivanov, A. CMOS Reliability From Past to Future: A Survey of Requirements, Trends, and Prediction Methods. IEEE Trans. Device Mater. Relib. 2022, 22, 1–18. [Google Scholar] [CrossRef]
- Aviñó-Salvadó, O.; Buttay, C.; Bonet, F.; Raynaud, C.; Bevilacqua, P.; Rebollo, J.; Morel, H.; Perpiñà, X. Physics-Based Strategies for Fast TDDB Testing and Lifetime Estimation in SiC Power MOSFETs. IEEE Trans. Ind. Electron. 2024, 71, 5285–5295. [Google Scholar] [CrossRef]
- Vecchi, S.; Padovani, A.; Pavan, P.; Puglisi, F.M. From Accelerated to Operating Conditions: How Trapped Charge Impacts on TDDB in SiO₂ and HfO₂ Stacks. IEEE Trans. Device Mater. Relib. 2024, 24, 194–202. [Google Scholar] [CrossRef]
- Cheng, H.-C.; Syu, J.-Y.; Wang, H.-H.; Liu, Y.-C.; Kao, K.-S.; Chang, T.-C. Power Cycling Modeling and Lifetime Evaluation of SiC Power MOSFET Module Using a Modified Physical Lifetime Model. IEEE Trans. Device Mater. Relib. 2024, 24, 142–153. [Google Scholar] [CrossRef]
- Lloyd, J.R. The Lucky Electron Model for TDDB in Low-k Dielectrics. IEEE Trans. Device Mater. Relib. 2016, 16, 452–454. [Google Scholar] [CrossRef]
- Vici, A.; Degraeve, R.; Kaczer, B.; Franco, J.; Van Beek, S.; De Wolf, I. A Multi-Energy Level Agnostic Approach for Defect Generation during TDDB Stress. Solid-State Electronics 2022, 193, 108298. [Google Scholar] [CrossRef]
- Vici, A.; Degraeve, R.; Franco, J.; Kaczer, B.; Roussel, P.J.; De Wolf, I. Analytical Markov Model to Calculate TDDB at Any Voltage and Temperature Stress Condition. IEEE Trans. Electron Devices 2023, 70, 6512–6519. [Google Scholar] [CrossRef]
- Peng, S.; Zhou, H.; Kim, T.; Chen, H.-B.; Tan, S.X.-D. Physics-Based Compact TDDB Models for Low- k BEOL Copper Interconnects With Time-Varying Voltage Stressing. IEEE Trans. VLSI Syst. 2018, 26, 239–248. [Google Scholar] [CrossRef]
- Wu, E.; Muralidhar, R.; Shaw, T.; Li, B.; Kim, A.; Stathis, J.; Bonilla, G. A New and Holistic Modelling Approach for Impact of Line-Edge Roughness on Dielectric Reliability. In Proceedings of the 2017 IRPS; IEEE: Monterey, CA, USA, April, 2017; pp. 5B-5.1–5B-5.8. [Google Scholar]
- Stucchi, M.; Roussel, P.J.; Tokei, Z.; Demuynck, S.; Groeseneken, G. A Comprehensive LER-Aware TDDB Lifetime Model for Advanced Cu Interconnects. IEEE Trans. Device Mater. Relib. 2011, 11, 278–289. [Google Scholar] [CrossRef]
- Zhang, W.Y.; Silvestre, M.C.; Selvam, A.; Ramanathan, E.; Ordonio, C.; Schaller, J.; Shen, T.; Yeap, K.B.; Capasso, C.; Justison, P.; et al. An Investigation of Process Dependence of Porous IMD TDDB. In Proceedings of the 2015 IRPS; IEEE: Monterey, CA, USA, April 2015; p. PI.1.1-PI.1.4.
- Shimeng Yu; Wong, H.-S.P. Compact Modeling of Conducting-Bridge Random-Access Memory (CBRAM). IEEE Trans. Electron Devices 2011, 58, 1352–1360.
- J. Guy et al., “Investigation of Forming, SET, and Data Retention of Conductive-Bridge Random-Access Memory for Stack Optimization,” IEEE Trans. Electron Devices, Nov. 2015,62,3482–3489.
- D. Kocaay, Ph. J. Roussel, K. Croes, I. Ciofi, Y. Saad, and I. De Wolf, “LER and spacing variability on BEOL TDDB using E-field mapping: Impact of field acceleration,” Microelectronics Reliability, Sep. 2017, 76–77, 131–135.
- Bashir, M.; Kim, D.H.; Athikulwongse, K.; Lim, S.K.; Milor, L. Backend Low-k TDDB Chip Reliability Simulator. In Proceedings of the 2011 IRPS; IEEE: Monterey, CA, USA, April 2011; p. 2C.2.1-2C.2.10.












| Param | Values | Units |
|---|---|---|
| 0.8 | eV | |
| 2.9 | - | |
| 370 | K | |
| 2.24⨯10-11 | m2/s | |
| 1.38⨯10-23 | - | |
| 1 | V |
| Param | Values | Units |
|---|---|---|
| 2.86 | eV | |
| k | 1.38e-23 | J/K |
| 0.2 | nm | |
| 1 | - | |
| 1.6e-19 | C | |
| 0.9 | - | |
| 5e12 | Hz |
| T(K) | Voltage (V) | R.E% | T(K) | Voltage (V) | R.E% |
|---|---|---|---|---|---|
| 350 | 0.5 | 1.39 | 410 | 0.5 | 1.18 |
| 350 | 1.0 | 1.19 | 410 | 1.0 | 1.81 |
| 350 | 1.5 | 0.99 | 410 | 1.5 | 1.81 |
| 350 | 2.0 | 0.52 | 410 | 2.0 | 0.55 |
| 350 | 2.5 | 1.66 | 410 | 2.5 | 1.02 |
| 350 | 3.0 | 2.12 | 410 | 3.0 | 1.02 |
| 370 | 0.5 | 0.49 | 430 | 0.5 | 1.37 |
| 370 | 1.0 | 0.90 | 430 | 1.0 | 1.68 |
| 370 | 1.5 | 0.68 | 430 | 1.5 | 1.84 |
| 370 | 2.0 | 0.45 | 430 | 2.0 | 0.84 |
| 370 | 2.5 | 0.20 | 430 | 2.5 | 0.90 |
| 370 | 3.0 | 0.81 | 430 | 3.0 | 1.60 |
| 390 | 0.5 | 1.18 | 450 | 0.5 | 0.93 |
| 390 | 1.0 | 1.81 | 450 | 1.0 | 2.38 |
| 390 | 1.5 | 1.81 | 450 | 1.5 | 1.77 |
| 390 | 2.0 | 0.55 | 450 | 2.0 | 1.03 |
| 390 | 2.5 | 1.02 | 450 | 2.5 | 0.91 |
| 390 | 3.0 | 1.02 | 450 | 3.0 | 1.54 |
Disclaimer/Publisher’s Note: The statements, opinions and data contained in all publications are solely those of the individual author(s) and contributor(s) and not of MDPI and/or the editor(s). MDPI and/or the editor(s) disclaim responsibility for any injury to people or property resulting from any ideas, methods, instructions or products referred to in the content. |
© 2025 by the authors. Licensee MDPI, Basel, Switzerland. This article is an open access article distributed under the terms and conditions of the Creative Commons Attribution (CC BY) license (http://creativecommons.org/licenses/by/4.0/).