Submitted:
28 May 2025
Posted:
29 May 2025
You are already at the latest version
Abstract
Keywords:
1. Introduction
- This approach introduces a novel method that combines deep learning, the Kalman filter, and FFT - fundamental concepts in signal processing - to recognize different surface types. The proposed approach is anticipated to offer significant benefits in the domains of human behavior classification and recognition.
- This study also explores the optimal placement of wearable sensors for sidewalk surface detection. We evaluate the recognition accuracy across different configurations, including single-, two-, and three-sensor setups (see Table 4). The highest accuracy was obtained with sensors positioned on both the hip and ankle.
2. Related Works
2.1. Traditional Approaches for Sidewalk Assessment
2.2. Advanced Approaches for Sidewalk Assessment
3. Classification of Sidewalk Surface Types using Deep Learning and Signal Processing

3.1. Data Collection

3.2. Features Extraction using FFT, Kalman, Low Pass, and Moving Average Filters
| Category | Feture | Description |
|---|---|---|
| ]8*Time Domain | AML | average of ML-axis for 515 acceleration value |
| SDML | standard deviation of ML-axis for 515 acceleration value | |
| AAP | average of AP-axis for 515 acceleration value | |
| SDAP | standard deviation of AP-axis for 515 acceleration value | |
| AV | average of V-axis for 515 acceleration value | |
| SDV | standard deviation of V-axis for 515 acceleration value | |
| ASVM | average of SVM for 515 acceleration value | |
| SDSVM | standard deviation of SVM for 515 acceleration value | |
| ]6*Filter Domain | AMAF | average of moving average filter for SVM 515 acceleration value |
| SDMAF | standard deviation of moving average filter for SVM 515 acceleration value | |
| ALPF | average of low pass filter for SVM 515 acceleration value | |
| SDLPF | standard deviation of low pass filter for SVM 515 acceleration value | |
| AKF | average of Kalman filter for SVM 515 acceleration value | |
| SDKF | standard deviation of Kalman filter for SVM 515 acceleration value | |
| ]1*Frequency Domain | SDFFT | standard deviation of FFT for SVM 515 acceleration value |
3.3. Structure of Deep Nerural Network
| Layer | Output Shape | Parameters |
|---|---|---|
| Linear | [-1, 1000] | 16,000 |
| ReLU | [-1, 1000] | 0 |
| Linear | [-1, 800] | 800,800 |
| ReLU | [-1, 800] | 0 |
| Linear | [-1, 5] | 4,005 |
| Sigmoid | [-1, 5] | 0 |
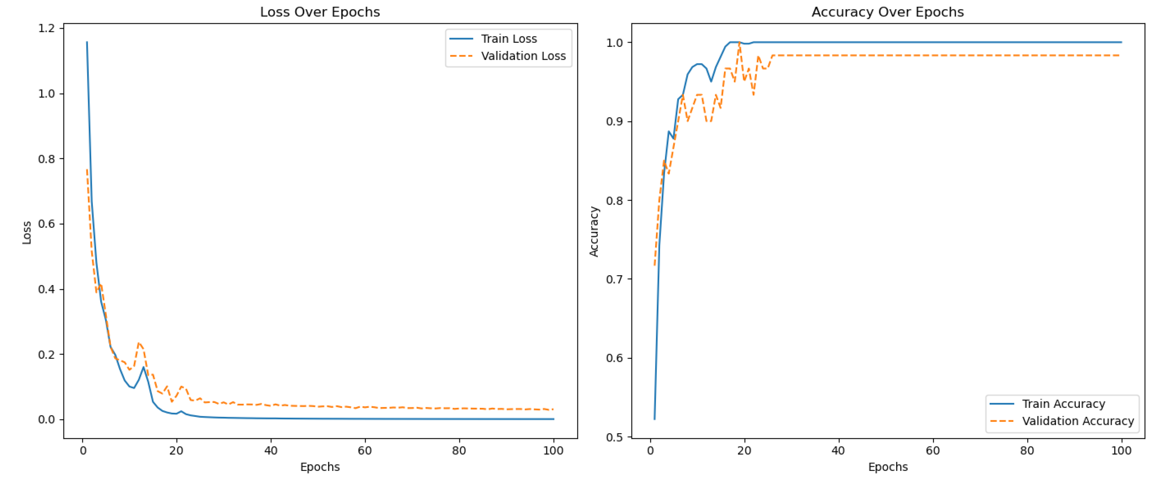
4. Experimental Results
5. Conclusions
References
- R.H. Ro, “Walkability: What is it?," Journal of Urbanism: International Research on Placemaking and Urban Sustainability vol. 2, no. 2, pp. 145–166, Jul. 2009. [CrossRef]
- K. Ball, A. K. Ball, A. Bauman, E. Leslie, and N. Owen, “Perceived Environmental Aesthetics and Convenience and Company Are Associated with Walking for Exercise among Australian Adults,” Preventive Medicine, vol. 33, no. 5, pp. 434-440, Nov. 2001. [Google Scholar] [CrossRef]
- S. H. Ahn, “Effects of Walking and Outdoor Equipment Exercise on Inflammatory Factors and Metabolic Syndrome indicators in Elderly Women,” Journal of Korean Society of Sports Science, vol. 32, no. 2, pp. 681-690, Apr. 2023. 10.35159/kjss.2023.04.32.2.
- Y.W. Kim and Y.M. Kwon, “A Meta-Analysis of the Effect of a Walking Exercise Program Applied to Koreans," Journal of Sport and Leisure Studies, vol. 96, pp. 417-428, Apr. 2024. [CrossRef]
- A. Mohdi, M. A. Mohdi, M. Mehdi, Z.S. Muhammad, A.S. Zohreh, and A.K. Mehdi, “Evaluating Capability Walkability Audit Tools Assessing Sidewalks,” Sustainable Cities and Society, vol. 37, pp.475-484, Feb. 2018. [CrossRef]
- L.D. Frank, J.F. L.D. Frank, J.F. Sallis, T.L. Conway, J.E. Chapman, B.E. Saelens, and W. Bachman, “Many Pathways from Land Use to Health: Associations between Neighborhood Walkability and Active Transportation, Body Mass Index, and Air Quality," Journal of the American Planning Association / J. Am. Plann. Assoc., vol. 72, no. 1, pp. 75–87. Nov. 2007. [CrossRef]
- J. Takahashi, Y. J. Takahashi, Y. Kobana, and Y. Tobe, “Classification of Steps on Road Surface Using Acceleration Signals,” in Proc. MOBIQUITOUS’15, pp.229-234, Aug. 2015. [CrossRef]
- A. Mohdi, M. A. Mohdi, M. Mehdi, Z.S. Muhammad, A.S. Zohreh, and A.K. Mehdi, “Evaluating Capability Walkability Audit Tools Assessing Sidewalks,” Sustainable Cities and Society, vol. 37, pp.475-484, Feb. 2018. [CrossRef]
- L.D. Frank, J.F. L.D. Frank, J.F. Sallis, T.L. Conway, J.E. Chapman, B.E. Saelens, and W. Bachman, “Many Pathways from Land Use to Health: Associations between Neighborhood Walkability and Active Transportation, Body Mass Index, and Air Quality," Journal of the American Planning Association / J. Am. Plann. Assoc., vol. 72, no. 1, pp. 75–87. Nov. 2007. [CrossRef]
- R.J. Lee, I.N. R.J. Lee, I.N. Sener, and S.N. Jones “Understanding the Role of Equity in Active Transportation Planning in the United States," Transport Reviews / Transp Rev., vol. 37, no.2, pp. 211–226. Oct. 2016. [CrossRef]
- B. W. Landis, V.R. Vattikuti, R.M. Ottenberg, D.S. McLeod, and M. Guttenplan, “Modeling the Roadside Walking Environment: Pedestrian Level of Service," Transportation Research Record / Transp. Res. Rec., vol. 1773, 2001, no. 1, pp. 82–88. [CrossRef]
- H.R. Ng, I. H.R. Ng, I. Sossa, Y.W. Nam, and J.H. Youn, “Machine Learning Approach for Automated Detection of Irregular Walking Surfaces for Walkability Assessment with Wearable Sensor," Sensors, vol. 23, no. 1, Dec. 2022. 193. [CrossRef]
- H.R. Ng, X. H.R. Ng, X. Zhong, Y.W. Nam, and J.H. Youn, “Deep-Learning-Based Approach for Automated Detection of Irregular Walking Surfaces for Walkability Assessment with Wearable Sensor," Applied Sciences/ Appl. Sci., vol. 13, no. 24, Dec. 2023. [CrossRef]
- G. Zhao, M. G. Zhao, M. Cao, and J.D. Vos, “Exploring Walking Behaviour Perceived Walkability Older Adults in London," Journal of Transport & Health / J. Transp. Health, vol. 37, Jul. 2024. [CrossRef]
- Y.W. Kim and Y.M. Kwon, “A Meta-Analysis of the Effect of a Walking Exercise Program Applied to Koreans,” Journal of Sport and Leisure Studies, vol. 96, pp. 417-428, Apr. 2024. 10.51979/KSSLS.2024.04.96.
- E. Raslan, M.F. E. Raslan, M.F. Alrahmawy, Y.A. Mohammed, and A.S. Tolba, “Evaluation of Data Representation Techniques for Vibration Based Road Surface Condition Classification," Scientific Reports, vol. 14, no. 11620, 24. 20 May. [CrossRef]
- R. Ewing and S. Handy, “Measuring the Unmeasurable: Urban Design Qualities Related to Walkability," J. Urban Des. vol. 14, pp. 65–84, Feb. 2009. [CrossRef]
- E. Leslie, N. E. Leslie, N. Coffee, L. Frank, N. Owen, A. Bauman, and G. Hugo, “Walkability of Local Communities: Using Geographic Information Systems to Objectively Assess Relevant Environmental Attributes," Health & Place, vol. 13, no. 1, pp. 111-122, Mar. 2007. [CrossRef]
- M. Aghaabbasi, M. M. Aghaabbasi, M. Moeinaddini, M.Z. Shah, Z. Asadi-Shekari, and M.A. Kermani, “Evaluating the Capability of Walkability Audit Tools for Assessing Sidewalks," Sustainable Cities and Society / Sustain. Cities Soc., vol. 37, pp. 475-484, Feb. 2018. [CrossRef]
- H.B. Menz, S.R. H.B. Menz, S.R. Lord, and R.C. Fitzpatrick, “Acceleration Patterns of the Head and Pelvis when Walking on Level and Irregular Surfaces," Gait & Posture, vol. 18, no. 1, pp. 2003; -46. [Google Scholar] [CrossRef]
- S. Kobayashi, T Hasegawa, “Smartphone-based Estimation Sidewalk Surface Type Via Deep Learning," Sens. Mater., vol. 33, no. 1, pp. 35-51. Oct. 2020. [CrossRef]
- K. Xia, J. K. Xia, J. Huang, and H. Wang, “LSTM-CNN Architecture for Human Activity Recognition,” IEEE Access, vol. 8, pp. 56855-56866, Mar. 2020. [CrossRef]
- L. Chen, J. L. Chen, J. Hoey, C.D. Nugent, D.J. Cook, and Z. Yu, “Sensor-based Activity Recognition,” IEEE Trans. Syst., Man, Cybern. C, Appl. Rev., vol. 42, no. 6, pp. 790–808, Nov. 2012. [CrossRef]
- A. Jain and V. Kanhangad, “Human Activity Classification Smartphones Using Accelerometer Gyroscope Sensors,” IEEE Sensors J., vol. 18, no. 3, pp. 1169–1177, Feb. 2018. [CrossRef]
- P. Gupta and T. Dallas, “Feature Selection Activity Recognition System Using Single Triaxial Accelerometer,” IEEE Trans. Biomed. Eng., vol. 61, no. 6, pp. 1780–1786, Jun. 2014. [CrossRef]
- H. Kim, C. R. H. Kim, C. R. Ahn, and K. H. Yang, “People-centric Sensing Approach Detecting Sidewalk Defects,” Advanced Engineering Informatics, vol. 30, no. 4, pp. 660-671, Oct. 2016. [CrossRef]
- H. Kim, C. R. H. Kim, C. R. Ahn, and Y. Nam, “People-centric Sensing Approach Detecting Sidewalk Defects,” Computers, Environment and Urban Systems, vol. 75, pp. 161-169, 19. 20 May. [CrossRef]
- M.V. Corazza, P.D. M.V. Corazza, P.D. Mascio, and L. Moretti, “Managing Sidewalk Pavement Maintenance: A Case Study to Increase Pedestrian Safety,” Journal of Traffic and Transportation Engineering, vol. 3, no. 3, pp. 203-214, Jun. 2016. [CrossRef]
- H.M. Golshan, A.O. H.M. Golshan, A.O. Hebb, S.J. Hanrahan, J. Nedrud, and M.H. Mahoor, “FFT-based Synchronization Approach Recognize Human Behaviors Using STN-LFP Signal,” 2017 IEEE International Conference on Acoustics, Speech and Signal Processing (ICASSP), pp. 979-983, Mar. 2017. [CrossRef]
- N.M. Foumani, L. N.M. Foumani, L. Miller, C.W. Tan, G.I. Webb, G. Forestier, and M. Salehi, “Deep Learning for Time Series Classification and Extrinsic Regression: A Current Survey,” ACM Computing Surveys, vol. 56, no. 9, pp. 1-45, Apr. 2024. [CrossRef]
- M. Cornacchia, K. M. Cornacchia, K. Ozcan, Y. Zheng, and S. Velipasalar, “A Survey on Activity Detection and Classification Using Wearable Sensors,” IEEE Sensors, vol. 17, no. 2, pp. 386–403, Jan. 2017. [CrossRef]
- K. S. Thyagarajan, “Introduction to Digital Signal Processing Using MATLAB with Application to Digital Communications,” Springer; 1st ed. 2019 edition, , 2018. 28 May.
- P. Kim, “Kalman Filter for Beginners: with MATLAB Examples,” CreateSpace Independent Publishing Platform, 2011.
- E. Ifeachor and B. W. Jervis, “Digital signal processing,” Prentice Hall, 2001.
- H. Tsutsumi, K. H. Tsutsumi, K. Kondo, K. Takenaka, and T. Hasegawa, “Sensor-Based Activity Recognition Using Frequency Band Enhancement Filters and Model Ensembles,” Sensors, vol. 23, no. 3, Jan. 2023. [CrossRef]
- M.O. Mario, “Human Activity Recognition Based Single Sensor Square HV Acceleration Images Convolutional Neural Networks,” IEEE Sensors J., vol. 19, no. 4, pp. 1487–1498, Feb. 2019. [CrossRef]
- M.M. Manca, B. M.M. Manca, B. Pes, and D. Riboni, “Exploiting Feature Selection in Human Activity Recognition: Methodological Insights and Empirical Results Using Mobile Sensor Data,” IEEE Access, vol. 10, pp. 64043-64058, 2022. [CrossRef]
- A. Miyata, I. A. Miyata, I. Araki, and T. Wang. “ Barrier Detection Using Sensor Data from Unimpaired Pedestrians," Lecture Notes in Computer Science, vol. 10908, pp. 308–319, 18. 20 June.
- H. D. Cheng, X.J. Shi, C. Glazier, “Real-Time Image Thresholding Based on Sample Space Reduction and Interpolation Approach," J. Comput. Civ. Eng. 2003, 17, 264–272.
- N. Sousa, J. Coutinho-Rodrigues, “Natividade-Jesus, E. Sidewalk Infrastructure Assessment Using a Multicriteria Methodology for Maintenance Planning," J. Infrastruct. Syst. 2017, 23, 5017002.





| No. | #1 | #2 | #3 | #4 | #5 | #6 | #7 |
|---|---|---|---|---|---|---|---|
| 0 | 56.67 | 78.33 | 78.33 | 73.33 | 88.33 | 91.67 | 91.67 |
| 1 | 83.33 | 91.67 | 95.00 | 90.00 | 98.33 | 95.00 | 95.00 |
| 2 | 76.67 | 91.67 | 95.00 | 85.00 | 93.33 | 98.33 | 96.67 |
| 3 | 78.33 | 88.33 | 93.33 | 90.00 | 93.33 | 93.33 | 95.00 |
| 4 | 78.33 | 95.00 | 86.67 | 85.00 | 95.00 | 96.67 | 93.33 |
| 5 | 80.00 | 91.67 | 86.67 | 88.33 | 93.33 | 90.00 | 95.00 |
| 6 | 75.00 | 93.33 | 90.00 | 80.00 | 95.00 | 95.00 | 96.67 |
| 7 | 68.33 | 78.33 | 81.67 | 80.00 | 90.00 | 95.00 | 93.33 |
| 8 | 75.00 | 80.00 | 85.00 | 83.33 | 86.67 | 93.33 | 90.00 |
| 9 | 65.00 | 83.33 | 75.00 | 76.67 | 88.33 | 85.00 | 88.33 |
| avg | 73.67 | 87.17 | 86.67 | 83.17 | 92.17 | 93.33 | 93.50 |
| std | 7.63 | 6.20 | 6.54 | 5.35 | 3.50 | 3.57 | 2.63 |
| No. | #1 | #2 | #3 | #4 | #5 | #6 | #7 |
|---|---|---|---|---|---|---|---|
| 0 | 73.33 | 70.00 | 80.00 | 76.67 | 83.33 | 93.33 | 91.67 |
| 1 | 80.00 | 78.33 | 90.00 | 91.67 | 100.00 | 96.67 | 98.33 |
| 2 | 81.67 | 78.33 | 93.33 | 88.33 | 93.33 | 100.00 | 93.33 |
| 3 | 81.67 | 71.67 | 91.67 | 86.67 | 91.67 | 93.33 | 95.00 |
| 4 | 83.33 | 78.33 | 91.67 | 93.33 | 93.33 | 95.00 | 93.33 |
| 5 | 86.67 | 88.33 | 88.33 | 93.33 | 95.00 | 100.00 | 96.67 |
| 6 | 86.67 | 85.00 | 90.00 | 90.00 | 95.00 | 96.67 | 93.33 |
| 7 | 71.67 | 76.67 | 91.67 | 80.00 | 96.67 | 95.00 | 91.67 |
| 8 | 76.67 | 73.33 | 90.00 | 78.33 | 88.33 | 93.33 | 90.00 |
| 9 | 71.67 | 80.00 | 75.00 | 68.33 | 88.33 | 88.33 | 90.00 |
| avg | 79.34 | 78.00 | 88.17 | 84.67 | 92.50 | 95.17 | 93.33 |
| std | 5.44 | 5.36 | 5.60 | 7.99 | 4.55 | 3.29 | 2.58 |
| Sub. | A | B | C | D | E | F | G | H | I | J | K | L |
|---|---|---|---|---|---|---|---|---|---|---|---|---|
| Num. Corr. | 48 | 48 | 49 | 48 | 50 | 45 | 47 | 50 | 44 | 47 | 46 | 50 |
| Rate Corr. | 96% | 96% | 98% | 96% | 100% | 90% | 94% | 100% | 88% | 94% | 92% | 100% |
Disclaimer/Publisher’s Note: The statements, opinions and data contained in all publications are solely those of the individual author(s) and contributor(s) and not of MDPI and/or the editor(s). MDPI and/or the editor(s) disclaim responsibility for any injury to people or property resulting from any ideas, methods, instructions or products referred to in the content. |
© 2025 by the authors. Licensee MDPI, Basel, Switzerland. This article is an open access article distributed under the terms and conditions of the Creative Commons Attribution (CC BY) license (http://creativecommons.org/licenses/by/4.0/).