Submitted:
27 May 2025
Posted:
28 May 2025
You are already at the latest version
Abstract
Keywords:
1. Introduction
2. Materials and Methods
2.1. Data Collected
2.2. Diagnosis, Follow Up and Treatment
2.3. Data Analysis
3. Results
3.1. Demographic and Clinical Characteristics
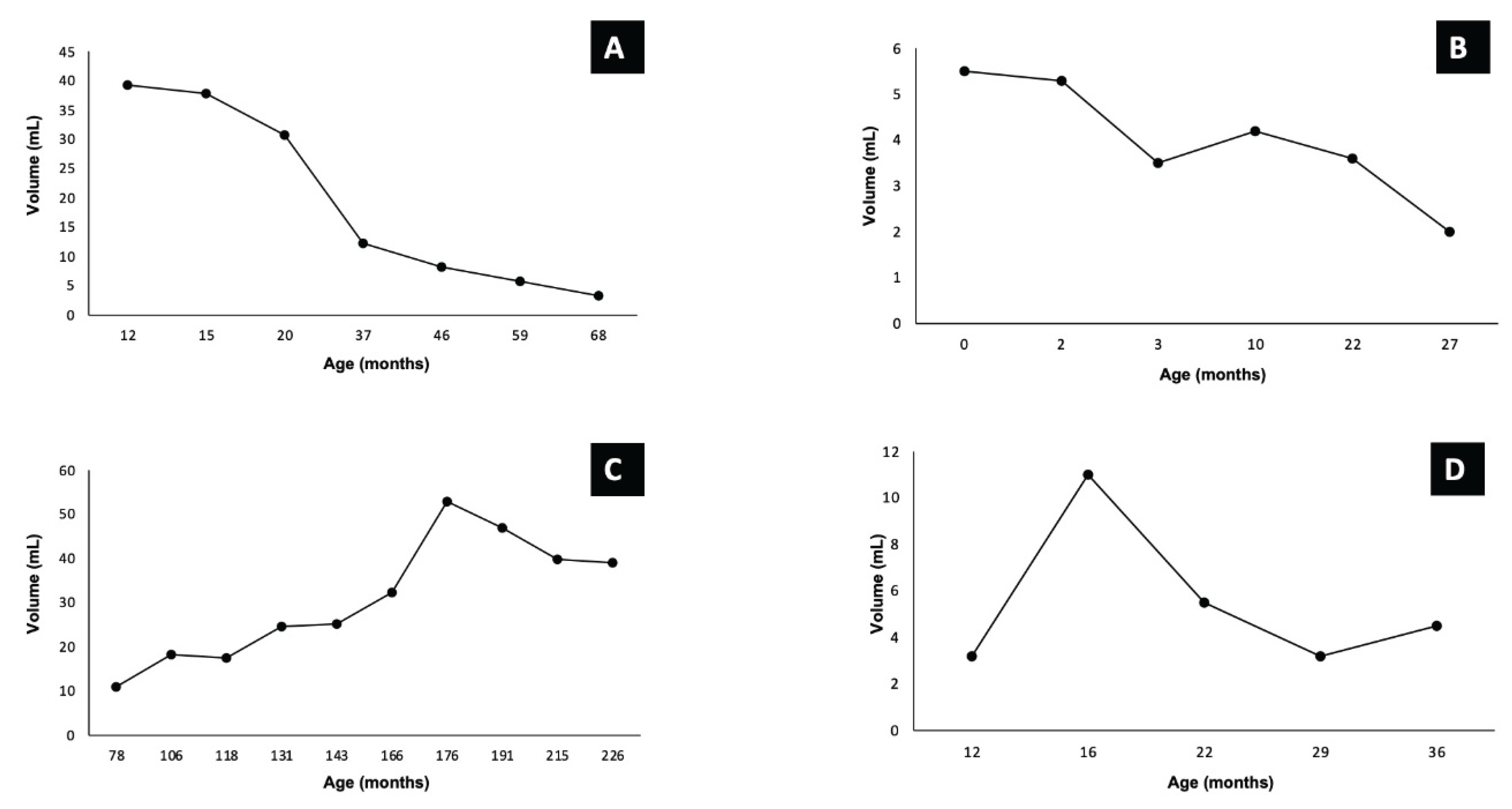
3.2. Follow-Up and Radiological Characteristics
3.3. Treatment and Sirolimus
4. Discussion
5. Conclusions
Author Contributions
Acknowledgments
Conflicts of Interest
References
- Hepatol, WJ. Contents. 2021;5182(10).
- Rutten C, Ladarre D, Ackermann O, Gonzales E, Guettier C, Franchi-Abella S. Spontaneous evolution patterns of focal congenital hepatic hemangiomas: a case series of 25 patients. Pediatr Radiol 2022, 52, 1048–1060. [Google Scholar] [CrossRef] [PubMed]
- Christison-Lagay ER, Burrows PE, Alomari A, et al. Hepatic hemangiomas: subtype classification and development of a clinical practice algorithm and registry. Journal of Pediatric Surgery 2007, 42, 62–68. [Google Scholar] [CrossRef] [PubMed]
- Kulungowski AM, Alomari AI, Chawla A, Christison-Lagay ER, Fishman SJ. Lessons from a liver hemangioma registry: Subtype classification. J Pediatr Surg 2012, 47, 165–170. [Google Scholar] [CrossRef] [PubMed]
- Kulungowski AM, Alomari AI, Chawla A, Christison-Lagay ER, Fishman SJ. Lessons from a liver hemangioma registry: Subtype classification. J Pediatr Surg 2012, 47, 165–170. [Google Scholar] [CrossRef] [PubMed]
- Triana P, Rodríguez-Laguna L, Giacaman A, et al. Congenital hepatic hemangiomas: Clinical, histologic, and genetic correlation. J Pediatr Surg 2020, 55, 2170–2176. [Google Scholar] [CrossRef] [PubMed]
- Wen R, Zhou ZZ, Chen WJ. Clinical and Pathological Features of Congenital Hepatic Hemangioma in Children: A Retrospective Analysis. Fetal Pediatr Pathol 2022, 1–9. [Google Scholar]
- Berklite L, Malik F, Ranganathan S, Gupta A. Pediatric hepatic vascular tumors: clinicopathologic characteristics of 33 cases and proposed updates to current classification schemes. Hum Pathol. 2023;141(2023):78-89.
- Hua C, Wang L, Jin Y, et al. A case series of tardive expansion congenital hemangioma: A variation of noninvoluting congenital hemangioma or a new hemangiomatous entity? J Am Acad Dermatol. 2021;84(5):1371-1377.
- Kopeć J, Gawłowska A, Kopeć E, Przewratil P. The role of sirolimus in the treatment of vascular anomalies. Family Medicine and Primary Care Review. 2022;24(2):168-171.
- Musalem HM, Alshaikh AA, Tuleimat LM, Alajlan S. Outcome with topical sirolimus for port wine stain malformations after unsatisfactory results with pulse dye laser treatment alone. Ann Saudi Med. 2018;38(5):376-380.
- Chen X, Wang DD, Xu H, Li ZP. Initial dose recommendation for sirolimus in paediatric kaposiform haemangioendothelioma patients based on population pharmacokinetics and pharmacogenomics. Journal of International Medical Research 2020, 48. [Google Scholar]
- Blatt J, Stavas J, Moats-Staats B, Woosley J, Morrell DS. Treatment of childhood kaposiform hemangioendothelioma with sirolimus. Pediatr Blood Cancer. 2010;55(7):1396-1398.
- Mulliken JB, Enjolras O. Congenital hemangiomas and infantile hemangioma: Missing links. Journal of the American Academy of Dermatology. 2004;50(6):875-882.
- Iacobas I, Phung TL, Adams DM, et al. Guidance Document for Hepatic Hemangioma (Infantile and Congenital) Evaluation and Monitoring. Journal of Pediatrics. 2018;203:294-300.e2.
- Roebuck D, Sebire N, Lehmann E, Barnacle A. Rapidly involuting congenital haemangioma (RICH) of the liver. Pediatric Radiology. 2012;42(3):308-314.
- Berenguer B, Mulliken JB, Enjolras O, et al. Rapidly Involuting Congenital Hemangioma: Clinical and Histopathologic Features. Pediatric and Developmental Pathology. 2003;6(6):495-510.
- Delgado-Miguel C, Triana P, Miguel-Ferrero M, et al. Mortality predictive factors in congenital hepatic hemangioma: a case–control study. European Journal of Pediatrics. 2023;(0123456789).
- Mocchegiani F, Vincenzi P, Coletta M, et al. Prevalence and clinical outcome of hepatic haemangioma with specific reference to the risk of rupture: A large retrospective cross-sectional study. Digestive and Liver Disease. 2016;48(3):309-314.
- Donati M, Stavrou GA, Donati A, Oldhafer KJ. The risk of spontaneous rupture of liver hemangiomas: A critical review of the literature. Journal of Hepato-Biliary-Pancreatic Sciences. 2011;18(6):797-805.
- Moon SJ, Baek HJ, Kim BR, et al. Successful Management of Massive Congenital Hepatic Hemangioma and Systemic Hypertension with Sirolimus. J Pediatr Hematol Oncol. 2022;44(2):E424-E427.
- Lekwuttikarn R, Josephs S, Teng JM. Successful Medical Management of Life-threatening Hepatic Hemangioma in Neonates. Pediatrics. 2019;144(4).
- Triana P, Miguel M, Díaz M, Cabrera M, López Gutiérrez JC. Oral sirolimus: An option in the management of neonates with life-threatening upper airway lymphatic malformations. Lymphat Res Biol. 2019;17(5):504-511.
- Triana P, Miguel M, Díaz M, López-Gutierrez JC. Clinical Monitoring Challenges in the Pharmacological Treatment and Management of Lymphatic Anomalies with Mammalian Target of Rapamycin Inhibition. Ther Drug Monit. 2019;41(4):547-548.
- Odaman Al I, Demirağ B, Erdem M, Genç S, Karapinar TH. A Retrospective Analysis of Clinical Characteristics, Treatment Modalities and Outcome of the Patients With Infantile Hepatic Hemangiomas: Single-center Experience From Turkey. J Pediatr Hematol Oncol. 2023;45(2).
- Hettmer S, Andrieux G, Hochrein J, et al. Epithelioid hemangioendotheliomas of the liver and lung in children and adolescents. Pediatr Blood Cancer. 2017;64(12):1-8.
- Kim EH, Koh KN, Park M, Kim BE, Im HJ, Seo JJ. Clinical features of infantile hepatic hemangioendothelioma. Korean J Pediatr. 2011;54(6):260-266.
- Hughes JA, Hill V, Patel K, Syed S, Harper J, De Bruyn R. Cutaneous haemangioma: Prevalence and sonographic characteristics of associated hepatic haemangioma. Clin Radiol. 2004;59(3):273-280.
- Joseph NM, Brunt EM, Marginean C, et al. Frequent GNAQ and GNA14 mutations in hepatic small vessel neoplasm. American Journal of Surgical Pathology. 2018;42(9):1201-1207.
- Walcott-Sapp S, Tang E, Kakar S, Shen J, Hansen P. Resection of the largest reported hepatic small vessel neoplasm. Hum Pathol. 2018;78:159-162.
- Rangaswamy B, Minervini M, Tublin M, Sholosh B, Dasyam AK. Imaging and Pathologic findings of Hepatic Small Vessel Hemangioma. Curr Probl Diagn Radiol. 2019;48(6):626-628.
- Gill RM, Buelow B, Mather C, et al. Hepatic small vessel neoplasm, a rare infiltrative vascular neoplasm of uncertain malignant potential. Hum Pathol. 2016;54:143-151.




| Demographics and clinical characteristics | Study cohort (n=7) |
Gender
|
5/7 (71.4%) 2/7 (28.6%) |
Age at diagnosis
|
2/7 (28.6%) 5/7 (71.4%) |
| Gestational age | 38 weeks (38-40) |
| Age at diagnosis | 42 days (0-1440) |
Clinical features
|
5/7 (71.4%) 2/7 (28.6%) |
AFP value
|
7/7 (100%) 0/7 |
The site in the liver
|
5/7 (71.4%) 2/7 (28.6%) |
Liver biopsy
|
3/7 (42.9%) 4/7 (57.1%) |
| Case | Maximum diameter of mass (cm) | Time of intervention (months) | Overall response | Radiological response (% of reduction) | Duration of treatment (months) | Adverse effects or complications | Ongoing treatment | Other concomitant treatments | Follow up (months) |
| 1 | 7 x 6 x 6 >4cm |
21 | Partial | 84% | 69 | No | Yes | Propranolol | 79 |
| 2 | 3,7 x 4,6 x 3,4 >4cm |
12 | Stable | Stable | 45 | No | Yes | No | 56 |
| 3 | 5 x 3.5 x 6 >4cm |
36 | Partial | 60 % | 34 | No | Yes | No | 81 |
Disclaimer/Publisher’s Note: The statements, opinions and data contained in all publications are solely those of the individual author(s) and contributor(s) and not of MDPI and/or the editor(s). MDPI and/or the editor(s) disclaim responsibility for any injury to people or property resulting from any ideas, methods, instructions or products referred to in the content. |
© 2025 by the authors. Licensee MDPI, Basel, Switzerland. This article is an open access article distributed under the terms and conditions of the Creative Commons Attribution (CC BY) license (http://creativecommons.org/licenses/by/4.0/).