Submitted:
26 May 2025
Posted:
28 May 2025
You are already at the latest version
Abstract
Keywords:
1. Introduction
2. Non–Commutative Charged Black Hole
3. Thermodynamics
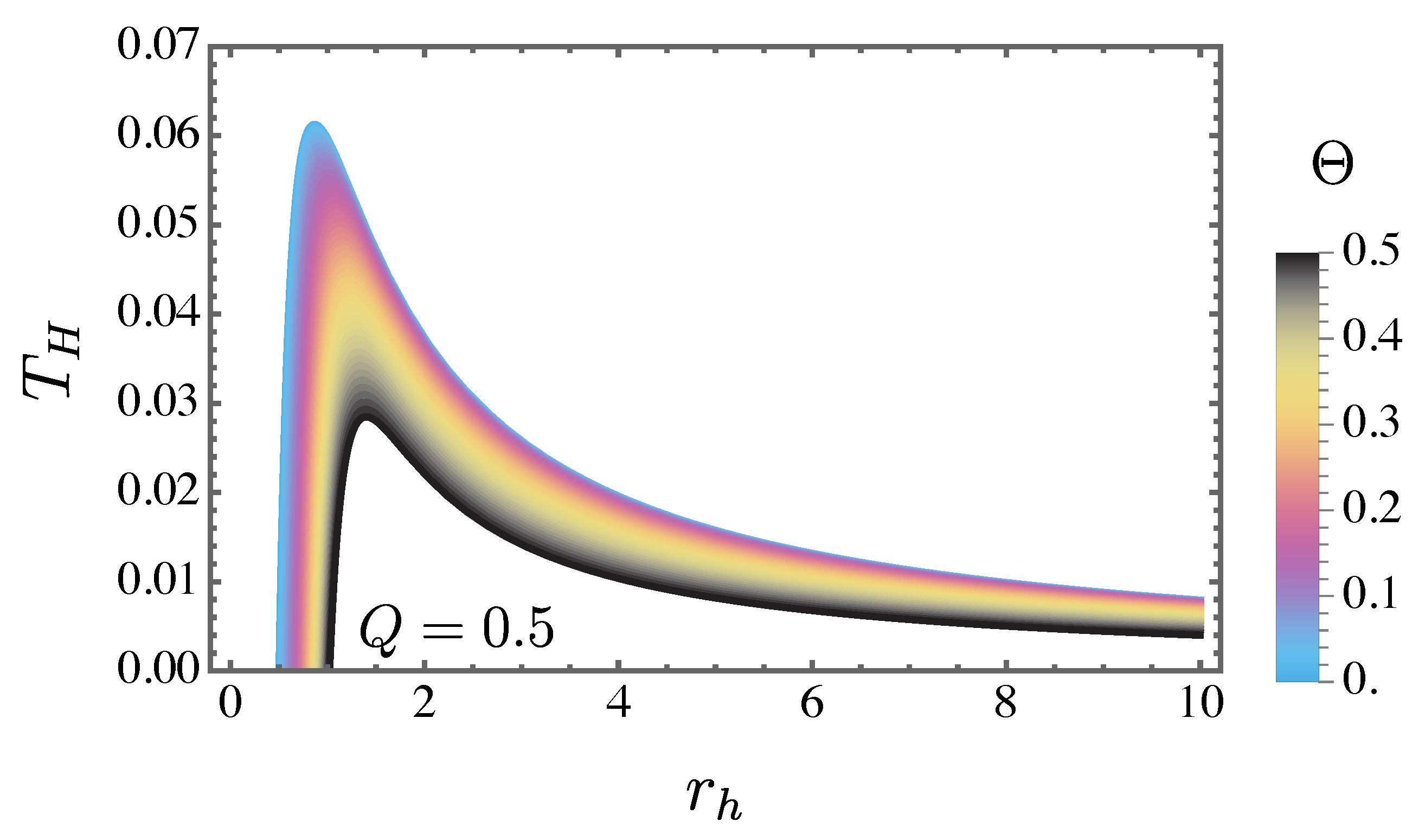
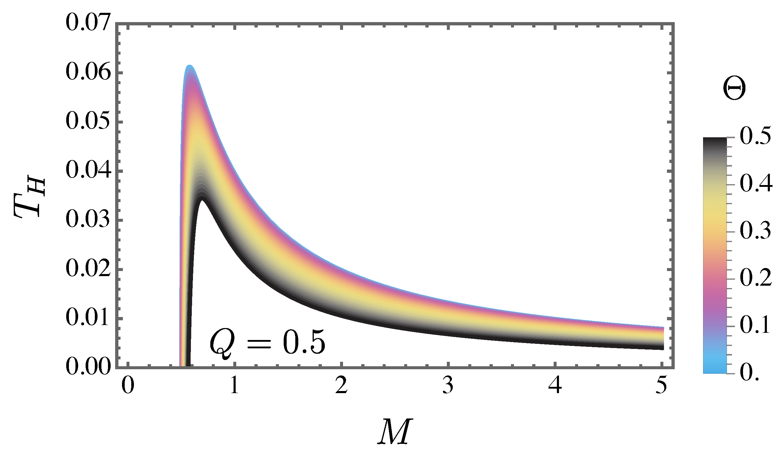
3.1. Hawking Temperature
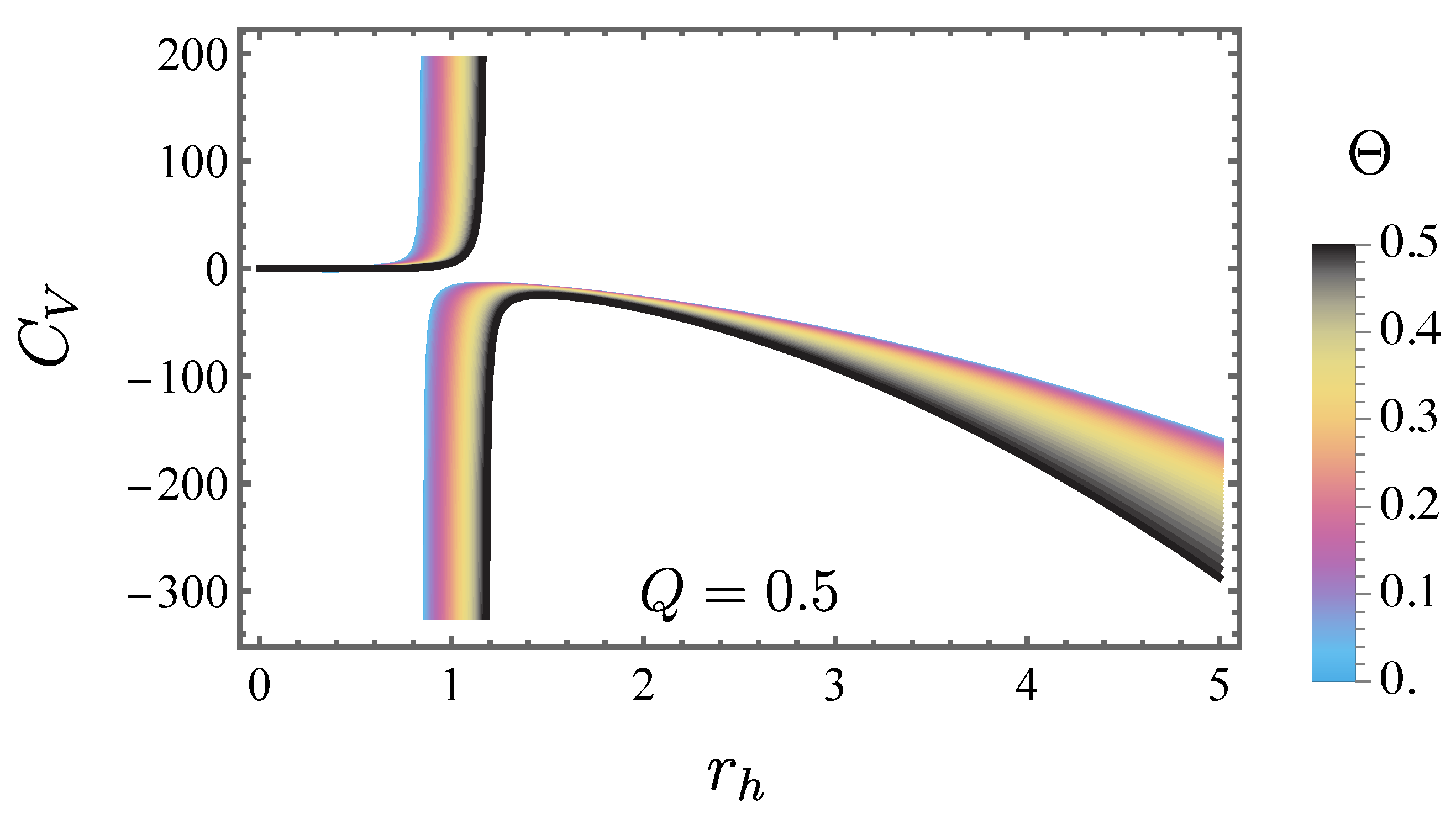
3.2. Heat Capacity
4. Hawking Radiation
4.1. Bosons
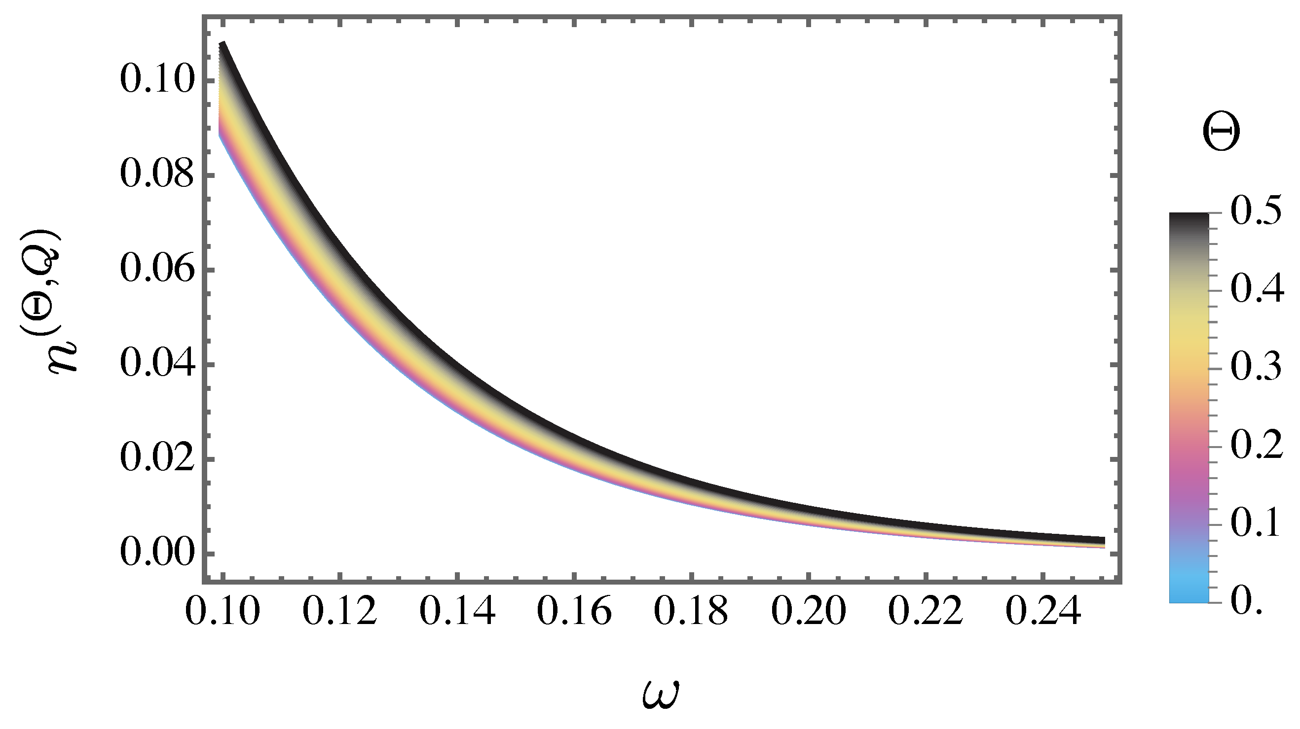
4.2. Fermions
5. Scalar Perturbation
5.1. Effective Potential
5.2. Quasinormal Modes
6. Gravitational Lensing
6.1. Light Trajectory
6.2. Photonic Radius
6.2.1. Topological Features of the Photonic Sphere
6.2.2. Stability of the Photon Sphere
6.3. Shadow Radius
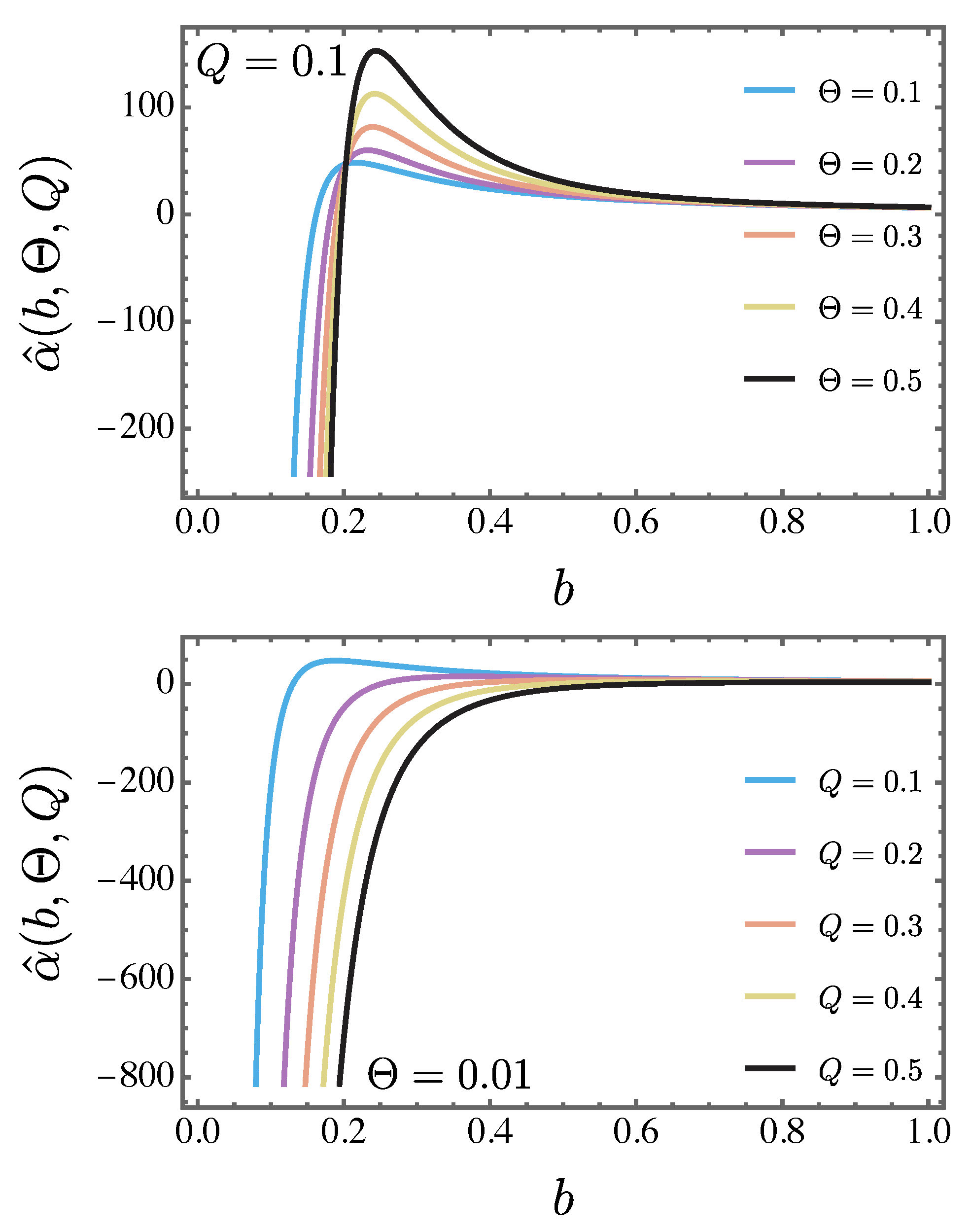
6.4. Gravitational Lensing
6.5. Lensing Observable
7. Conclusions
Acknowledgments
Appendix A
Appendix B
References
- Snyder, H.S. Quantized Space-Time. Phys. Rev. 1947, 71, 38–41. [Google Scholar] [CrossRef]
- Seiberg, N.; Witten, E. String theory and noncommutative geometry. JHEP 1999, 1999, 032. [Google Scholar] [CrossRef]
- Szabo, R.J. Quantum field theory on noncommutative spaces. Phys. Rept. 2003, 378, 207–299. [Google Scholar] [CrossRef]
- Connes, A.; Douglas, M.R.; Schwarz, A. Noncommutative geometry and matrix theory. Journal of High Energy Physics 1998, 1998, 003. [Google Scholar] [CrossRef]
- Ardalan, F.; Arfaei, H.; Sheikh-Jabbari, M.M. Noncommutative geometry from strings and branes. Journal of High Energy Physics 1999, 1999, 016. [Google Scholar] [CrossRef]
- Douglas, M.R.; Nekrasov, N.A. Noncommutative field theory. Rev. Mod. Phys. 2001, 73, 977–1029. [Google Scholar] [CrossRef]
- Connes, A. Noncommutative Geometry; Academic Press, 1994.
- Nicolini, P. Noncommutative Black Holes, the Final Appeal to Quantum Gravity: A Review. Int. J. Mod. Phys. A 2009, 24, 1229–1308. [Google Scholar] [CrossRef]
- Seiberg, N.; Witten, E. String theory and noncommutative geometry. Journal of High Energy Physics 1999, 1999, 032. [Google Scholar] [CrossRef]
- P. Nicolini, A.S.; Spallucci, E. Noncommutative geometry inspired Schwarzschild black hole. Phys. Lett. B 2006, 632, 547–551. [Google Scholar] [CrossRef]
- E. Spallucci, A.S.; Nicolini, P. Non-commutative geometry inspired higher-dimensional charged black holes. Phys. Lett. B 2009, 670, 449–454. [Google Scholar] [CrossRef]
- Nozari, K.; Mehdipour, S.H. Hawking radiation as quantum tunneling from a noncommutative Schwarzschild black hole. Classical and Quantum Gravity 2008, 25, 175015. [Google Scholar] [CrossRef]
- Araújo Filho, A.; Heidari, N. Geodesics, accretion disk, gravitational lensing, time delay, and effects on neutrinos induced by a non–commutative black hole.
- Smailagic, A.; Spallucci, E. Feynman path integral on the noncommutative plane. J. Phys. A 2003, 36, L467–L471. [Google Scholar] [CrossRef]
- Jurčo, B.; Möller, L.; Schraml, S.; Schupp, P.; Wess, J. Construction of non-Abelian gauge theories on noncommutative spaces. The European Physical Journal C-Particles and Fields 2001, 21, 383–388. [Google Scholar] [CrossRef]
- M. Chaichian, P. Presnajder, M.M.S.J.; Tureanu, A. Noncommutative gauge field theories: A No-go theorem. Phys. Lett. B 2002, 526, 132–136. [CrossRef]
- et al., P.A. A Gravity theory on noncommutative spaces. Class. Quant. Grav. 2006, 23, 1883–1912. [CrossRef]
- Banerjee, R.; Mukherjee, P.; Samanta, S. Lie algebraic noncommutative gravity. Physical Review D—Particles, Fields, Gravitation, and Cosmology 2007, 75, 125020. [Google Scholar] [CrossRef]
- Chaichian, M.; Tureanu, A.; Zet, G. Corrections to Schwarzschild solution in noncommutative gauge theory of gravity. Physics Letters B 2008, 660, 573–578. [Google Scholar] [CrossRef]
- Chaichian, M.; Tureanu, A.; Setare, M.; Zet, G. On Black Holes and Cosmological Constant inNoncommutative Gauge Theory of Gravity. Journal of High Energy Physics 2008, 2008, 064. [Google Scholar] [CrossRef]
- Mukherjee, P.; Saha, A. Deformed Reissner–Nordstrom solutions in noncommutative gravity. Physical Review D—Particles, Fields, Gravitation, and Cosmology 2008, 77, 064014. [Google Scholar] [CrossRef]
- Linares, R.; Maceda, M.; Sánchez-Santos, O. Thermodynamical properties of a noncommutative anti–de Sitter–Einstein-Born-Infeld spacetime from gauge theory of gravity. Physical Review D 2020, 101, 044008. [Google Scholar] [CrossRef]
- Heidari, N.; Hassanabadi, H.; Kr̆íz̆, J.; Zare, S.; Porfírio, P.; et al. Gravitational signatures of a non–commutative stable black hole. arXiv preprint arXiv:2305.06838 2023.
- Heidari, N.; Lobo, I.P.; et al. Non-commutativity in Hayward spacetime. arXiv preprint arXiv:2503.17789 2025.
- Bežanić, M.; Ćirić, M.D.; Konjik, N.; Nikolić, B.; Samsarov, A. Noncommutative fields in Reissner-Nordstr∖"{o} m black hole background. arXiv preprint arXiv:2505.06181 2025.
- Ćirić, M.D.; Konjik, N.; Samsarov, A. Noncommutative scalar quasinormal modes of the Reissner–Nordström black hole. Classical and Quantum Gravity 2018, 35, 175005. [Google Scholar] [CrossRef]
- Herceg, N.; Jurić, T.; Kumara, A.N.; Samsarov, A.; Smolić, I. Noncommutative quasinormal modes of Schwarzschild black hole. Journal of High Energy Physics 2025, 2025, 1–48. [Google Scholar] [CrossRef]
- Chamseddine, A.H.; Connes, A.; van Suijlekom, W.D. Noncommutativity and physics: a non-technical review. The European Physical Journal Special Topics 2023, pp. 1–8.
- R. Banerjee, B. Chakraborty, S.G.; Saha, A. Interacting quantum field theory in kappa-Minkowski spacetime. Phys. Rev. D 2011, 83, 124036. [Google Scholar] [CrossRef]
- Araújo Filho, A.; Zare, S.; Porfírio, P.; Kříž, J.; Hassanabadi, H. Thermodynamics and evaporation of a modified Schwarzschild black hole in a non–commutative gauge theory. Physics Letters B 2023, 838, 137744. [Google Scholar] [CrossRef]
- Banerjee, R.; Majhi, B.R.; Samanta, S. Noncommutative black hole thermodynamics. Physical Review D 2008, 77, 124035. [Google Scholar] [CrossRef]
- Mehdipour, S.H. Hawking radiation as tunneling from a Vaidya black hole in noncommutative gravity. Physical Review D 2010, 81, 124049. [Google Scholar] [CrossRef]
- et al., Y.Z. Quasinormal modes in noncommutative Schwarzschild black holes. Nucl. Phys. B 2024, 1004, 116545. [CrossRef]
- K. Lin, W.L.Q.; Pavan, A.B. Quasinormal modes and greybody factors of noncommutative black holes. Phys. Rev. D 2019, 99, 084041. [CrossRef]
- Heidari, N.; Hassanabadi, H.; Araújo Filho, A.A.; Kriz, J. Exploring non-commutativity as a perturbation in the Schwarzschild black hole: quasinormal modes, scattering, and shadows. The European Physical Journal C 2024, 84, 566. [Google Scholar] [CrossRef]
- Campos, J.A.V.; Anacleto, M.A.; Brito, F.; Passos, E. Quasinormal modes and shadow of noncommutative black hole. Scientific Reports 2022, 12, 8516. [Google Scholar] [CrossRef]
- Wei, S.W.; Cheng, P.; Zhong, Y.; Zhou, X.N. Shadow of noncommutative geometry inspired black hole. Journal of Cosmology and Astroparticle Physics 2015, 2015, 004. [Google Scholar] [CrossRef]
- Jurić, T.; Kumara, A.N.; Požar, F. Constructing noncommutative black holes. Nuclear Physics B 2025, p. 116950.
- Touati, A. Non-commutative gauge theory and quantum gravity. Ph. D. Thesis 2024.
- Touati, A.; Slimane, Z. Quantum tunneling from Schwarzschild black hole in non-commutative gauge theory of gravity. Physics Letters B 2024, 848, 138335. [Google Scholar] [CrossRef]
- Araújo Filho, A.A.; Jusufi, K.; Cuadros-Melgar, B.; Leon, G. Dark matter signatures of black holes with yukawa potential. Physics of the Dark Universe 2024, 44, 101500. [Google Scholar] [CrossRef]
- Araújo Filho, A.A.; Jusufi, K.; Cuadros-Melgar, B.; Leon, G.; Jawad, A.; Pellicer, C. Charged black holes with yukawa potential. Physics of the Dark Universe 2024, 46, 101711. [Google Scholar] [CrossRef]
- Araújo Filho, A.A.; Furtado, J.; Reis, J.A.A.S.; Silva, J.E.G. Thermodynamical properties of an ideal gas in a traversable wormhole. Classical and Quantum Gravity 2023, 40, 245001. [Google Scholar] [CrossRef]
- Filho, A.A.A. Implications of a Simpson–Visser solution in Verlinde’s framework. Eur. Phys. J. C 2024, 84, 73, [arXiv:gr-qc/2308.04939]. [CrossRef]
- Filho, A.A.A. Analysis of a regular black hole in Verlinde’s gravity. Class. Quant. Grav. 2024, 41, 015003, [arXiv:gr-qc/2306.07226]. [CrossRef]
- Vanzo, L.; Acquaviva, G.; Di Criscienzo, R. Tunnelling methods and Hawking’s radiation: achievements and prospects. Classical and Quantum Gravity 2011, 28, 183001. [Google Scholar] [CrossRef]
- Angheben, M.; Nadalini, M.; Vanzo, L.; Zerbini, S. Hawking radiation as tunneling for extremal and rotating black holes. Journal of High Energy Physics 2005, 2005, 014. [Google Scholar] [CrossRef]
- Kerner, R.; Mann, R.B. Tunnelling, temperature, and Taub-NUT black holes. Physical Review D 2006, 73, 104010. [Google Scholar] [CrossRef]
- Kerner, R.; Mann, R.B. Fermions tunnelling from black holes. Classical and Quantum Gravity 2008, 25, 095014. [Google Scholar] [CrossRef]
- Kerner, R.; Mann, R.B. Fermions tunnelling from black holes. Classical and Quantum Gravity 2008, 25, 095014. [Google Scholar] [CrossRef]
- Rehman, M.; Saifullah, K. Charged fermions tunneling from accelerating and rotating black holes. Journal of Cosmology and Astroparticle Physics 2011, 2011, 001. [Google Scholar] [CrossRef]
- Li, H.L.; Yang, S.Z.; Zhou, T.J.; Lin, R. Fermion tunneling from a Vaidya black hole. Europhysics Letters 2008, 84, 20003. [Google Scholar] [CrossRef]
- Di Criscienzo, R.; Vanzo, L. Fermion tunneling from dynamical horizons. Europhysics Letters 2008, 82, 60001. [Google Scholar] [CrossRef]
- Yale, A.; Mann, R.B. Gravitinos tunneling from black holes. Physics Letters B 2009, 673, 168–172. [Google Scholar] [CrossRef]
- Kerner, R.; Mann, R.B. Charged fermions tunnelling from Kerr–Newman black holes. Physics letters B 2008, 665, 277–283. [Google Scholar] [CrossRef]
- Yale, A. Exact Hawking radiation of scalars, fermions, and bosons using the tunneling method without back-reaction. Physics Letters B 2011, 697, 398–403. [Google Scholar] [CrossRef]
- Yale, A. There are no quantum corrections to the Hawking temperature via tunneling from a fixed background. The European Physical Journal C 2011, 71, 1–4. [Google Scholar] [CrossRef]
- Chatterjee, B.; Mitra, P. Hawking temperature and higher order calculations. Physics Letters B 2009, 675, 240–242. [Google Scholar] [CrossRef]
- Cognola, G.; Vanzo, L.; Zerbini, S.; Soldati, R. On the lagrangian formulation of a charged spinning particle in an external electromagnetic field. Physics Letters B 1981, 104, 67–69. [Google Scholar] [CrossRef]
- Barducci, A.; Casalbuoni, R.; Lusanna, L. Supersymmetries and the pseudoclassical relativistic electron. Nuovo Cimento. A 1976, 35, 377–399. [Google Scholar] [CrossRef]
- Vagnozzi, S.; Roy, R.; Tsai, Y.D.; Visinelli, L. Horizon-scale tests of gravity theories and fundamental physics from the Event Horizon Telescope image of Sagittarius A∗. arXiv preprint arXiv:2205.07787 2022.
- Chen, C.Y.; Chiang, H.W.; Tsao, J.S. Eikonal quasinormal modes and photon orbits of deformed Schwarzschild black holes. Physical Review D 2022, 106, 044068. [Google Scholar] [CrossRef]
- Zhao, Y.; Cai, Y.; Das, S.; Lambiase, G.; Saridakis, E.; Vagenas, E. Quasinormal modes in noncommutative Schwarzschild black holes. arXiv preprint arXiv:2301.09147 2023.
- Iyer, S.; Will, C.M. Black-hole normal modes: A WKB approach. I. Foundations and application of a higher-order WKB analysis of potential-barrier scattering. Physical Review D 1987, 35, 3621. [Google Scholar] [CrossRef] [PubMed]
- Ferrari, V.; Mashhoon, B. New approach to the quasinormal modes of a black hole. Physical Review D 1984, 30, 295. [Google Scholar] [CrossRef]
- Konoplya, R.A. Quasinormal modes of a small Schwarzschild–anti-de Sitter black hole. Physical Review D 2002, 66, 044009. [Google Scholar] [CrossRef]
- Leaver, E.W. Spectral decomposition of the perturbation response of the Schwarzschild geometry. Physical Review D 1986, 34, 384. [Google Scholar] [CrossRef] [PubMed]
- Konoplya, R.; Zhidenko, A.; Zinhailo, A. Higher order WKB formula for quasinormal modes and grey-body factors: recipes for quick and accurate calculations. Classical and Quantum Gravity 2019, 36, 155002. [Google Scholar] [CrossRef]
- Heidari, N.; Hassanabadi, H. Investigation of the quasinormal modes of a Schwarzschild black hole by a new generalized approach. Physics Letters B 2023, 839, 137814. [Google Scholar] [CrossRef]
- Schutz, B.F.; Will, C.M. Black hole normal modes: a semianalytic approach. The Astrophysical Journal 1985, 291, L33–L36. [Google Scholar] [CrossRef]
- Konoplya, R. Quasinormal behavior of the D-dimensional Schwarzschild black hole and the higher order WKB approach. Physical Review D 2003, 68, 024018. [Google Scholar] [CrossRef]
- Zeng, X.X.; Li, G.P.; He, K.J. The shadows and observational appearance of a noncommutative black hole surrounded by various profiles of accretions. Nuclear Physics B 2022, 974, 115639. [Google Scholar] [CrossRef]
- Panah, B.E.; Heidari, N. Some aspects of ModMax (A) dS black holes: Thermodynamics properties, heat engine, shadow, null geodesic and light trajectory. Journal of High Energy Astrophysics 2025, 45, 181–193. [Google Scholar] [CrossRef]
- Heidari, N.; Lobo, I.; Bezerra, V.; et al. Gravitational signatures of a nonlinear electrodynamics in f (R, T) gravity. arXiv preprint arXiv:2505.08718 2025.
- Hamil, B.; Lütfüoğlu, B. Thermodynamics and Shadows of quantum-corrected Reissner–Nordström black hole surrounded by quintessence. Physics of the Dark Universe 2023, 42, 101293. [Google Scholar] [CrossRef]
- Anacleto, M.; Brito, F.; Campos, J.; Passos, E. Absorption, scattering and shadow by a noncommutative black hole with global monopole. The European Physical Journal C 2023, 83, 298. [Google Scholar] [CrossRef]
- Yan, Z.; Zhang, X.; Wan, M.; Wu, C. Shadows and quasinormal modes of a charged non-commutative black hole by different methods. The European Physical Journal Plus 2023, 138, 1–14. [Google Scholar] [CrossRef]
- Ball, D.; Chan, C.k.; Christian, P.; Jannuzi, B.T.; Kim, J.; Marrone, D.P.; Medeiros, L.; Ozel, F.; Psaltis, D.; Rose, M.; et al. First M87 Event Horizon Telescope Results. I. The Shadow of the Supermassive Black Hole 2019.
- Gralla, S.E. Can the EHT M87 results be used to test general relativity. Physical Review D 2021, 103, 024023. [Google Scholar] [CrossRef]
- Akiyama, K.; Alberdi, A.; Alef, W.; Asada, K.; Azulay, R.; Baczko, A.K.; Ball, D.; Baloković, M.; Barrett, J.; Bintley, D.; et al. First M87 event horizon telescope results. V. Physical origin of the asymmetric ring. The Astrophysical Journal Letters 2019, 875, L5. [Google Scholar]
- Batic, D.; Nelson, S.; Nowakowski, M. Light on curved backgrounds. Physical Review D 2015, 91, 104015. [Google Scholar] [CrossRef]
- Wei, S.W. Topological Charge and Black Hole Photon Spheres 2020. [CrossRef]
- Cunha, P.V.P.; Herdeiro, C.A.R. Stationary black holes and light rings 2020. [CrossRef]
- Sadeghi, J.; Afshar, M.A.S. The Role of Topological Photon Spheres in Constraining the Parameters of Black Holes 2024. [CrossRef]
- Brzo, A.B.; Gashti, S.N.; Pourhassan, B.; Beikpour, S. Thermodynamic topology of AdS black holes within non-commutative geometry and Barrow entropy. Nuclear Physics B 2025, 1012. [Google Scholar] [CrossRef]
- Alipour, M.R.; Afshar, M.A.S.; Gashti, S.N.; Sadeghi, J. Weak Gravity Conjecture Validation with Photon Spheres of Quantum Corrected AdS-Reissner-Nordstrom Black Holes in Kiselev Spacetime. arXiv preprint arXiv:2410.14352 2024.
- Sadeghi, J.; Afshar, M.A.S.; Gashti, S.N.; Alipour, M.R. Thermodynamic Topology and Photon Spheres in the Hyperscaling violating black holes 2023. [CrossRef]
- Pantig, R.C.; Övgün, A. Multimodal signatures of asymptotic (A)dS Kalb-Ramond black holes: Constraints through the shadow, weak deflection angle, and topological photon spheres 2025.
- Duane, Y. THE STRUCTURE OF THE TOPOLOGICAL CURRENT*. Technical report, 1984.
- Qiao, C.K. Curvatures, photon spheres, and black hole shadows. Physical Review D 2022, 106, 084060. [Google Scholar] [CrossRef]
- Qiao, C.K.; Li, M. Geometric approach to circular photon orbits and black hole shadows. Physical Review D 2022, 106, L021501. [Google Scholar] [CrossRef]
- Qiao, C.K. The Existence and Distribution of Photon Spheres Near Spherically Symmetric Black Holes–A Geometric Analysis. arXiv preprint arXiv:2407.14035 2024.
- Araújo Filho, A.A.; Nascimento, J.R.; Petrov, A.Y.; Porfírio, P.J.; Övgün, A. Effects of non-commutative geometry on black hole properties. Physics of the Dark Universe 2024, 46, 101630. [Google Scholar] [CrossRef]
- Heidari, N.; Araújo Filho, A.A.; Pantig, R.C.; Övgün, A. Absorption, scattering, geodesics, shadows and lensing phenomena of black holes in effective quantum gravity. Phys. Dark Univ. 2025, 47, 101815, [arXiv:gr-qc/2410.08246]. [CrossRef]
- Perlick, V.; Tsupko, O.Y.; Bisnovatyi-Kogan, G.S. Influence of a plasma on the shadow of a spherically symmetric black hole. Physical Review D 2015, 92, 104031. [Google Scholar] [CrossRef]
- Konoplya, R. Shadow of a black hole surrounded by dark matter. Physics Letters B 2019, 795, 1–6. [Google Scholar] [CrossRef]
- Gibbons, G.W.; Werner, M.C. Applications of the Gauss-Bonnet theorem to gravitational lensing. Class. Quant. Grav. 2008, 25, 235009, [arXiv:gr-qc/0807.0854]. [CrossRef]
- Kumar, R.; Ghosh, S.G. Rotating black holes in 4D Einstein-Gauss-Bonnet gravity and its shadow. Journal of Cosmology and Astroparticle Physics 2020, 2020, 053. [Google Scholar] [CrossRef]
- Afrin, M.; Vagnozzi, S.; Ghosh, S.G. Tests of loop quantum gravity from the event horizon telescope results of Sgr A. The Astrophysical Journal 2023, 944, 149. [Google Scholar] [CrossRef]
- Akiyama, K.; Alberdi, A.; Alef, W.; Algaba, J.C.; Anantua, R.; Asada, K.; Azulay, R.; Bach, U.; Baczko, A.K.; Ball, D.; et al. First Sagittarius A* Event Horizon Telescope results. IV. Variability, morphology, and black hole mass. The Astrophysical Journal Letters 2022, 930, L15. [Google Scholar]
- Akiyama, K.; Alberdi, A.; Alef, W.; Algaba, J.C.; Anantua, R.; Asada, K.; Azulay, R.; Bach, U.; Baczko, A.K.; Ball, D.; et al. First Sagittarius A* event horizon telescope results. VI. Testing the black hole metric. The Astrophysical Journal Letters 2022, 930, L17. [Google Scholar]
- Akiyama, K.; Alberdi, A.; Alef, W.; Asada, K.; Azulay, R.; Baczko, A.; Ball, D.; Baloković, M.; Barrett, J.; Collaboration, E.H.T.; et al. First M87 event horizon telescope results. I. The shadow of the supermassive black hole. The Astrophysical Journal Letters 2019, 875. [Google Scholar]
- Akiyama, K.; Alberdi, A.; Alef, W.; Asada, K.; Azulay, R.; Baczko, A.K.; Ball, D.; Baloković, M.; Barrett, J.; Bintley, D.; et al. First M87 event horizon telescope results. VI. The shadow and mass of the central black hole. The Astrophysical Journal Letters 2019, 875, L6. [Google Scholar]
















|
, |
0.29162-0.09805i | 0.29172-0.09814i | 0.29204-0.09844i | 0.29255-0.09895i | 0.29323-0.09966i | |
| 0.26277-0.30755i | 0.26307-0.30773i | 0.26395-0.30829i | 0.26537-0.30931i | 0.26722-0.31086i | ||
|
|
0.48402-0.09685i | 0.48410-0.09697i | 0.48431-0.09731i | 0.48464-0.09789i | 0.48510-0.09868i | |
| 0.46404-0.29595i | 0.46424-0.29627i | 0.46481-0.29722i | 0.46571-0.29881i | 0.46685-0.30106i | ||
| 0.43257-0.50366i | 0.43297-0.50411i | 0.43412-0.50547i | 0.43594-0.50780i | 0.43824-0.51116i | ||
|
|
0.48402-0.09685i | 0.48412-0.09695i | 0.48440-0.09724i | 0.48485-0.09772i | 0.48548-0.09838i | |
| 0.46404-0.29595i | 0.46424-0.29622i | 0.46482-0.29701i | 0.46574-0.29833i | 0.46694-0.30021i | ||
| 0.43257-0.50366i | 0.43293-0.50403i | 0.43399-0.50516i | 0.43568-0.50710i | 0.43785-0.50990i | ||
| Q = 0.1 | Q = 0.2 | Q = 0.3 | Q = 0.4 | |
|---|---|---|---|---|
| 0.0 | 2.99332 | 2.97309 | 2.93875 | 2.88924 |
| 0.1 | 2.99332 | 2.9731 | 2.93876 | 2.88927 |
| 0.2 | 2.99332 | 2.97312 | 2.93881 | 2.88936 |
| 0.3 | 2.99332 | 2.97314 | 2.93887 | 2.88949 |
| 0.4 | 2.9933 | 2.97315 | 2.93895 | 2.88966 |
| 0.5 | 2.99326 | 2.97315 | 2.93903 | 2.88986 |
| 0.6 | 2.99318 | 2.97312 | 2.93908 | 2.89006 |
| 0.7 | 2.99304 | 2.97304 | 2.93911 | 2.89025 |
| 0.8 | 2.99283 | 2.97289 | 2.93908 | 2.89041 |
Disclaimer/Publisher’s Note: The statements, opinions and data contained in all publications are solely those of the individual author(s) and contributor(s) and not of MDPI and/or the editor(s). MDPI and/or the editor(s) disclaim responsibility for any injury to people or property resulting from any ideas, methods, instructions or products referred to in the content. |
© 2025 by the authors. Licensee MDPI, Basel, Switzerland. This article is an open access article distributed under the terms and conditions of the Creative Commons Attribution (CC BY) license (http://creativecommons.org/licenses/by/4.0/).