Submitted:
26 May 2025
Posted:
27 May 2025
You are already at the latest version
Abstract
Keywords:
1. Introduction
2. Materials and Methods
2.1. Study Design
2.2. Ethical Considerations
2.3. Participants
2.4. Randomization and Study Products administration
2.5. Additional Treatments and Lifestyle Controls
2.6. Assessment Visits and Procedures
2.7. Outcome Measures
2.7.1. Primary Outcome
2.7.2. Secondary Outcome
2.8. Statistical Analysis
3. Results
3.1. Population, Treatment Compliance, and Tolerability
3.2. Skin Profilometry
3.2. Skin Thickness (Epidermis + Dermis) and Skin Density
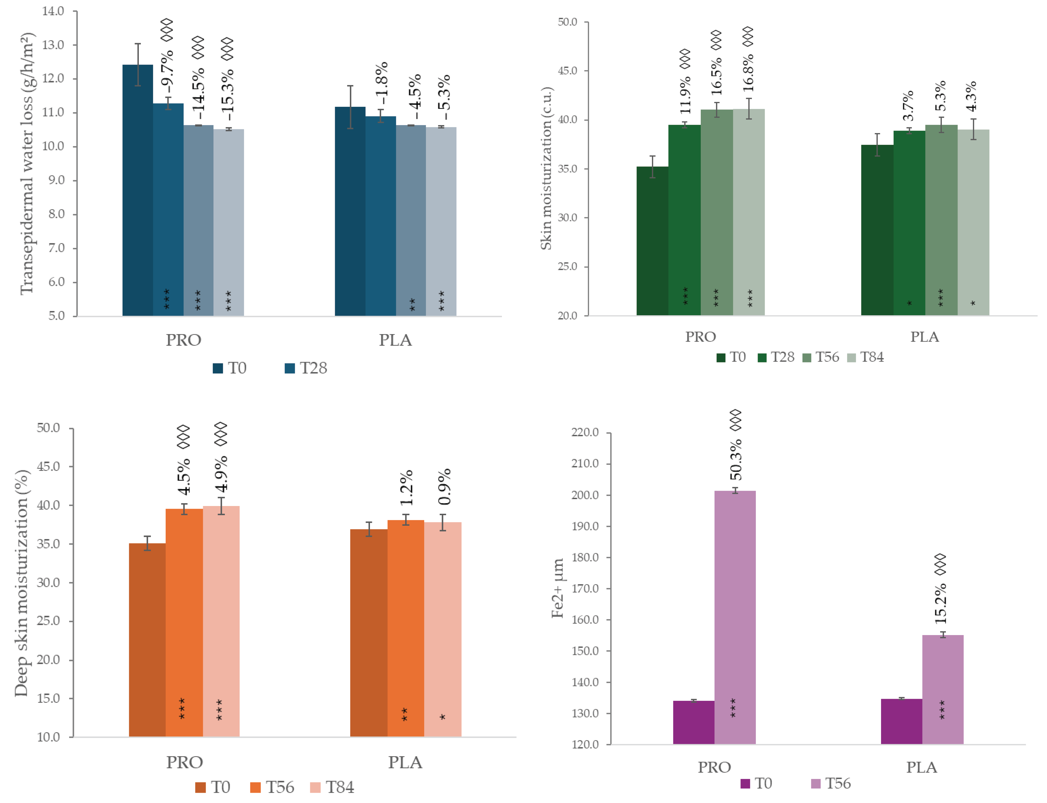
3.3. TEWL and Skin Moisturization Parameters
3.4. FRAP Antioxidant Capacity and Clinical Radiance
3.5. Self-Assessment Questionnaire
4. Discussion
5. Conclusions
Supplementary Materials
Author Contributions
Funding
Institutional Review Board Statement
Informed Consent Statement
Data Availability Statement
Acknowledgments
Conflicts of Interest
Abbreviations
References
- Farage, M.A.; Miller, K.W.; Elsner, P.; Maibach, H.I. Intrinsic and Extrinsic Factors in Skin Ageing: A Review. Int J Cosmet Sci 2008, 30, 87–95. [Google Scholar] [CrossRef]
- Varani, J.; Dame, M.K.; Rittie, L.; Fligiel, S.E.G.; Kang, S.; Fisher, G.J.; Voorhees, J.J. Decreased Collagen Production in Chronologically Aged Skin: Roles of Age-Dependent Alteration in Fibroblast Function and Defective Mechanical Stimulation. Am J Pathol 2006, 168, 1861–1868. [Google Scholar] [CrossRef]
- Krutmann, J.; Bouloc, A.; Sore, G.; Bernard, B.A.; Passeron, T. The Skin Aging Exposome. J Dermatol Sci 2017, 85, 152–161. [Google Scholar] [CrossRef]
- Schagen, S.K.; Zampeli, V.A.; Makrantonaki, E.; Zouboulis, C.C. Discovering the Link between Nutrition and Skin Aging. Dermatoendocrinol 2012, 4, 298–307. [Google Scholar] [CrossRef]
- Krutmann, J.; Schikowski, T.; Morita, A.; Berneburg, M. Environmentally-Induced (Extrinsic) Skin Aging: Exposomal Factors and Underlying Mechanisms. J Invest Dermatol 2021, 141, 1096–1103. [Google Scholar] [CrossRef]
- Zhang, S.; Duan, E. Fighting against Skin Aging: The Way from Bench to Bedside. Cell Transplant 2018, 27, 729–738. [Google Scholar] [CrossRef]
- Byrd, A.L.; Belkaid, Y.; Segre, J.A. The Human Skin Microbiome. Nat Rev Microbiol 2018, 16, 143–155. [Google Scholar] [CrossRef]
- Lee, H.-J.; Kim, M. Skin Barrier Function and the Microbiome. Int J Mol Sci 2022, 23, 13071. [Google Scholar] [CrossRef]
- Harris-Tryon, T.A.; Grice, E.A. Microbiota and Maintenance of Skin Barrier Function. Science 2022, 376, 940–945. [Google Scholar] [CrossRef]
- Gao, T.; Wang, X.; Li, Y.; Ren, F. The Role of Probiotics in Skin Health and Related Gut-Skin Axis: A Review. Nutrients 2023, 15, 3123. [Google Scholar] [CrossRef]
- Bowe, W.P.; Logan, A.C. Acne Vulgaris, Probiotics and the Gut-Brain-Skin Axis - Back to the Future? Gut Pathog 2011, 3, 1. [Google Scholar] [CrossRef]
- Ishii, Y.; Sugimoto, S.; Izawa, N.; Sone, T.; Chiba, K.; Miyazaki, K. Oral Administration of Bifidobacterium Breve Attenuates UV-Induced Barrier Perturbation and Oxidative Stress in Hairless Mice Skin. Arch Dermatol Res 2014, 306, 467–473. [Google Scholar] [CrossRef]
- De Almeida, C.V.; Antiga, E.; Lulli, M. Oral and Topical Probiotics and Postbiotics in Skincare and Dermatological Therapy: A Concise Review. Microorganisms 2023, 11, 1420. [Google Scholar] [CrossRef]
- Nobile, V.; Hajat, C.; Cestone, E.; Cascella, F.; Santus, G. Skin Antiaging and Skin Health Benefits of Probiotic Intake Combined with Topical Ectoin and Sodium Hyaluronate: A Randomized, Double-Blind, Placebo-Controlled Trial. Cosmetics 2025, 12, 34. [Google Scholar] [CrossRef]
- Lee, D.E.; Huh, C.-S.; Ra, J.; Choi, I.-D.; Jeong, J.-W.; Kim, S.-H.; Ryu, J.H.; Seo, Y.K.; Koh, J.S.; Lee, J.-H.; et al. Clinical Evidence of Effects of Lactobacillus Plantarum HY7714 on Skin Aging: A Randomized, Double Blind, Placebo-Controlled Study. J Microbiol Biotechnol 2015, 25, 2160–2168. [Google Scholar] [CrossRef]
- Millman, J.F.; Kondrashina, A.; Walsh, C.; Busca, K.; Karawugodage, A.; Park, J.; Sirisena, S.; Martin, F.-P.; Felice, V.D.; Lane, J.A. Biotics as Novel Therapeutics in Targeting Signs of Skin Ageing via the Gut-Skin Axis. Ageing Res Rev 2024, 102, 102518. [Google Scholar] [CrossRef]
- Sharma, D.; Kober, M.-M.; Bowe, W.P. Anti-Aging Effects of Probiotics. J Drugs Dermatol 2016, 15, 9–12. [Google Scholar]
- Lee, S.-W.; Sin, H.-S.; Hurh, J.; Kim, S.-Y. Anti-Wrinkle Effect of BB-1000: A Double-Blind, Randomized Controlled Study. Cosmetics 2022, 9, 50. [Google Scholar] [CrossRef]
- Lee, K.; Kim, H.J.; Kim, S.A.; Park, S.-D.; Shim, J.-J.; Lee, J.-L. Exopolysaccharide from Lactobacillus Plantarum HY7714 Protects against Skin Aging through Skin-Gut Axis Communication. Molecules 2021, 26, 1651. [Google Scholar] [CrossRef]
- Knackstedt, R.; Knackstedt, T.; Gatherwright, J. The Role of Topical Probiotics in Skin Conditions: A Systematic Review of Animal and Human Studies and Implications for Future Therapies. Exp Dermatol 2020, 29, 15–21. [Google Scholar] [CrossRef]
- Kober, M.-M.; Bowe, W.P. The Effect of Probiotics on Immune Regulation, Acne, and Photoaging. Int J Womens Dermatol 2015, 1, 85–89. [Google Scholar] [CrossRef]
- Huuskonen, L.; Lyra, A.; Lee, E.; Ryu, J.; Jeong, H.; Baek, J.; Seo, Y.; Shin, M.; Tiihonen, K.; Pesonen, T.; et al. Effects of Bifidobacterium animalis subsp. lactis Bl-04 on Skin Wrinkles and Dryness: A Randomized, Triple-Blinded, Placebo-Controlled Clinical Trial. Dermato 2022, 2, 30–52. [Google Scholar] [CrossRef]
- Rybak, I.; Haas, K.N.; Dhaliwal, S.K.; Burney, W.A.; Pourang, A.; Sandhu, S.S.; Maloh, J.; Newman, J.W.; Crawford, R.; Sivamani, R.K. Prospective Placebo-Controlled Assessment of Spore-Based Probiotic Supplementation on Sebum Production, Skin Barrier Function, and Acne. J Clin Med 2023, 12, 895. [Google Scholar] [CrossRef]
- Skin Aging Atlas Vol 1—Caucasian Type—Bazin, Roland: 9782354030018—AbeBooks. Available online: https://www.abebooks.it/9782354030018/Skin-aging-atlas-vol-caucasian-2354030010/plp (accessed on 20 May 2025).
- Benzie, I.F.; Strain, J.J. The Ferric Reducing Ability of Plasma (FRAP) as a Measure of “Antioxidant Power”: The FRAP Assay. Anal Biochem 1996, 239, 70–76. [Google Scholar] [CrossRef]
- Nobile, V.; Cestone, E.; Ghirlanda, S.; Poggi, A.; Navarro, P.; García, A.; Jones, J.; Caturla, N. Skin and Scalp Health Benefits of a Specific Botanical Extract Blend: Results from a Double-Blind Placebo-Controlled Study in Urban Outdoor Workers. Cosmetics 2024, 11, 139. [Google Scholar] [CrossRef]
- Michelotti, A.; Cestone, E.; De Ponti, I.; Giardina, S.; Pisati, M.; Spartà, E.; Tursi, F. Efficacy of a Probiotic Supplement in Patients with Atopic Dermatitis: A Randomized, Double-Blind, Placebo-Controlled Clinical Trial. Eur J Dermatol 2021, 31, 225–232. [Google Scholar] [CrossRef]
- Carlomagno, F.; Pesciaroli, C.; Cestone, E.; De Ponti, I.; Michelotti, A.; Tursi, F. Clinical Assessment on the Efficacy of a Combined Treatment Targeting Subjects with Acne-Prone Skin. Our Dermatol Online 2022, 13, 240–247. [Google Scholar] [CrossRef]
- Seo, E.; Song, H.H.; Kim, H.; Kim, B.-Y.; Park, S.; Suh, H.J.; Ahn, Y. Oral Administration of Mixed Probiotics Improves Photoaging by Modulating the Cecal Microbiome and MAPK Pathway in UVB-Irradiated Hairless Mice. Mol Nutr Food Res 2023, 67, e2200841. [Google Scholar] [CrossRef]
- Shi, Z.; Malfa, P.; De Ponti, I.; Yu, X.; Lo Re, M.; Tursi, F. Investigating the Impact of Oral Probiotic Supplementation for Acne Management: A Randomized Controlled Trial. Our Dermatol Online 2024, 15. [Google Scholar] [CrossRef]
- Markowiak-Kopeć, P.; Śliżewska, K. The Effect of Probiotics on the Production of Short-Chain Fatty Acids by Human Intestinal Microbiome. Nutrients 2020, 12, 1107. [Google Scholar] [CrossRef]
- Woo, Y.R.; Kim, H.S. Interaction between the Microbiota and the Skin Barrier in Aging Skin: A Comprehensive Review. Front Physiol 2024, 15, 1322205. [Google Scholar] [CrossRef]
- Lee, H.; Hong, Y.; Kim, M. Structural and Functional Changes and Possible Molecular Mechanisms in Aged Skin. Int J Mol Sci 2021, 22, 12489. [Google Scholar] [CrossRef]
- Lim, H.Y.; Jeong, D.; Park, S.H.; Shin, K.K.; Hong, Y.H.; Kim, E.; Yu, Y.-G.; Kim, T.-R.; Kim, H.; Lee, J.; et al. Antiwrinkle and Antimelanogenesis Effects of Tyndallized Lactobacillus Acidophilus KCCM12625P. Int J Mol Sci 2020, 21, 1620. [Google Scholar] [CrossRef]
- Waller, J.M.; Maibach, H.I. Age and Skin Structure and Function, a Quantitative Approach (I): Blood Flow, pH, Thickness, and Ultrasound Echogenicity. Skin Research and Technology 2005, 11, 221–235. [Google Scholar] [CrossRef]
- Shuster, S.; Black, M.M.; McVitie, E. The Influence of Age and Sex on Skin Thickness, Skin Collagen and Density. Br J Dermatol 1975, 93, 639–643. [Google Scholar] [CrossRef]
- Negari, I.P.; Keshari, S.; Huang, C.-M. Probiotic Activity of Staphylococcus Epidermidis Induces Collagen Type I Production through FFaR2/p-ERK Signaling. IJMS 2021, 22, 1414. [Google Scholar] [CrossRef]
- Agrawal, R.; Hu, A.; Bollag, W.B. The Skin and Inflamm-Aging. Biology (Basel) 2023, 12, 1396. [Google Scholar] [CrossRef]
- Nam, B.; Kim, S. A.; Park, S. D.; Kim, H. J.; Kim, J. S.; Bae, C. H.; Kim, J. Y.; Nam, W.; Lee, J. L.; Sim, J. H. Regulatory Effects of Lactobacillus Plantarum HY7714 on Skin Health by Improving Intestinal Condition. PLOS ONE 2020, 15(4), e0231268. [Google Scholar] [CrossRef]
- Gao, T.; Li, Y.; Wang, X.; Tao, R.; Ren, F. Bifidobacterium Longum 68S Mediated Gut-Skin Axis Homeostasis Improved Skin Barrier Damage in Aging Mice. Phytomedicine 2023, 120, 155051. [Google Scholar] [CrossRef]



| Variable | PRO (n = 33) | PLA (n = 33) | Units |
|
Sex Male Female |
|||
| 16 (48%) | 18 (52%) | n.a. | |
| 17 (52%) | 15 (48%) | n.a. | |
| Age (years) | 53.6 ± 1.5 | 52.9 ± 1.5 | Years |
| Wrinkle Depth | 320.0 ± 24.6 | 296.4 ± 19.5 | µm |
| Ra | 32.8 ± 1.5 | 34.0 ± 1.3 | µm |
| Skin Thickness | 1578.1 ± 43.7 | 1614.3 ± 38.9 | µm |
| Skin Density | 17.9 ± 0.4 | 17.5 ± 0.4 | % |
| TEWL | 12.4 ± 0.4 | 11.1 ± 0.3 | g/h/m2 |
| Superficial skin moisturization | 35.2 ± 1.4 | 37.4 ± 1.1 | c.u. |
| Deep skin moisturization | 35.0 ± 1.5 | 36.9 ± 1.3 | % |
| FRAP assay | 134.0 ± 7.0 | 134.7 ± 9.4 | Fe2+ μm |
| T0 | T28 | T56 | T84 | |
| Wrinkle Depth (µm) | ||||
| PRO PLA |
320.0 ± 24.6 | 286.8 ± 23.0** (–10.4%)◊◊ |
272.1 ± 19.9*** (–15.0%)◊◊ |
282.8 ± 21.1*** (–11.6%)◊ |
| 296.4 ± 19.5 | 291.0 ± 18.6 (–1.8%) |
291.6 ± 21.3 (–1.6%) |
290.4 ± 19.3 (–2.0%) |
|
| Ra (µm) | ||||
| PRO PLA |
32.8 ± 1.5 | 31.4 ± 1.0* (–4.3%)◊ |
30.8 ± 1.0** (–6.1%)◊◊ |
31.1 ± 0.9* (–5.2%)◊ |
| 34.0 ± 1.3 | 34.4 ± 1.2 (1.2%) |
34.5 ± 1.3 (1.5%) |
34.7 ± 1. 5(2.1%) |
| T0 | T56 | T84 | |
| Skin Thickness (µm) | |||
| PRO PLA |
1578.1 ± 43.7 | 1617.4 ± 42.4** (+2.5%) |
1620.8 ± 44.3** (+2.7%)◊ |
| 1614.3 ± 38.9 | 1616.7 ± 37.9 (+0.1%) | 1617.8 ± 38.8 (+0.2%) | |
| Skin Density (%) | |||
| PRO PLA |
17.9 ± 0.4 | 21.2 ± 0.7*** (+3.31%)◊◊◊ | 21.2 ± 0.7*** (+3.36%)◊◊◊ |
| 17.5 ± 0.4 | 17.8 ± 0.4 (+0.27%) | 17.7 ± 0.5 (+0.17%) |
Disclaimer/Publisher’s Note: The statements, opinions and data contained in all publications are solely those of the individual author(s) and contributor(s) and not of MDPI and/or the editor(s). MDPI and/or the editor(s) disclaim responsibility for any injury to people or property resulting from any ideas, methods, instructions or products referred to in the content. |
© 2025 by the authors. Licensee MDPI, Basel, Switzerland. This article is an open access article distributed under the terms and conditions of the Creative Commons Attribution (CC BY) license (http://creativecommons.org/licenses/by/4.0/).