Submitted:
26 May 2025
Posted:
28 May 2025
You are already at the latest version
Abstract
Keywords:
1. Introduction
2. Materials and Methods
2.1. Hardware and Software Environment Used
2.2. Downloading the NCBI Database
2.3. Construction of Hidden Markov Models of Rhamnosyltransferases and HMMER Searches
2.4. Distribution of Potential RHTs in the Kingdom Fungi
2.5. Analysis of Three-Dimensional Structures of Putative RHTs
2.6. Site-Directed in Silico Mutagenesis
2.7. Strains and Culture Conditions
2.8. Analysis of Cell Wall Composition
2.9. Enzyme Activity
3. Results
3.1. HMM Construction of RHTs and Searches with HMMER
3.2. Phylogenetic Distribution of Putative RHTs
3.3. Identification and Distribution of Conserved Motifs in Putative RHTs
3.4. Structural Analysis of Predicted RHT Proteins
3.5. Molecular Docking Analysis of Putative RHTs
3.6. In Silico Site-Directed Mutagenesis
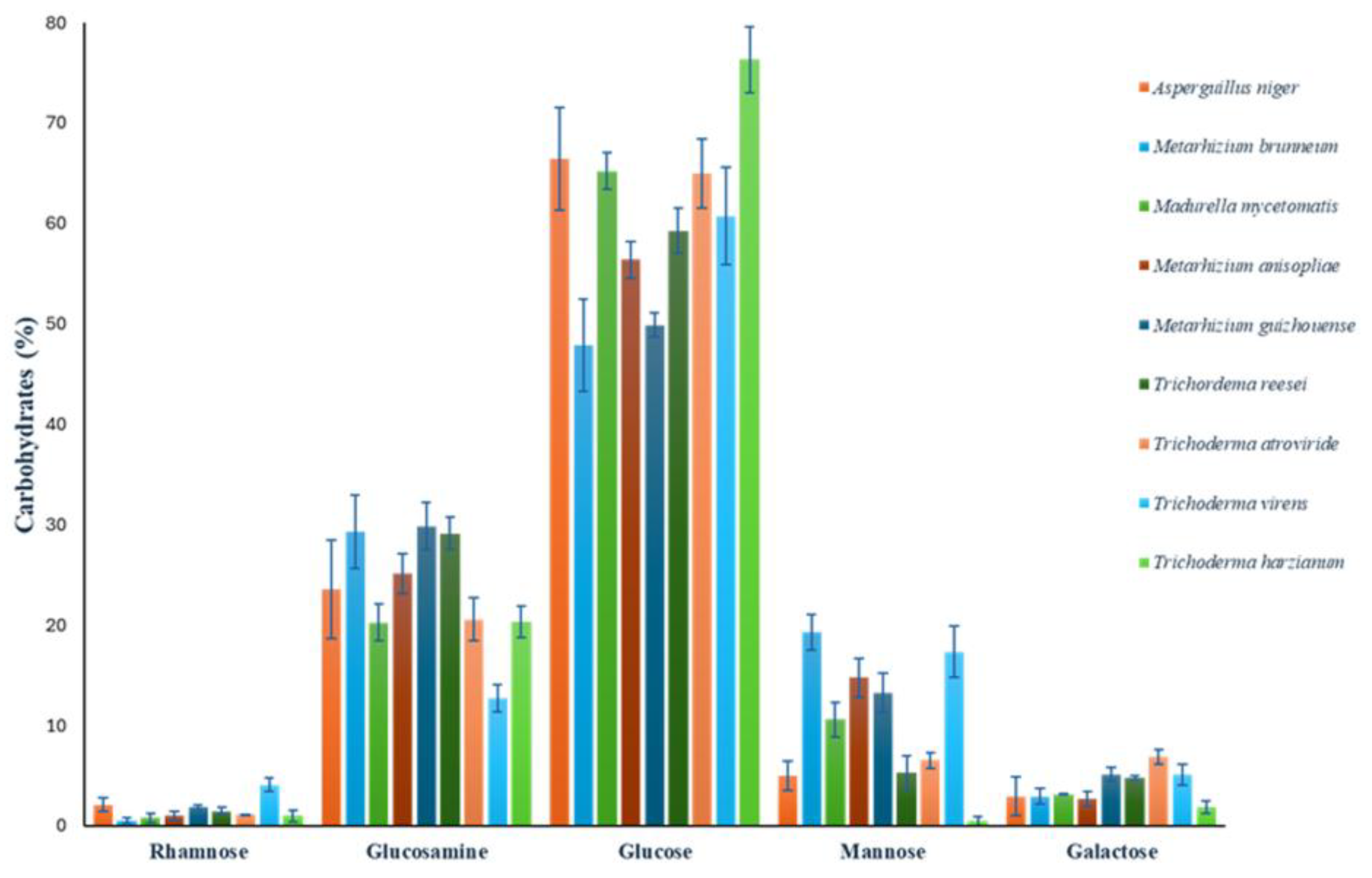
3.7. Cell Wall Carbohydrate Composition in Species with Putative RHTs
3.8. Enzymatic Analysis of Putative RHTs
4. Discussion
5. Conclusions
Supplementary Materials
Funding
References
- Stajich, J.E.; Berbee, M.L.; Blackwell, M.; Hibbett, D.S.; James, T.Y.; Spatafora, J.W.; Taylor, J.W. The Fungi. Curr. Biol. 2009, 19. [Google Scholar] [CrossRef] [PubMed]
- Choi, J.J.; Kim, S.H. A Genome Tree of Life for the Fungi Kingdom. Proc. Natl. Acad. Sci. U S A 2017, 114, 9391–9396. [Google Scholar] [CrossRef] [PubMed]
- Naranjo-Ortiz, M.A.; Gabaldón, T. Fungal Evolution: Diversity, Taxonomy and Phylogeny of the Fungi. Biol. Rev. 2019, 94, 2101–2137. [Google Scholar] [CrossRef] [PubMed]
- Stajich, J.E. Fungal Genomes and Insights into the Evolution of the Kingdom. Microbiol. Spectr. 2017, 5. [Google Scholar] [CrossRef]
- Ruiz-Herrera, J.; Ortiz-Castellanos, L. Analysis of the Phylogenetic Relationships and Evolution of the Cell Walls from Yeasts and Fungi. FEMS Yeast Res. 2010, 10, 225–243. [Google Scholar] [CrossRef]
- Gonçalves, D. de S.; Rodriguez de La Noval, C.; Ferreira, M. da S.; Honorato, L.; Araújo, G.R. de S.; Frases, S.; Pizzini, C.V.; Nosanchuk, J.D.; Cordero, R.J.B.; Rodrigues, M.L.; et al. Histoplasma capsulatum Glycans from Distinct Genotypes Share Structural and Serological Similarities to Cryptococcus neoformans Glucuronoxylo-mannan. Front. Cell Infect. Microbiol. [CrossRef]
- Lozoya-Pérez, N.E.; Casas-Flores, S.; de Almeida, J.R.F.; Martínez-Álvarez, J.A.; López-Ramírez, L.A.; Jannuzzi, G.P.; Trujillo-Esquivel, E.; Estrada-Mata, E.; Almeida, S.R.; Franco, B.; et al. Silencing of OCH1 Unveils the Role of Sporothrix schenckii N-Linked Glycans during the Host–Fungus Interaction. Infect. Drug Resist. 2019, 12, 67–85. [Google Scholar] [CrossRef]
- Mora-Montes, H.M.; García-Gutiérrez, K.; García-Carnero, L.C.; Lozoya-Pérez, N.E.; Ramirez-Prado, J.H. The Search for Cryptic L-Rhamnosyltransferases on the Sporothrix schenckii Genome. J. Fungi 2022, 8. [Google Scholar] [CrossRef]
- Yang, Y.; Liang, Y.; Cui, F.; Wang, Y.; Sun, L.; Zan, X.; Sun, W. UDP-Glycosyltransferases in Edible Fungi: Function, Structure, and Catalytic Mechanism. Ferment. 2023, 9. [Google Scholar] [CrossRef]
- Kikuchi, N.; Kwon, Y.D.; Gotoh, M.; Narimatsu, H. Comparison of Glycosyltransferase Families Using the Profile Hidden Markov Model. Biochem. Biophys. Res. Commun. 2003, 310, 574–579. [Google Scholar] [CrossRef]
- Drula, E.; Garron, M.L.; Dogan, S.; Lombard, V.; Henrissat, B.; Terrapon, N. The Carbohydrate-Active Enzyme Database: Functions and Literature. Nucleic. Acids. Res. 2022, 50, D571–D577. [Google Scholar] [CrossRef]
- Yonekura-Sakakibara, K.; Hanada, K. An Evolutionary View of Functional Diversity in Family 1 Glycosyl-transferases. Plant J. 2011, 66, 182–193. [Google Scholar] [CrossRef] [PubMed]
- Wagstaff, B.A.; Zorzoli, A.; Dorfmueller, H.C. Ndp-Rhamnose Biosynthesis and Rhamnosyltransferases: Building Diverse Glycoconjugates in Nature. Biochem. J. 2021, 478, 685–701. [Google Scholar] [CrossRef] [PubMed]
- Lopes-Bezerra, L.M. Sporothrix schenckii Cell Wall Peptidorhamnomannans. Front. Microbiol. 2011, 2. [Google Scholar] [CrossRef] [PubMed]
- Rollin-Pinheiro, R.; Xisto, M.I.D. da S.; Rochetti, V.P.; Barreto-Bergter, E. Scedosporium Cell Wall: From Carbohydrate-Containing Structures to Host–Pathogen Interactions. Mycopathol.
- Albuquerque, P.C.; Cordero, R.J.B.; Fonseca, F.L.; Peres da Silva, R.; Ramos, C.L.; Miranda, K.R.; Casadevall, A.; Puccia, R.; Nosanchuk, J.D.; Nimrichter, L.; et al. A Paracoccidioides brasiliensis Glycan Shares Serologic and Functional Properties with Cryptococcal Glucuronoxylomannan. Fungal Genet. Biol. 2012, 49, 943–954. [Google Scholar] [CrossRef]
- Wilson, A.E.; Tian, L. Phylogenomic Analysis of UDP-Dependent Glycosyltransferases Provides Insights into the Evolutionary Landscape of Glycosylation in Plant Metabolism. Plant J. 2019, 100, 1273–1288. [Google Scholar] [CrossRef]
- Takenaka, Y.; Kato, K.; Ogawa-Ohnishi, M.; Tsuruhama, K.; Kajiura, H.; Yagyu, K.; Takeda, A.; Takeda, Y.; Kunieda, T.; Hara-Nishimura, I.; et al. Pectin RG-I Rhamnosyltransferases Represent a Novel Plant-Specific Glycosyltransferase Family. Nat. Plant. 2018, 4, 669–676. [Google Scholar] [CrossRef]
- Sayers, E.W.; Bolton, E.E.; Brister, J.R.; Canese, K.; Chan, J.; Comeau, D.C.; Connor, R.; Funk, K.; Kelly, C.; Kim, S.; et al. Database Resources of the National Center for Biotechnology Information. Nucleic. Acids Res. 2022, 50, D20–D26. [Google Scholar] [CrossRef]
- Mistry, J.; Chuguransky, S.; Williams, L.; Qureshi, M.; Salazar, G.A.; Sonnhammer, E.L.L.; Tosatto, S.C.E.; Paladin, L.; Raj, S.; Richardson, L.J.; et al. Pfam: The Protein Families Database in 2021. Nucleic. Acids Res. 2021, 49, D412–D419. [Google Scholar] [CrossRef]
- Mirdita, M.; Schütze, K.; Moriwaki, Y.; Heo, L.; Ovchinnikov, S.; Steinegger, M. ColabFold: Making Protein Folding Accessible to All. Nat. Methods 2022, 19, 679–682. [Google Scholar] [CrossRef]
- Camacho, C.; Coulouris, G.; Avagyan, V.; Ma, N.; Papadopoulos, J.; Bealer, K.; Madden, T.L. BLAST+: Architecture and Applications. BMC Bioinform 2009, 10, 1–9. [Google Scholar] [CrossRef]
- Katoh, K.; Rozewicki, J.; Yamada, K.D. MAFFT Online Service: Multiple Sequence Alignment, Interactive Sequence Choice and Visualization. Brief. Bioinform. 2018, 20, 1160–1166. [Google Scholar] [CrossRef] [PubMed]
- Eddy, S.R. Accelerated Profile HMM Searches. PLoS Comput Biol 2011, 7, e1002195. [Google Scholar] [CrossRef]
- Choudhuri, S. Sequence Alignment and Similarity Searching in Genomic Databases: BLAST and FASTA. In Bioinformatics for Beginners. Acad. Press.
- Bailey, T.L.; Johnson, J.; Grant, C.E.; Noble, W.S. The MEME Suite. Nucleic. Acids Res. 2015, 43, 39–49. [Google Scholar] [CrossRef] [PubMed]
- Guindon, S.; Dufayard, J.-F.; Lefort, V.; Anisimova, M.; Hordijk, W.; Gascuel, O.; Pour, A. New Algorithms and Methods to Estimate Maximum-Likelihood Phylogenies: Assessing the Performance of PhyML 3.0. Syst. Biol. 2010, 59, 307–321. [Google Scholar] [CrossRef] [PubMed]
- Bateman, A.; Martin, M.J.; Orchard, S.; Magrane, M.; Ahmad, S.; Alpi, E.; Bowler-Barnett, E.H.; Britto, R.; Bye-A-Jee, H.; Cukura, A.; et al. UniProt: The Universal Protein Knowledgebase in 2023. Nucleic. Acids. Res. 2023, 51, D523–D531. [Google Scholar] [CrossRef]
- Schrödinger, L.L.C.; DeLano, W. The PyMOL Molecular Graphics System, Version 3.0.
- Liu, Y.; Grimm, M.; Dai, W. tao; Hou, M. chun; Xiao, Z.X.; Cao, Y. CB-Dock: A Web Server for Cavity Detection-Guided Protein–Ligand Blind Docking. Act. Pharmacol. Sin. 2020, 41, 138–144. [Google Scholar] [CrossRef]
- Dallakyan, S.; Olson, A.J. Small-Molecule Library Screening by Docking with PyRx. Chem Biol: Methods Mol. Biol. [CrossRef]
- Umi-Baroroh, S.; Biotek, M.; Muscifa, Z. S.; Destiarani, W.; Rohmatullah, F. G.; Yusuf, M. Molecular interaction analysis and visualization of protein-ligand docking using Biovia Discovery Studio Visualizer. I.J.C.B. 2023, 1, 22–30. [Google Scholar] [CrossRef]
- Kim, S.; Chen, J.; Cheng, T.; Gindulyte, A.; He, J.; He, S.; Li, Q.; Shoemaker, B.A.; Thiessen, P.A.; Yu, B.; et al. PubChem 2025 Update. Nucleic Acids Res. 2025, 53, 1516–1525. [Google Scholar] [CrossRef]
- O’Boyle, N.M.; Banck, M.; James, C.A.; Morley, C.; Vandermeersch, T.; Hutchison, G.R. Open Babel: An Open Chemical Toolbox. J. Cheminform. 2011, 3, 1–14. [Google Scholar] [CrossRef]
- Jo, S.; Kim, T.; Iyer, V.G.; Im, W. CHARMM-GUI: A Web-Based Graphical User Interface for CHARMM. J. Comput. Chem. 2008, 29, 1859–1865. [Google Scholar] [CrossRef]
- Piña-Torres, I.H.; Dávila-Berumen, F.; González-Hernández, G.A.; Torres-Guzmán, J.C.; Padilla-Guerrero, I.E. Hyphal Growth and Conidia Germination Are Induced by Phytohormones in the Root Colonizing and Plant Growth Promoting Fungus Metarhizium Guizhouense. J. Fungi 2023, 9, 1–13. [Google Scholar] [CrossRef] [PubMed]
- Estrada-Mata, E.; Navarro-Arias, M.J.; Pérez-García, L.A.; Mellado-Mojica, E.; López, M.G.; Csonka, K.; Gacser, A.; Mora-Montes, H.M. Members of the Candida parapsilosis Complex and Candida albicans Are Differentially Recognized by Human Peripheral Blood Mononuclear Cells. Front. Microbiol. 2016, 6, 1–11. [Google Scholar] [CrossRef] [PubMed]
- Mora-Montes, H.M.; Bates, S.; Netea, M.G.; Díaz-Jiménez, D.F.; López-Romero, E.; Zinker, S.; Ponce-Noyola, P.; Kullberg, B.J.; Brown, A.J.P.; Odds, F.C.; et al. Endoplasmic Reticulum α-Glycosidases of Candida albicans Are Required for N Glycosylation, Cell Wall Integrity, and Normal Host-Fungus Interaction. Eukaryot. Cell 2007, 6, 2184–2193. [Google Scholar] [CrossRef] [PubMed]
- Tamez-Castrellón, A.K.; van der Beek, S.L.; López-Ramírez, L.A.; Martínez-Duncker, I.; Lozoya-Pérez, N.E.; van Sorge, N.M.; Mora-Montes, H.M. Disruption of Protein Rhamnosylation Affects the Sporothrix Schenckii-Host Interaction. Cell Surf. 2021, 7, 100058. [Google Scholar] [CrossRef]
- Coutsias, E.A.; Wester, M.J. RMSD and Symmetry. J Comput. Chem. 2019, 40, 1496–1508. [Google Scholar] [CrossRef]
- Carugo, O. Statistical Validation of the Root-Mean-Square-Distance, a Measure of Protein Structural Proximity. PEDS 2007, 20, 33–37. [Google Scholar] [CrossRef]
- Felsenstein, J.; Churchill, G.A. A Hidden Markov Model Approach to Variation Among Sites in Rate of Evolution. Mol. Biol. Evol. 1996, 13, 93–104. [Google Scholar] [CrossRef]
- Abdel-Azeem, A.M.; Abdel-Azeem, M.A.; Abdul-Hadi, S.Y.; Darwish, A.G. Aspergillus: Biodiversity, Ecological Significances, and Industrial Applications. Fungal Biol. 2019, 121–179. [Google Scholar]
- Ashiq, S. Natural Occurrence of Mycotoxins in Food and Feed: Pakistan Perspective. Compr. Rev. Food Sci. 2015, 14, 159–175. [Google Scholar] [CrossRef]
- Adeyeye, S.A.O. Fungal Mycotoxins in Foods: A Review. Cogent. Food Agric. 2016, 2, 1–11. [Google Scholar] [CrossRef]
- Moretti, A.; Susca, A. Penicillium Species and Their Associated Mycotoxins.; H. Press: New York 2017,182, 167-177.
- Gurikar, C.; Shivaprasad, D.P.; Sabillón, L.; Nanje Gowda, N.A.; Siliveru, K. Impact of Mycotoxins and Their Metabolites Associated with Food Grains. Grain and Oil Sci. Tech. 2023, 6, 1–9. [Google Scholar] [CrossRef]
- Abdel-Azeem, A.M.; Abdel-Azeem, M.A.; Darwish, A.G.; Nafady, N.A.; Ibrahim, N.A. Fusarium: Biodiversity, Ecological Significances, and Industrial Applications. Fungal Biol. 2019, 201–261. [Google Scholar]
- Awuchi, C.G.; Ondari, E.N.; Ogbonna, C.U.; Upadhyay, A.K.; Baran, K.; Okpala, C.O.R.; Korzeniowska, M.; Guiné, R.P.F. Mycotoxins Affecting Animals, Foods, Humans and Plants: Types, Occurrence, Toxicities, Action Mechanisms, Prevention and Detoxification Strategies-a Revisit. Foods 2021, 10. [Google Scholar] [CrossRef] [PubMed]
- Qiu, J.; Dong, F.; Yu, M.; Xu, J.; Shi, J. Effect of Preceding Crop on Fusarium Species and Mycotoxin Contamination of Wheat Grains. J. Sci. Food Agric. 2016, 96, 4536–4541. [Google Scholar] [CrossRef]
- Chiotta, M.L.; Fumero, M.V.; Cendoya, E.; Palazzini, J.M.; Alaniz-Zanon, M.S.; Ramirez, M.L.; Chulze, S.N. Toxigenic Fungal Species and Natural Occurrence of Mycotoxins in Crops Harvested in Argentina. Rev. Argent. Microbiol. 2020, 52, 339–347. [Google Scholar] [CrossRef]
- Candadai, S. Ramadoss; John Uhlig; Don M. Carbon; Larry G. Butler; Ralph L. Nicholson Composition of the Mucilaginous Spore Matrix of Colletotrichum, a Pathogen of Corn, Sorghum, and Other Grasses. ACS.
- Poveda, J. Trichoderma as Biocontrol Agent against Pests: New Uses for a Mycoparasite. Biological Control 2021, 159. [Google Scholar] [CrossRef]
- Guzmán-Guzmán, P.; Porras-Troncoso, M.D.; Olmedo-Monfil, V.; Herrera-Estrella, A. Trichoderma Species: Versatile Plant Symbionts. Phytopathol. 2019, 109, 6–16. [Google Scholar] [CrossRef]
- Sheshegova, T.K.; Shchekleina, L.M. Control of Ergot (Claviceps purpurea (Fr) Tul.) with New Pesticides. Russ. Agric. Sci. [CrossRef]
- Chen, W.; Yu, M.; Chen, S.; Gong, T.; Xie, L.; Liu, J.; Bian, C.; Huang, G.; Zheng, C. Structures and Biological Activities of Secondary Metabolites from Xylaria Spp. J. Fungi 2024, 10. [Google Scholar] [CrossRef]
- Koyani, R. Xylariaceae: Overview and Addition to Fungal Diversity of Gujarat State. Stud. Fungi 2016, 1, 69–79. [Google Scholar] [CrossRef]
- Prillinger, H.; Lopandic, K. Yeast-Types of the Basidiomycota Using Cell Wall Sugars and Ribosomal DNA Sequences. STAPFIA 2015, 103, 3–18. [Google Scholar]
- Rytioja, J.; Hildén, K.; Di Falco, M.; Zhou, M.; Aguilar-Pontes, M.V.; Sietiö, O.M.; Tsang, A.; de Vries, R.P.; Mäkelä, M.R. The Molecular Response of the White-Rot Fungus Dichomitus squalens to Wood and Non-Woody Biomass as Examined by Transcriptome and Exoproteome Analyses. Environ. Microbiol. 2017, 19, 1237–1250. [Google Scholar] [CrossRef] [PubMed]
- Rytioja, J.; Hildén, K.; Yuzon, J.; Hatakka, A.; de Vries, R.P.; Mäkelä, M.R. Plant-Polysaccharide-Degrading Enzymes from Basidiomycetes. Microbio. Mol. Bio. Rev. 2014, 78, 614–649. [Google Scholar] [CrossRef] [PubMed]
- Liers, C.; Arnstadt, T.; Ullrich, R.; Hofrichter, M. Patterns of Lignin Degradation and Oxidative Enzyme Secretion by Different Wood- and Litter-Colonizing Basidiomycetes and Ascomycetes Grown on Beech-Wood. FEMS Microbiol. Ecol. 2011, 78, 91–102. [Google Scholar] [CrossRef] [PubMed]
- López, S.C.; Peng, M.; Issak, T.Y.; Daly, P.; de Vries, R.P.; Mäkelä, M.R. Induction of Genes Encoding Plant Cell Wall-Degrading Carbohydrate-Active Enzymes by Lignocellulose-Derived Monosaccharides and Cellobiose in the White-Rot Fungus Dichomitus squalens. Appl. Environ. Microbiol. 2018, 84. [Google Scholar] [CrossRef]
- Santhanam, P.; Boshoven, J.C.; Salas, O.; Bowler, K.; Islam, M.T.; Saber, M.K.; van den Berg, G.C.M.; Bar-Peled, M.; Thomma, B.P.H.J. Rhamnose Synthase Activity Is Required for Pathogenicity of the Vascular Wilt Fungus Verticillium dahliae. Mol. Plant Pathol. 2017, 18, 347–362. [Google Scholar] [CrossRef]
- Xie, X.; Lipke, P.N. On the Evolution of Fungal and Yeast Cell Walls. Yeast 2010, 27, 479–488. [Google Scholar] [CrossRef]
- Klaubauf, S.; Tharreau, D.; Fournier, E.; Groenewald, J.Z.; Crous, P.W.; de Vries, R.P.; Lebrun, M.H. Resolving the Polyphyletic Nature of Pyricularia (Pyriculariaceae). Stud. Mycol. 2014, 79, 85–120. [Google Scholar] [CrossRef]
- Luo, J.; Zhang, N. Magnaporthiopsis, a New Genus in Magnaporthaceae (Ascomycota). Mycol. 2013, 105, 1019–1029. [Google Scholar] [CrossRef]
- Martyn, R.D.; Miller, M.E. Monosporascus Root Rot and Vine Decline. APS 1996, 80, 716–725. [Google Scholar]
- Hugouvieux, V.; Centis, S.; Lafitte, C.; Esquerre-Tugaye, M.-T. Induction By-L-Arabinose and-L-Rhamnose of Endopolygalacturonase Gene Expression in Colletotrichum lindemuthianum. Appl. Environ. Microbiol. 1997, 63. [Google Scholar] [CrossRef]
- Ahmed, A.O.A.; van Leeuwen, W.; Ahmed, F.; van de Sande, W.; Verbrugh, H.; van Belkum, A. Madurella Caused by Madurella Mycetomatis: A Infectious Burden. Lancet. Infect. Dis. 2004, 4, 566–574. [Google Scholar] [CrossRef] [PubMed]
- Rolshausen, P.E.; Baumgartner, K.; Travadon, R.; Fujiyoshi, P.; Pouzoulet, J.; Wilcox, W.F. Identification of Eutypa Spp. Causing Eutypa Dieback of Grapevine in Eastern North America. Plant Dis. 2013, 98, 483–491. [Google Scholar] [CrossRef] [PubMed]
- Gavrilova, O.P.; Orina, A.S.; Kessenikh, E.D.; Gustyleva, L.K.; Savelieva, E.I.; Gogina, N.N.; Gagkaeva, T.Y. Diversity of Physiological and Biochemical Characters of Microdochium Fungi. Chem. Biodivers. 2020, 17. [Google Scholar] [CrossRef] [PubMed]
- Petrović, E.; Godena, S.; Ćosić, J.; Vrandečić, K. Identification and Pathogenicity of Biscogniauxia and Sordaria Species Isolated from Olive Trees. Horticul. 2024, 10. [Google Scholar] [CrossRef]
- Lopez, D.C.; Zhu-Salzman, K.; Ek-Ramos, M.J.; Sword, G.A. The Entomopathogenic Fungal Endophytes Purpureocillium lilacinum (Formerly Paecilomyces lilacinus) and Beauveria bassiana Negatively Affect Cotton Aphid Reproduction under Both Greenhouse and Field Conditions. PLoS One 2014, 9. [Google Scholar] [CrossRef]
- Wiggins, C.A.R.; Munro, S. Activity of the Yeast MNN1-1,3-Mannosyltransferase Requires a Motif Conserved in Many Other Families of Glycosyltransferases. Proc. Natl. Acad. Sci. U.S.A. 1995, 14, 7945–7950. [Google Scholar] [CrossRef]
- Schuman, B.; Alfaro, J.A.; Evans, S. V. Glycosyltransferase Structure and Function. In Bioactive Conformation I. Sprin. Berl. Heidel. 2006, 217–257. [Google Scholar]
- Lairson, L.L.; Henrissat, B.; Davies, G.J.; Withers, S.G. Glycosyl Transferases: Structures, Functions, and Mechanisms. Annu. Rev. Biochem. 2008, 77, 521–555. [Google Scholar] [CrossRef]
- Eck, R. V; Dayhoff, M.O. Evolution of the Structure of Ferredoxin Based on Living Relics of Primitive Amino Acid. Science 1966, 15, 152. [Google Scholar] [CrossRef]
- Zong, G.; Fei, S.; Liu, X.; Li, J.; Gao, Y.; Yang, X.; Wang, X.; Shen, Y. Crystal Structures of Rhamnosyltransferase UGT89C1 from Arabidopsis thaliana Reveal the Molecular Basis of Sugar Donor Specificity for UDP-β-l-Rhamnose and Rhamnosylation Mechanism. Plant J. 2019, 99, 257–269. [Google Scholar] [CrossRef]
- Brazier-Hicks, M.; Offen, W.A.; Gershater, M.C.; Revett, T.J.; Lim, E.-K.; Bowles, D.J.; Davies, G.J.; Edwards, R.; Designed, G.J.D.; Performed, G.J.D. Characterization and Engineering of the Bifunctional N-and O-Glucosyltransferase Involved in Xenobiotic Metabolism in Plants. Proceed. Nat.l Acad. Sci. 2007, 104, 20238–20243. [Google Scholar] [CrossRef] [PubMed]
- Ren, C.; Guo, Y.; Xie, L.; Zhao, Z.; Xing, M.; Cao, Y.; Liu, Y.; Lin, J.; Grierson, D.; Zhang, B.; et al. Identification of UDP-Rhamnosyltransferases and UDP-Galactosyltransferase Involved in Flavonol Glycosylation in Morella rubra. Hortic. Res. 2022, 9. [Google Scholar] [CrossRef]
- Ruiz-Herrera, J.; Ortiz-Castellanos, L. Cell Wall Glucans of Fungi. A Review. Cell Surf. 2019, 5. [Google Scholar] [CrossRef] [PubMed]
- Kadry, A.A.; El-Ganiny, A.M.; Mosbah, R.A.; Kaminskyj, S.G.W. Deletion of Aspergillus nidulans GDP-Mannose Transporters Affects Hyphal Morphometry, Cell Wall Architecture, Spore Surface Character, Cell Adhesion, and Biofilm Formation. Med. Mycol. 2018, 56, 621–630. [Google Scholar] [CrossRef]
- Rizza, V.; Kornfeld, J.M. Components of Conidial and Hyphal Walls of Penicillium chrysogenum. Microbiol. Soc. 1969, 58. [Google Scholar] [CrossRef]
- Pettolino, F.; Sasaki, I.; Turbic, A.; Wilson, S.M.; Bacic, A.; Hrmova, M.; Fincher, G.B. Hyphal Cell Walls from the Plant Pathogen Rhynchosporium secalis Contain (1,3/1,6)-β-D-Glucans, Galacto- and Rhamnomannans, (1,3;1,4)-β-D- Glucans and Chitin. FEBS J. 2009, 276, 3698–3709. [Google Scholar] [CrossRef]
- Martinez, V.; Ingwers, M.; Smith, J.; Glushka, J.; Yang, T.; Bar-Peled, M. Biosynthesis of UDP-4-Keto-6-Deoxyglucose and UDP-Rhamnose in Pathogenic Fungi Magnaporthe grisea and Botryotinia fuckeliana. J. Biol. Chem. 2012, 287, 879–892. [Google Scholar] [CrossRef]
- Do Carmo-Sousa, L.; Barroso-Lopes, C. A Comparative Study of the Extracellular and Cell-Wall Polysaccharides of Some Candida Species. Antonie van Leewenhoek 1970, 36, 209–216. [Google Scholar] [CrossRef]









| Genera | Species | Rht1 accession | Rht2 accession | Genera | Species | Rht1 accession | Rht2 accession |
|---|---|---|---|---|---|---|---|
| Akanthomyces | Akanthomyces lecanii | OAA77240.1 | OAA70212.1 | Aspergillus | Aspergillus luchuensis | XP_041539789.1 | OJZ81278.1 |
| Akanthomyces muscarius | XP_056049605.1 | XP_056054863.1 | Aspergillus mulundensis | XP_026604170.1 | XP_026604105.1 | ||
| Alectoria | Alectoria fallacina | CAF9938699.1 | CAF9943470.1 | Aspergillus neoniger | XP_025476319.1 | XP_025484262.1 | |
| Alectoria sarmentosa | CAD6567071.1 | CAD6566374.1 | Aspergillus niger | EHA26758.1 | GKZ64237.1 | ||
| Annulohypoxylon | Annulohypoxylon bovei | KAI2473205.1 | KAI2463407.1 | Aspergillus piperis | XP_025512668.1 | XP_025513870.1 | |
| Annulohypoxylon moriforme | KAI1454471.1 | KAI1454171.1 | Aspergillus sclerotiicarbonarius | PYI12272.1 | PYI02360.1 | ||
| Annulohypoxylon nitens | KAI0892314.1 | KAI0896334.1 | Aspergillus sclerotioniger | XP_025471984.1 | XP_025463962.1 | ||
| Annulohypoxylon stygium | KAI1446163.1 | KAI1445084.1 | Aspergillus tubingensis | XP_035356720.1 | GLB04893.1 | ||
| Annulohypoxylon truncatum | XP_047856260.1 | XP_047849137.1 | Aspergillus versicolor | XP_040664242.1 | UZP48228.1 | ||
| Aphanocladium | Aphanocladium album | KAJ6785788.1 | KAJ6789860.1 | Aspergillus welwitschiae | XP_026629939.1 | XP_026624638.1 | |
| Apiosordaria | Apiosordaria backusii | KAK0701482.1 | KAK0718985.1 | Aureobasidium | Aureobasidium melanogenum | XP_040877796.1 | KAG9597102.1 |
| Ascochyta | Ascochyta clinopodiicola | KAJ4351106.1 | KAJ4346241.1 | Beauveria | Beauveria bassiana | XP_008598136.1 | XP_008602005.1 |
| Ascochyta lentis | KAF9700101.1 | KAF9695519.1 | Beauveria brongniartii | OAA37782.1 | OAA39919.1 | ||
| Ascochyta rabiei | XP_059492683.1 | XP_038797369.2 | Bipolaris | Bipolaris maydis | XP_014081052.1 | XP_014078238.1 | |
| Aspergillus | Aspergillus awamori | GCB26403.1 | GCB23152.1 | Bipolaris oryzae | XP_007689746.1 | XP_007682054.1 | |
| Aspergillus brasiliensis | OJJ74616.1 | GKZ22376.1 | Biscogniauxia | Biscogniauxia marginata | KAI1502855.1 | KAI1498195.1 | |
| Aspergillus carbonarius | OOF95088.1 | OOG00364.1 | Biscogniauxia mediterranea | KAI1491791.1 | KAI1491404.1 | ||
| Aspergillus carlsbadensis | KAJ0426393.1 | KAJ0415219.1 | Boeremia | Boeremia exigua | KAJ8115054.1 | XP_046000075.1 | |
| Aspergillus costaricensis | XP_025534806.1 | XP_025540426.1 | Botryosphaeria | Botryosphaeria dothidea | KAF4303495.1 | KAF4305872.1 | |
| Aspergillus eucalypticola | XP_025389724.1 | XP_025383912.1 | Botryotinia | Botryotinia calthae | TEY39080.1 | TEY37428.1 | |
| Aspergillus hancockii | KAF7593079.1 | KAF7587272.1 | Botryotinia convoluta | TGO61616.1 | TGO51629.1 | ||
| Aspergillus homomorphus | XP_025547265.1 | XP_025552456.1 | Botryotinia globosa | KAF7896435.1 | KAF7901251.1 | ||
| Aspergillus ibericus | XP_025575496.1 | XP_025578007.1 | Botryotinia narcissicola | TGO69167.1 | TGO56301.1 | ||
| Botrytis | Botrytis aclada | KAF7946254.1 | KAF7956861.1 | Claviceps | Claviceps maximensis | KAG6000611.1 | KAG6002038.1 |
| Botrytis byssoidea | XP_038729320.1 | XP_038733006.1 | Claviceps monticola | KAG5947883.1 | KAG5944898.1 | ||
| Botrytis cinerea | XP_001557717.1 | EMR81961.1 | Claviceps purpurea | KAG6139429.1 | KAG6132685.1 | ||
| Botrytis deweyae | XP_038812155.1 | XP_038811764.1 | Claviceps pusilla | KAG6000469.1 | KAG5989301.1 | ||
| Botrytis fragariae | XP_037188780.1 | XP_037193260.1 | Claviceps sorghi | KAG5929518.1 | KAG5949601.1 | ||
| Botrytis galanthina | THV55011.1 | THV45154.1 | Claviceps spartinae | KAG5989744.1 | KAG5994791.1 | ||
| Botrytis paeoniae | TGO28479.1 | TGO20471.1 | Clohesyomyces | Clohesyomyces aquaticus | ORX91671.1 | ORY16921.1 | |
| Botrytis porri | XP_038770654.1 | XP_038768623.1 | Clonostachys | Clonostachys byssicola | CAG9999494.1 | CAG9995431.1 | |
| Botrytis sinoallii | XP_038758083.1 | XP_038760845.1 | Clonostachys chloroleuca | CAI6100125.1 | CAI6093753.1 | ||
| Botrytis tulipae | TGO11019.1 | TGO09160.1 | Clonostachys rhizophaga | CAH0016028.1 | CAH0019948.1 | ||
| Byssothecium | Byssothecium circinans | KAF1950910.1 | KAF1948264.1 | Clonostachys rosea | CAG9943511.1 | CAG9952845.1 | |
| Cephalotrichum | Cephalotrichum gorgonifer | SPN99558.1 | SPO03607.1 | Clonostachys solani | CAH0053102.1 | CAH0038538.1 | |
| Cercophora | Cercophora newfieldiana | KAK0644497.1 | KAK0638609.1 | Collariella | Collariella sp. | KAJ4302561.1 | KAJ4286560.1 |
| Cercophora samala | KAK0666350.1 | KAK0667676.1 | Colletotrichum | Colletotrichum abscissum | KAI3548229.1 | KAI3530008.1 | |
| Cladophialophora | Cladophialophora carrionii | XP_008726825.1 | XP_008725802.1 | Colletotrichum acutatum | KAK1728796.1 | KAK1724125.1 | |
| Cladophialophora chaetospira | KAJ9603522.1 | KAJ9615145.1 | Colletotrichum aenigma | XP_037173265.1 | XP_037184972.1 | ||
| Claussenomyces | Claussenomyces sp. | KAI9740875.1 | KAI9732059.1 | Colletotrichum asianum | KAF0316491.1 | KAF0316378.1 | |
| Claviceps | Claviceps africana | KAG5920846.1 | KAG5919883.1 | Colletotrichum camelliae | KAH0426174.1 | KAH0442418.1 | |
| Claviceps arundinis | KAG5952815.1 | KAG5966788.1 | Colletotrichum caudatum | KAK2056574.1 | KAK2059483.1 | ||
| Claviceps capensis | KAG5921672.1 | KAG5921632.1 | Colletotrichum cereale | KAK1983501.1 | KAK1986054.1 | ||
| Claviceps cyperi | KAG5952799.1 | KAG5965626.1 | Colletotrichum chlorophyti | OLN82217.1 | OLN96240.1 | ||
| Claviceps digitariae | KAG5972007.1 | KAG5982393.1 | Colletotrichum chrysophilum | KAK1850901.1 | XP_053034241.1 | ||
| Claviceps humidiphila | KAG6112056.1 | KAG6118839.1 | Colletotrichum eremochloae | KAK2012662.1 | KAK2005828.1 | ||
| Claviceps lovelessii | KAG5991086.1 | KAG5986980.1 | Colletotrichum falcatum | KAK1997804.1 | KAK1994865.1 | ||
| Colletotrichum | Colletotrichum filicis | KAI3546144.1 | KAI3528431.1 | Colletotrichum | Colletotrichum scovillei | XP_035338834.1 | XP_035327966.1 |
| Colletotrichum fioriniae | XP_053047741.1 | KAJ0331578.1 | Colletotrichum shisoi | TQN74967.1 | TQN67810.1 | ||
| Colletotrichum fructicola | KAF4889272.1 | XP_031878303.1 | Colletotrichum siamense | XP_036489658.1 | KAF4814982.1 | ||
| Colletotrichum gloeosporioides | KAH9228900.1 | KAH9225977.1 | Colletotrichum sidae | TEA14001.1 | TEA21432.1 | ||
| Colletotrichum godetiae | KAK1688763.1 | KAK1657259.1 | Colletotrichum simmondsii | KXH39862.1 | KXH40793.1 | ||
| Colletotrichum graminicola | XP_008092350.1 | XP_008100482.1 | Colletotrichum sojae | KAF6819562.1 | KAF6806549.1 | ||
| Colletotrichum higginsianum | XP_018156347.1 | GJC91227.1 | Colletotrichum somersetense | KAK2040239.1 | KAK2043394.1 | ||
| Colletotrichum incanum | KZL82890.1 | OHW97533.1 | Colletotrichum sublineola | KAK1967522.1 | KDN67295.1 | ||
| Colletotrichum karsti | XP_038751836.1 | XP_038743776.1 | Colletotrichum tamarilloi | KAK1504719.1 | KAK1490332.1 | ||
| Colletotrichum limetticola | KAK0377708.1 | KAK0371775.1 | Colletotrichum tanaceti | KAJ0168474.1 | KAJ0162061.1 | ||
| Colletotrichum liriopes | GJC85203.1 | GJC77217.1 | Colletotrichum tofieldiae | GKT60742.1 | KZL66573.1 | ||
| Colletotrichum lupini | KAK1717078.1 | KAK1705670.1 | Colletotrichum trifolii | TDZ55051.1 | TDZ54034.1 | ||
| Colletotrichum musicola | KAF6844777.1 | KAF6838802.1 | Colletotrichum tropicale | KAJ3960067.1 | KAJ3960792.1 | ||
| Colletotrichum navitas | KAK1589649.1 | KAK1573862.1 | Colletotrichum truncatum | XP_036584982.1 | XP_036576291.1 | ||
| Colletotrichum noveboracense | KAJ0291777.1 | KAJ0277668.1 | Colletotrichum viniferum | KAF4928949.1 | KAF4925869.1 | ||
| Colletotrichum nupharicola | KAJ0294167.1 | KAJ0337848.1 | Colletotrichum zoysiae | KAK2027693.1 | KAK2035655.1 | ||
| Colletotrichum nymphaeae | KXH63825.1 | KXH45981.1 | Coniella | Coniella lustricola | PSR99022.1 | PSR88517.1 | |
| Colletotrichum orbiculare | TDZ14397.1 | TDZ14673.1 | Coniochaeta | Coniochaeta hoffmannii | KAJ9161119.1 | KAJ9155879.1 | |
| Colletotrichum orchidophilum | XP_022472465.1 | XP_022475743.1 | Coniochaeta ligniaria | OIW29085.1 | OIW23813.1 | ||
| Colletotrichum paranaense | KAK1543004.1 | KAK1540822.1 | Coniochaeta pulveracea | RKU46626.1 | RKU48537.1 | ||
| Colletotrichum phormii | KAK1654730.1 | KAK1635646.1 | Conoideocrella | Conoideocrella luteorostrata | KAK2612324.1 | KAK2616729.1 | |
| Colletotrichum plurivorum | KAF6839083.1 | KAF6829629.1 | Cordyceps | Cordyceps fumosorosea | XP_018701293.1 | XP_018701796.1 | |
| Colletotrichum salicis | KXH68169.1 | KXH39943.1 | Cordyceps javanica | TQV92045.1 | TQV95450.1 | ||
| Cordyceps | Cordyceps militaris | ATY63072.1 | XP_006674754.1 | Durotheca | Durotheca rogersii | XP_051368855.1 | XP_051373960.1 |
| Cryphonectria | Cryphonectria parasitica | XP_040771798.1 | XP_040776216.1 | Echria | Echria macrotheca | KAK1750845.1 | KAK1751134.1 |
| Cucurbitaria | Cucurbitaria berberidis | XP_040787765.1 | XP_040790731.1 | Emericellopsis | Emericellopsis atlantica | XP_046118537.1 | XP_046121130.1 |
| Cytospora | Cytospora leucostoma | ROW08189.1 | ROW16112.1 | Epichloe | Epichloe festucae | QPH04205.1 | QPH11511.1 |
| Dactylonectria | Dactylonectria estremocensis | KAH7149514.1 | KAH7159663.1 | Epicoccum | Epicoccum nigrum | KAG9204943.1 | OSS46826.1 |
| Dactylonectria macrodidyma | KAH7148757.1 | KAH7143671.1 | Escovopsis | Escovopsis weberi | KOS20329.1 | KOS17718.1 | |
| Daldinia | Daldinia bambusicola | KAI1806735.1 | KAI1805383.1 | Eutypa | Eutypa lata | KAI1250716.1 | EMR68577.1 |
| Daldinia caldariorum | XP_047790272.1 | XP_047785741.1 | Fusarium | Fusarium acutatum | KAF4417706.1 | KAF4435765.1 | |
| Daldinia childiae | XP_033434965.1 | XP_033438607.1 | Fusarium albosuccineum | KAF4453631.1 | KAF4470643.1 | ||
| Daldinia decipiens | XP_049104523.1 | XP_049095979.1 | Fusarium ambrosium | RSM11772.1 | RSL97308.1 | ||
| Daldinia eschscholtzii | KAI1473488.1 | KAI1475320.1 | Fusarium austroafricanum | KAF4446928.1 | KAF4445897.1 | ||
| Daldinia grandis | KAI0108307.1 | KAI0095932.1 | Fusarium austroamericanum | KAF5236077.1 | KAF5233753.1 | ||
| Daldinia loculata | KAI2779756.1 | KAI2777984.1 | Fusarium avenaceum | KAH6968718.1 | KIL89965.1 | ||
| Daldinia vernicosa | XP_047867275.1 | XP_047863139.1 | Fusarium beomiforme | KAF4344697.1 | KAF4334837.1 | ||
| Decorospora | Decorospora gaudefroyi | KAF1831972.1 | KAF1836052.1 | Fusarium chuoi | KAI1013357.1 | KAI1019319.1 | |
| Dendryphion | Dendryphion nanum | KAH7135752.1 | KAH7135333.1 | Fusarium coffeatum | XP_031013799.1 | XP_031011366.1 | |
| Diaporthe | Diaporthe ampelina | KKY39506.1 | KKY35200.1 | Fusarium coicis | KAF5967328.1 | KAF5967796.1 | |
| Diaporthe amygdali | KAK2615727.1 | XP_052998701.1 | Fusarium culmorum | PTD03166.1 | PTD08619.1 | ||
| Diaporthe batatas | XP_044649453.1 | XP_044648057.1 | Fusarium decemcellulare | KAF5000569.1 | KAF4990227.1 | ||
| Diaporthe eres | KAI7784925.1 | KAI7784403.1 | Fusarium denticulatum | KAF5669558.1 | KAF5676768.1 | ||
| Diaporthe helianthi | POS75403.1 | POS81165.1 | Fusarium duplospermum | RSL50528.1 | RSL66332.1 | ||
| Diaporthe ilicicola | KAI3397926.1 | KAI3399409.1 | Fusarium equiseti | CAG7560528.1 | CAG7554771.1 | ||
| Didymella | Didymella heteroderae | KAF3044419.1 | KAF3045961.1 | Fusarium euwallaceae | RTE71192.1 | RTE70560.1 | |
| Didymella pomorum | KAJ4403697.1 | KAJ4411464.1 | Fusarium falciforme | XP_053008353.1 | KAJ4142701.1 | ||
| Fusarium | Fusarium flagelliforme | XP_045987014.1 | XP_045981550.1 | Fusarium | Fusarium pseudocircinatum | KAF5593813.1 | KAF5606259.1 |
| Fusarium floridanum | RSL77313.1 | RSL81449.1 | Fusarium pseudograminearum | QPC77377.1 | QPC79958.1 | ||
| Fusarium fujikuroi | KLO94116.1 | KLO93232.1 | Fusarium redolens | XP_046051426.1 | XP_046045510.1 | ||
| Fusarium gaditjirri | KAF4952308.1 | KAF4947967.1 | Fusarium sarcochroum | KAF4970797.1 | KAF4970128.1 | ||
| Fusarium graminearum | XP_011318866.1 | PCD36796.1 | Fusarium solani | XP_046134246.1 | XP_046129193.1 | ||
| Fusarium graminum | KAF4989143.1 | KAF4992880.1 | Fusarium solani-melongenae | UPL01582.1 | UPL00732.1 | ||
| Fusarium heterosporum | KAF5673296.1 | KAF5665361.1 | Fusarium sporotrichioides | RGP74396.1 | RGP62770.1 | ||
| Fusarium irregulare | KAJ4028622.1 | KAJ4002951.1 | Fusarium tjaetaba | XP_037201359.1 | XP_037210905.1 | ||
| Fusarium keratoplasticum | XP_052913386.1 | XP_052910685.1 | Fusarium tricinctum | KAH7262271.1 | KAH7263618.1 | ||
| Fusarium kuroshium | RMJ06590.1 | RMJ08909.1 | Fusarium vanettenii | XP_003051169.1 | XP_003048134.1 | ||
| Fusarium langsethiae | GKU13606.1 | KPA39552.1 | Fusarium venenatum | XP_025590567.1 | KAG8361315.1 | ||
| Fusarium longipes | RGP64061.1 | RGP64175.1 | Fusarium verticillioides | XP_018746363.1 | XP_018759284.1 | ||
| Fusarium mangiferae | XP_041681908.1 | XP_041689374.1 | Fusarium xylarioides | KAG5745984.1 | KAG5750058.1 | ||
| Fusarium mundagurra | KAF5703820.1 | KAF5715773.1 | Fusarium zealandicum | KAF4977827.1 | KAF4976478.1 | ||
| Fusarium musae | XP_044681754.1 | XP_044678177.1 | Gaeumannomyces | Gaeumannomyces tritici | XP_009216301.1 | XP_009229452.1 | |
| Fusarium napiforme | KAF5543507.1 | KAF5530306.1 | Glonium | Glonium stellatum | OCL07134.1 | OCL02246.1 | |
| Fusarium odoratissimum | XP_031063514.1 | XP_031068097.1 | Gnomoniopsis | Gnomoniopsis smithogilvyi | KAJ4396492.1 | KAJ4397375.1 | |
| Fusarium oligoseptatum | RSM10484.1 | RSM09688.1 | Hapsidospora | Hapsidospora chrysogena | KFH41691.1 | KFH48365.1 | |
| Fusarium oxysporum | RKK72986.1 | KAJ4047383.1 | Hirsutella | Hirsutella minnesotensis | KJZ78224.1 | KJZ71824.1 | |
| Fusarium piperis | KAJ4307910.1 | KAJ4328312.1 | Hirsutella rhossiliensis | XP_044715856.1 | XP_044720357.1 | ||
| Fusarium poae | XP_044713521.1 | OBS22433.1 | Hypomontagnella | Hypomontagnella monticulosa | KAI0386569.1 | KAI0378476.1 | |
| Fusarium proliferatum | KAI1009795.1 | KAG4256852.1 | Hypomontagnella submonticulosa | KAI2638882.1 | KAI2620953.1 | ||
| Fusarium pseudoanthophilum | KAF5579641.1 | KAF5585516.1 | Hypoxylon | Hypoxylon cercidicola | KAI1778259.1 | KAI1774420.1 | |
| Hypoxylon | Hypoxylon crocopeplum | KAI1380815.1 | KAI1377137.1 | Melanomma | Melanomma pulvis-pyrius | KAF2800153.1 | KAF2786108.1 |
| Hypoxylon fragiforme | XP_049114466.1 | XP_049117066.1 | Metarhizium | Metarhizium acridum | XP_007810202.1 | KAG8422976.1 | |
| Hypoxylon fuscum | KAI1401401.1 | KAI1399455.1 | Metarhizium album | XP_040678038.1 | XP_040683175.1 | ||
| Hypoxylon rubiginosum | KAI4863860.1 | KAI4864951.1 | Metarhizium anisopliae | KJK84664.1 | KJK80520.1 | ||
| Ilyonectria | Ilyonectria destructans | KAH7011765.1 | KAH7002281.1 | Metarhizium brunneum | XP_014545532.1 | XP_014548452.1 | |
| Ilyonectria robusta | XP_046104787.1 | XP_046110074.1 | Metarhizium guizhouense | KID87172.1 | KID92007.1 | ||
| Immersiella | Immersiella caudata | KAK0616255.1 | KAK0624188.1 | Metarhizium humberi | KAH0599959.1 | KAH0597174.1 | |
| Jackrogersella | Jackrogersella minutella | KAI1107063.1 | KAI1099809.1 | Metarhizium rileyi | OAA42134.1 | OAA43280.1 | |
| Kalmusia | Kalmusia sp. | KAJ4295449.1 | KAJ4293461.1 | Metarhizium robertsii | XP_007819142.2 | XP_007822448.1 | |
| Karstenula | Karstenula rhodostoma | KAF2449100.1 | KAF2448746.1 | Microdochium | Microdochium bolleyi | KXJ90972.1 | KXJ92914.1 |
| Lasallia | Lasallia pustulata | KAA6414625.1 | KAA6413478.1 | Microdochium nivale | KAJ1326562.1 | KAJ1329274.1 | |
| Lasiosphaeria | Lasiosphaeria miniovina | KAK0733273.1 | KAK0706185.1 | Microdochium trichocladiopsis | XP_046009150.1 | XP_046013910.1 | |
| Lecanicillium | Lecanicillium saksenae | KAJ3498506.1 | KAJ3497866.1 | Moelleriella | Moelleriella libera | OAA33830.1 | KZZ90826.1 |
| Leptographium | Leptographium clavigerum | XP_014168710.1 | XP_014175810.1 | Monilinia | Monilinia laxa | KAB8300938.1 | KAB8303359.1 |
| Lophiostoma | Lophiostoma macrostomum | KAF2657876.1 | KAF2648898.1 | Monosporascus | Monosporascus cannonballus | RYO83116.1 | RYO94743.1 |
| Lophiotrema | Lophiotrema nucula | KAF2116133.1 | KAF2113514.1 | Monosporascus ibericus | RYP07719.1 | RYP11091.1 | |
| Lophium | Lophium mytilinum | KAF2488524.1 | KAF2497128.1 | Mytilinidion | Mytilinidion resinicola | XP_033579010.1 | XP_033568734.1 |
| Macrophomina | Macrophomina phaseolina | EKG10336.1 | EKG11414.1 | Neofusicoccum | Neofusicoccum parvum | EOD43149.1 | EOD53031.1 |
| Macroventuria | Macroventuria anomochaeta | XP_033560458.1 | XP_033560487.1 | Neonectria | Neonectria ditissima | KPM46246.1 | KPM40292.1 |
| Madurella | Madurella mycetomatis | KXX75366.1 | KXX79238.1 | Niveomyces | Niveomyces insectorum | AZHD01000039.1 | OAA57048.1 |
| Magnaporthiopsis | Magnaporthiopsis poae | KLU92256.1 | KLU84765.1 | Ophiocordyceps | Ophiocordyceps sinensis | KAF4508004.1 | EQK98407.1 |
| Mariannaea | Mariannaea sp. | KAI5462524.1 | KAI5458596.1 | Ophiostoma | Ophiostoma piceae | EPE10043.1 | EPE10437.1 |
| Massarina | Massarina eburnea | KAF2642528.1 | KAF2646682.1 | Paraphoma | Paraphoma chrysanthemicola | KAH7083038.1 | KAH7071542.1 |
| Penicilliopsis | Penicilliopsis zonata | XP_022583757.1 | XP_022577075.1 | Rhexocercosporidium | Rhexocercosporidium sp. | KAH7350870.1 | KAH7346361.1 |
| Penicillium | Penicillium alfredii | XP_056508930.1 | XP_056509782.1 | Rostrohypoxylon | Rostrohypoxylon terebratum | KAI1092632.1 | KAI1090772.1 |
| Penicillium bovifimosum | XP_056523126.1 | XP_056526610.1 | Sclerotinia | Sclerotinia borealis | ESZ92680.1 | ESZ95592.1 | |
| Penicillium macrosclerotiorum | XP_056932270.1 | XP_056934836.1 | Sclerotinia nivalis | KAJ8059674.1 | KAJ8071588.1 | ||
| Penicillium odoratum | XP_057001022.1 | XP_057000407.1 | Sclerotinia sclerotiorum | XP_001588350.1 | XP_001589362.1 | ||
| Periconia | Periconia macrospinosa | PVI05090.1 | PVH96591.1 | Sclerotinia trifoliorum | CAD6445273.1 | CAD6453695.1 | |
| Pestalotiopsis | Pestalotiopsis fici | XP_007834024.1 | XP_007841187.1 | Setomelanomma | Setomelanomma holmii | KAF2025903.1 | KAF2023082.1 |
| Phaeoacremonium | Phaeoacremonium minimum | XP_007914921.1 | XP_007916963.1 | Sodiomyces | Sodiomyces alkalinus | XP_028463447.1 | XP_028465600.1 |
| Phaeomoniella | Phaeomoniella chlamydospora | KKY25069.1 | KKY20074.1 | Sporothrix | Sporothrix brasiliensis | XP_040616120.1 | XP_040617365.1 |
| Phialemonium | Phialemonium atrogriseum | KAK1762406.1 | KAK1762806.1 | Sporothrix schenckii | XP_016583713.1 | XP_016584143.1 | |
| Pleurostoma | Pleurostoma richardsiae | KAJ9156358.1 | KAJ9149742.1 | Stachybotrys | Stachybotrys chartarum | KFA52060.1 | KFA76153.1 |
| Podospora | Podospora anserina | XP_001903917.1 | XP_001904848.1 | Stachybotrys chlorohalonata | KFA66408.1 | KFA67805.1 | |
| Polyplosphaeria | Polyplosphaeria fusca | KAF2739724.1 | KAF2731913.1 | Stachybotrys elegans | KAH7326028.1 | KAH7322735.1 | |
| Pseudogymnoascus | Pseudogymnoascus destructans | XP_024324285.1 | XP_024325152.1 | Stagonospora | Stagonospora sp. SRC1lsM3a | OAL06240.1 | OAL04400.1 |
| Pseudogymnoascus verrucosus | XP_018130987.1 | XP_018126712.1 | Staphylotrichum | Staphylotrichum longicolle | KAG7286337.1 | KAG7294653.1 | |
| Pseudomassariella | Pseudomassariella vexata | XP_040716094.1 | XP_040718474.1 | Stromatinia | Stromatinia cepivora | KAF7858421.1 | KAF7872547.1 |
| Purpureocillium | Purpureocillium lavendulum | KAJ6440404.1 | KAJ6441125.1 | Stylonectria | Stylonectria norvegica | KAF7554195.1 | KAF7554329.1 |
| Purpureocillium | Purpureocillium lilacinum | XP_018175438.1 | XP_018181559.1 | Talaromyces | Talaromyces amestolkiae | XP_040733191.1 | XP_040736898.1 |
| Purpureocillium takamizusanense | XP_047844175.1 | XP_047841106.1 | Talaromyces atroroseus | XP_020124160.1 | XP_020121501.1 | ||
| Pycnora | Pycnora praestabilis | KAI9813616.1 | KAI9822666.1 | Thermochaetoides | Thermochaetoides thermophila | XP_006694985.1 | XP_006692471.1 |
| Pyrenochaeta | Pyrenochaeta sp. | OAL53857.1 | OAL46984.1 | Thermothielavioides | Thermothielavioides terrestris | XP_003650890.1 | XP_003658264.1 |
| Pyricularia | Pyricularia grisea | KAI6356710.1 | KAI6379156.1 | Thozetella | Thozetella sp. | KAH8887751.1 | KAH8901217.1 |
| Pyricularia oryzae | KAH8839881.1 | KAI6251849.1 | Thyridium | Thyridium curvatum | XP_030997551.1 | XP_030999529.1 | |
| Tolypocladium | Tolypocladium ophioglossoides | KND89648.1 | KND93039.1 | ||||
| Tolypocladium paradoxum | POR38644.1 | POR35566.1 | |||||
| Trematosphaeria | Trematosphaeria pertusa | XP_033678715.1 | XP_033681098.1 | ||||
| Trichoderma | Trichoderma arundinaceum | RFU72470.1 | RFU78995.1 | ||||
| Trichoderma asperelloides | KAH8130780.1 | KAH8127233.1 | |||||
| Trichoderma asperellum | XP_024758558.1 | UKZ86906.1 | |||||
| Trichoderma atroviride | XP_013943227.1 | UKZ67550.1 | |||||
| Trichoderma breve | XP_056025069.1 | XP_056030790.1 | |||||
| Trichoderma citrinoviride | XP_024751380.1 | XP_024752346.1 | |||||
| Trichoderma cornu-damae | KAH6609697.1 | KAH6605774.1 | |||||
| Trichoderma gracile | KAH0495172.1 | KAH0492740.1 | |||||
| Trichoderma guizhouense | OPB40233.1 | OPB36448.1 | |||||
| Trichoderma harzianum | XP_024772549.1 | KKO97596.1 | |||||
| Trichoderma longibrachiatum | PTB74489.1 | PTB77621.1 | |||||
| Trichoderma reesei | XP_006961478.1 | XP_006968899.1 | |||||
| Trichoderma semiorbis | KAH0522488.1 | KAH0529301.1 | |||||
| Trichoderma simmonsii | QYT05558.1 | QYS95815.1 | |||||
| Trichoderma virens | XP_013961374.1 | XP_013957984.1 | |||||
| Trichothecium | Trichothecium roseum | KAI9900351.1 | KAI9901541.1 | ||||
| Truncatella | Truncatella angustata | XP_045959758.1 | KAH8199344.1 | ||||
| Ustilaginoidea | Ustilaginoidea virens | XP_043000764.1 | XP_042995238.1 | ||||
| Valsa | Valsa sordida | ROV96478.1 | ROV93292.1 | ||||
| Whalleya | Whalleya microplaca | KAI1081251.1 | KAI1080707.1 | ||||
| Xylona | Xylona heveae | XP_018185144.1 | XP_018185306.1 | ||||
| Zopfia | Zopfia rhizophila | KAF2193744.1 | KAF2191997.1 |
| Species | Accession number | Residues | RMSD | Identities (%) | Positives (%) |
|---|---|---|---|---|---|
| Sporothrix brasiliensis | XP040616120.1 | 159 | 0.14 | 97 | 98 |
| Ophiostoma piceae | EPE10043.1 | 162 | 0.576 | 64 | 74 |
| Podospora anserina | XP 001903917.1 | 129 | 0.65 | 40 | 49 |
| Grosmannia clavigera | XP_014168710 | 156 | 0.677 | 54 | 66 |
| Ascodesmis nigricans | TGZ82940.1 | 95 | 0.678 | 37 | 50 |
| Madurella mycetomatis | KXX75366.1 | 155 | 0.729 | 45 | 56 |
| Thermothelomyces thermophilus | XP_003664509.1 | 158 | 0.73 | 42 | 54 |
| Podospora comata | VBB80562.1 | 135 | 0.75 | 43 | 55 |
| Penicillium digitatum | XP_014534696.1 | 92 | 0.752 | 37 | 52 |
| Thermochaetoides thermophila | XP_006694985.1 | 144 | 0.795 | 38 | 50 |
| Trichoderma reesei | XP_006961478.1 | 112 | 0.795 | 38 | 55 |
| Metarhizium guizhouense | KID87172.1 | 124 | 0.836 | 38 | 52 |
| Aspergillus niger | EHA26758.1 | 98 | 0.84 | 40 | 54 |
| Paracoccidioides brasiliensis | XP_010757480.1 | 113 | 0.872 | 35 | 55 |
| Amniculicola lignicola | KAF2003674.1 | 105 | 0.964 | 38 | 53 |
| Coccidioides immitis | XP_001246780.1 | 122 | 0.978 | 43 | 55 |
| Thermothielavioides terrestris | SPQ26596.1 | 156 | 1.013 | 41 | 52 |
| Macrophomina phaseolina | EKG10336.1 | 119 | 1.068 | 35 | 54 |
| Fonsecaea pedrosoi | XP_013280197.1 | 123 | 1.074 | 36 | 55 |
| Fonsecaea multimorphosa | XP_016629425.1 | 127 | 1.185 | 36 | 53 |
| Fonsecaea erecta | XP_018698961.1 | 126 | 1.192 | 35 | 54 |
| Cordyceps militaris | ATY63072.1 | 127 | 1.38 | 42 | 56 |
| Friedmanniomyces simplex | TKA63572.1 | 115 | 1.468 | 37 | 49 |
| Species | Accession number | Residues | RMSD | Identity (%) | Positives (%) |
|---|---|---|---|---|---|
| Colletotrichum graminicola | XP_008100482.1 | 323 | 0.581 | 48 | 54 |
| Ophiostoma piceae | EPE10437.1 | 375 | 0.605 | 57 | 65 |
| Calocera cornea | KZT50863.1 | 345 | 0.91 | 39 | 48 |
| Grosmannia clavigera | XP_014175810.1 | 252 | 0.965 | 26 | 38 |
| Hyaloscypha hepaticicola | PMD21084.1 | 263 | 0.972 | 35 | 49 |
| Macrophomina phaseolina | EKG11414.1 | 263 | 1.056 | 26 | 41 |
| Marssonina coronariae | OWP01936.1 | 272 | 1.109 | 26 | 41 |
| Madurella mycetomatis | KXX79238.1 | 268 | 1.115 | 24 | 37 |
| Orbilia oligospora | KAF3191956.1 | 288 | 1.131 | 33 | 49 |
| Pyrenochaeta sp. | OAL46984.1 | 237 | 1.157 | 22 | 39 |
| Lasallia pustulata | KAA6413478.1 | 301 | 1.16 | 28 | 43 |
| Phaeomoniella chlamydospora | KKY20074.1 | 275 | 1.222 | 26 | 40 |
| Phialocephala subalpina | CZR67232.1 | 259 | 1.249 | 30 | 47 |
| Podospora anserina | XP_001903477.1 | 218 | 1.308 | 32 | 48 |
| Arthrobotrys flagrans | RVD83950.1 | 297 | 1.316 | 33 | 48 |
| Zopfia rhizophila | KAF2191997.1 | 238 | 1.361 | 27 | 39 |
| Decorospora gaudefroyi | KAF1836052.1 | 248 | 1.462 | 28 | 41 |
| Thermothielavioides terrestris | XP_003658264.1 | 280 | 1.469 | 25 | 37 |
| Viridothelium virens | KAF2235942.1 | 288 | 1.497 | 27 | 39 |
| Dactylellina haptotyla | EPS37979.1 | 289 | 1.54 | 32 | 48 |
| Mytilinidion resinicola | XP_033568734.1 | 273 | 1.551 | 34 | 49 |
| Cladophialophora carrionii | XP_008725802.1 | 275 | 2.044 | 26 | 38 |
| Lophiotrema nucula | KAF2113514.1 | 257 | 2.101 | 33 | 54 |
| Species | Accession number | Binding affinity (Kcal/mol) | |
|---|---|---|---|
| UDP-L-rhamnose | GDP-Mannose | ||
| Sporothrix schenckii | XP_016583713.1 | -7.6 | -7.4 |
| Aspergillus niger | EHA26758.1 | -7.7 | -7.6 |
| Metarhizium anisopliae | KJK84664.1 | -7.1 | -7.1 |
| Metarhizium guizhouense | KID87172.1 | -8.3 | -7.4 |
| Trichoderma atroviride | XP_013943227.1 | -7.3 | -7.2 |
| Trichoderma reesei | XP_006961478.1 | -8.9 | -7.9 |
| Trichoderma virens | XP_013961374.1 | -7.5 | -7.2 |
| Species | Accession number | Binding affinity (Kcal/mol) | |
|---|---|---|---|
| UDP-L-rhamnose | GDP-Mannose | ||
| Sporothrix schenckii | XP_016584143.1 | -9.8 | -9.3 |
| Aspergillus niger | GKZ64237.1 | -7.7 | -7.6 |
| Metarhizium anisopliae | KJK80520.1 | -9.7 | -8.7 |
| Metarhizium guizhouense | KID92007.1 | -9.3 | -9 |
| Trichoderma atroviride | UKZ67550.1 | -7.3 | -7.1 |
| Trichoderma harzianum | KKO97596.1 | -9.5 | -8.8 |
| Trichoderma reesei | XP_006968899.1 | -8.8 | -8.3 |
| Trichoderma virens | XP_013957984.1 | -8.3 | -7.4 |
| Species | Mutated Residue | Binding Affinity (kcal/mol) | RMSD | |
|---|---|---|---|---|
| WT | PM | |||
| Sporothrix schenckii | Y192S | -8.7 | -8.3 | 0.00 (232 a.a) |
| Aspergillus niger | L122A | -7.5 | -7.3 | 0.00 (159 a.a) |
| Metarhizium brunneum | W116A | -9.0 | -8.5 | 0.00 (211 a.a) |
| Trichoderma reesei | W112A | -8.6 | -8.0 | 0.00 (201 a.a) |
| Trichoderma atroviride | W112A | -8.3 | -7.9 | 0.00 (207 a.a) |
| Trichoderma virens | W112A | -8.3 | -7.8 | 0.00 (207 a.a) |
| Madurella mycetomatis | W208A | -8.2 | -8.1 | 0.00 (331 a.a) |
| Fonsecaea pedrosoi | L121S | -8.6 | -7.7 | 0.00 (205 a.a) |
| Neonectria ditissima | W114A | -8.9 | -8.4 | 0.00 (208 a.a) |
| Beauveria bassiana | W115A | -9.1 | -7.9 | 0.00 (209 a.a) |
| Fusarium oxysporum | W114A | -8.9 | -7.8 | 0.00 (208 a.a) |
| Species | Mutated Residue | Binding Affinity (kcal/mol) | RMSD | |
|---|---|---|---|---|
| WT | PM | |||
| Sporothrix schenckii | H13S, D446A | -9.3 | -8.0 | 0.00 (576 a.a) |
| Ophiostoma piceae | G135S, D563A | -10.0 | -9.2 | 0.00 (695 a.a) |
| Xylona heveae | H15S, D386A | -10.0 | -9.3 | 0.00 (461 a.a) |
| Magnaporthiopsis poae | H31S, D383A | -9.5 | -9.3 | 0.00 (461 a.a) |
| Botrytis cinerea | H19S, E379A | -8.7 | -8.2 | 0.00 (452 a.a) |
| Macrophomina phaseolina | H19S, D378A | -9.5 | -9.0 | 0.00 (449 a.a) |
| Aspergillus niger | H29E, T298F | -9.6 | -9.3 | 0.00 (456 a.a) |
| Madurella mycetomatis | L250S | -9.4 | -9.2 | 0.00 (452 a.a) |
| Metarhizium brunneum | P34G, M242G | -9.5 | -9.2 | 0.00 (457 a.a) |
| Trichoderma ressei | H302S, P221A | -8.9 | -8.8 | 0.00 (418 a.a) |
| Species | UDP-Rhamnose | Without acceptor | UDP-L-Rhamnose and inactivated protein |
|---|---|---|---|
| Sporothrix schenckii | 123.63 ± 18.46 | 1.40 ± 0.53 | 0.08 ± 0.03 |
| Candida albicans | 0.12 ± 0.08 | 0.17 ± 0.06 | 0.02 ± 0.03 |
| Saccharomyces cerevisiae | 0.17 ± 0.12 | 0.05 ± 0.05 | 0.02 ± 0.03 |
| Aspergillus niger | 59.47 ± 3.91 | 0.87 ± 0.25 | 0.15 ± 0.09 |
| Madurella mycetomatis | 37.47 ± 6.14 | 0.93 ± 0.42 | 0.10 ± 0.00 |
| Metarhizium anisopliae | 35.77 ± 7.07 | 1.27 ± 0.35 | 0.13 ± 0.12 |
| Metarhizium brunneum | 28.40 ± 7.37 | 1.37 ± 0.61 | 0.17 ± 0.06 |
| Metarhizium guizhouense | 29.23 ± 6.65 | 0.40 ± 0.20 | 0.12 ± 0.08 |
| Trichoderma atroviride | 30.93 ± 6.81 | 0.80 ± 0.35 | 0.07 ± 0.06 |
| Trichoderma harzianum | 31.70 ± 7.88 | 0.63 ± 0.31 | 0.07 ± 0.12 |
| Trichoderma reesei | 39.20 ±7.15 | 0.63 ± 0.23 | 0.08 ± 0.10 |
| Trichoderma virens | 68.03 ± 10.31 | 1.10 ± 0.44 | 0.10 ± 0.10 |
Disclaimer/Publisher’s Note: The statements, opinions and data contained in all publications are solely those of the individual author(s) and contributor(s) and not of MDPI and/or the editor(s). MDPI and/or the editor(s) disclaim responsibility for any injury to people or property resulting from any ideas, methods, instructions or products referred to in the content. |
© 2025 by the authors. Licensee MDPI, Basel, Switzerland. This article is an open access article distributed under the terms and conditions of the Creative Commons Attribution (CC BY) license (http://creativecommons.org/licenses/by/4.0/).