Submitted:
23 May 2025
Posted:
26 May 2025
You are already at the latest version
Abstract
Keywords:
1. Introduction
2. Experimental
3. Results and Discussion
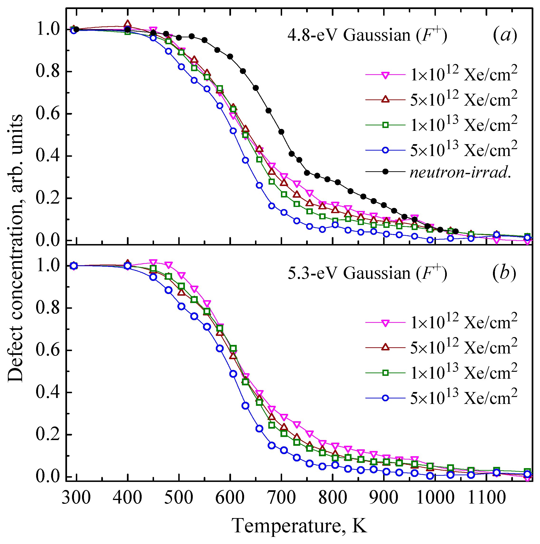
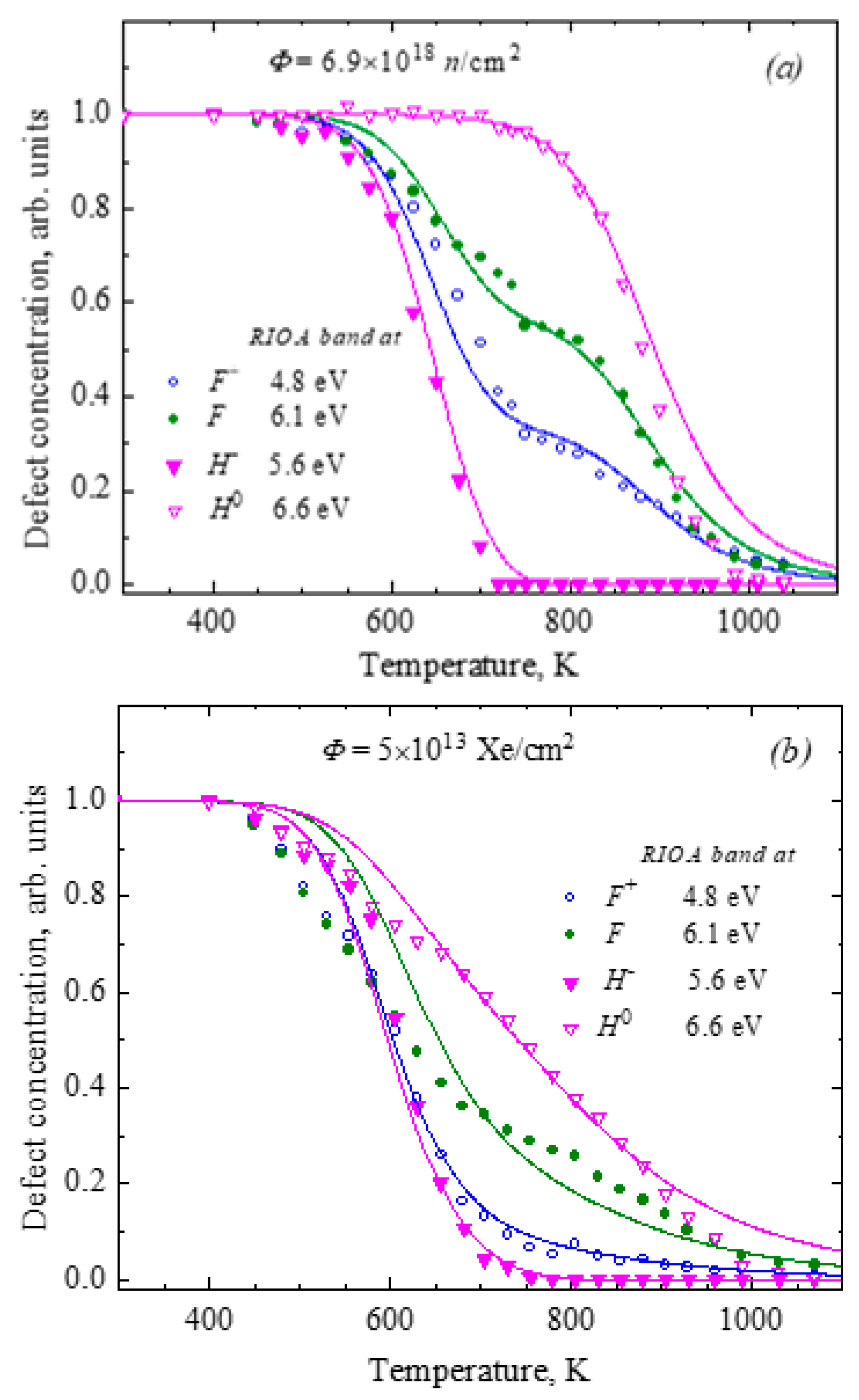
3.1. Thermal Annealing of RIOA Bands Related to Radiation-Induced Frenkel Defects
3.2. Method and Kinetics Modelling
| Irradiation source | Fluence | Ea(eV) | Xa(K-1) | Eb(eV) | Xb(K-1) |
| neutrons,Ref. [49] | 6.9×1018 cm-2 | 0.80 | 2×103 | 1.20 | 2×104 |
| Xe-ions | 5.0×1013 cm-2 | 0.65 | 3×102 | 0.50 | 6×100 |
4. Conclusions
Author Contributions
Funding
Data availability Statement
Conflict of Interests
References
- W.E. Lee, K.P.D. Lagerlof, Structural and electron diffraction data for sapphire (α-Al2O3). J. Electron Microsc. Tech. 1985, 2, 247–258. [CrossRef]
- T.H. Maiman, Stimulated Optical Radiation in Ruby. Nature 1960, 187, 493–494. [CrossRef]
- P.F. Moulton, Spectroscopic and laser characteristics of Ti:A12O3. Opt. Soc. Am. B 1986, 3, 125–133. [CrossRef]
- T.T. Basiev, S.B. Mirov, V.V. Osiko, Room-temperature color center lasers. IEEE J. Quantum Electron. 1988, 24, 1052–1069. [CrossRef]
- E.R. Dobrovinskaya, L.A. Lytvynov, V. Pishchik, Application of Sapphire. In Sapphire; Springer: Boston, MA, 2009; pp. 1–54, Chapter 1.
- S.M. Luca, N. Coron, C. Dujardin, H. Kraus, V.B. Mikhailik, M.-A. Verdier, P.C.F. Di Stefano, Scintillating and optical spectroscopy of Al2O3:Ti for dark matter searches. Nucl. Instrum. Meth. A 2009, 606, 545–551. [CrossRef]
- M.S. Akselrod, V.S. Kortov, D.J. Kravetsky, V.I. Gotlib, Highly sensitive thermoluminescent anion-defective α-Al2O3:C single crystal detectors. Radiat. Prot. Dosim. 1990, 32, 15–20.
- S.W.S. McKeever, M.S. Akselrod, L.E. Colyott, N. Agersnap Larsen, J.C. Polf, V.H. Whitley, Characterisation of Al2O3 for use in thermally and optically stimulated luminescence dosimetry. Radiat. Prot. Dosim. 1999, 84, 163–168. [CrossRef]
- V.S. Kortov, S.V. Zvonarev, A.N. Kiryakov, D.V. Ananchenko, Dosimetric phosphor based on oxygen-deficient alumina ceramics. Radiat. Meas. 2016, 90, 196–200. [CrossRef]
- G.P. Pells, Radiation damage effects in alumina. J. Am. Ceram. Soc. 1994, 77, 368–377. [CrossRef]
- S.M. Gonzales de Vicente, E.R. Hodgson, T. Shikama, Functional materials for tokamak in-vessel systems – status and applications. Nucl. Fusion 2017, 57, 092009. [CrossRef]
- D.A. Blokhin, V.M. Chernov, I. Blokhin, Nuclear and physical properties of dielectrics under neutron irradiation in fast (BN-600) and fusion (DEMO-S) reactors. Phys. Atom. Nuclei 2017, 80, 1279–1284. [CrossRef]
- G.S. Was, D. Petti, S. Ukai, S. Zinkle, Materials for future nuclear energy systems. J. Nucl. Mater. 2019, 527, 151837. [CrossRef]
- F.T. Gamble, R.H. Bartram, C.G. Young, O.R. Gilliam, P.W. Levy, Electron-spin resonances in reactor-irradiated aluminium oxide. Phys. Rev. 1965, 138, A577–A583. [CrossRef]
- S.Y. La, R.H. Bartram, R.T. Cox, The F+ center in reactor-irradiated aluminum oxide. J. Phys. Chem. Solids 1973, 34, 1079–1086. [CrossRef]
- K.H. Lee, J.H. Crawford, Electron centers in single-crystal Al2O3. Phys. Rev. B 1977, 15, 4065–4070. [CrossRef]
- B.D. Evans, M. Stapelbroek, Optical properties of the F+ center in crystalline Al2O3. Phys. Rev. B 1978, 18, 7089–7098. [CrossRef]
- J.H. Crawford, A review of neutron radiation damage on corundum crystals. J. Nucl. Mater 1982, 108-109, 644–654. [CrossRef]
- K. Atobe, N. Nishimoto, M. Nakagawa, Irradiation-induced aggregate centers in single crystal A12O3. Phys. Stat. Solidi A 1985, 89, 155–162. [CrossRef]
- Y. Chen, M.M. Abraham, D.F. Pedraza, Radiation damage in Al2O3 crystals implanted with 3.8 MeV Fe2+ ions. Nucl. Instrum. Meth. B 1991, 59-60, 1163–1166. [CrossRef]
- B.D. Evans, A review of the optical properties of anion lattice vacancies, and electrical conduction in α-Al2O3: their relation to radiation-induced electrical degradation. J. Nucl. Mater. 1995, 219, 202–223. [CrossRef]
- S.J. Zinkle, C. Kinoshita, Defect production in ceramics. J. Nucl. Mater 1997, 251, 200–217. [CrossRef]
- A.I. Surdo, V.S. Kortov, V.A. Pustovarov, Luminescence of F and F+ centers in corundum upon excitation in the interval from 4 to 40 eV. Rad. Meas. 2001, 33, 587–591. [CrossRef]
- V.A. Skuratov, K.J. Gun, J. Stano, D.L. Zagorski, In situ luminescence as monitor of radiation damage under swift heavy ion radiation. Nucl. Instrum. Meth. B 2006, 245, 194–200. [CrossRef]
- M. Izerrouken, T. Benyahia, Absorption and photoluminescence study of Al2O3 single crystal irradiated with fast neutrons. Nucl. Instrum. Meth. B 2010, 468, 2987–2990.
- C.M. Petrie, W. Windl, T.E. Blue, In-situ reactor radiation-induced attenuation in sapphire optical fibers. J. Am. Ceram. Soc. 2014, 97, 3883–3389. [CrossRef]
- M. Izerrouken, Y. Djouadi, H. Zirour, Annealing process of F-and F+-centers in Al2O3 single crystal induced by fast neutrons irradiation. Nucl. Instrum. Meth. B 2014, 319, 29–33. [CrossRef]
- M. Malo, A. Moroño, E.R. Hodgson, In sity luminescence qualification of radiation damage in aluminas: F-aggregation and Al colloids. Fusion. Eng. Des. 2014, 89, 2179–2183. [CrossRef]
- M.L. Crespillo, J.T. Graham. Y. Zhang, W.J. Weber, In-situ luminescence monitoring of ion-induced damage evolution in SiO2 and Al2O3. J. Lumin. 2016, 172, 208–2018. [CrossRef]
- J.M. Costantini, Y. Watanabe, K. Yasuda, M. Fasoli, Cathodo-luminescence of color centers induced in sapphire and yttria-stabilized zirconia by high-energy electrons. J. Appl. Phys. 2017, 121, 153101. [CrossRef]
- C. Grygiel, F. Moisy, M. Sall, H. Lebius, E. Balanzat, T. Madi, T. Been, D. Marie, I. Monnet, In-situ kinetics of modifications induced by swift heavy ions in Al2O3: Colour centre formation, structural modification and amorphization. Acta Mater. 2017, 140, 157–167. [CrossRef]
- A.I. Popov, A. Lushchik, E. Shablonin, E. Vasil’chenko, E.A. Kotomin, A.M. Moskina, V.N. Kuzovkov, Comparison of the F-type center thermal annealing in heavy-ion and neutron irradiated Al2O3 single crystals. Nucl. Instrum. Meth. B 2018, 433, 93–97. [CrossRef]
- V. Seeman, A. Lushchik, E. Shablonin, G. Prieditis, D. Gryaznov, A. Platonenko, E.A. Kotomin, A.I. Popov, Atomic, electronic and magnetic structure of an oxygen interstitial in neutron-irradiated Al2O3 single crystals. Sci. Reports 2020, 10, 15852.
- Lushchik, V.N. Kuzovkov, A.I. Popov, G. Prieditis, V. Seeman, E. Shablonin, E. Vasil’chenko, E.A. Kotomin, Evidence for the formation of two types of oxygen interstitials in neutron-irradiated α-Al2O3 single crystals. Sci. Reports 2021, 11, 20909. [Google Scholar]
- V. Seeman, A.I. Popov, E. Shablonin, E. Vasil’chenko, A. Lushchik, EPR-active dimer centers with S = 1 in α-Al2O3 single crystals irradiated by fast neutrons. J. Nucl. Mater. 2022, 569, 153933. [CrossRef]
- G. Baubekova, R. Assylbayev, E. Feldbach, A. Krasnikov, I. Kudryavtseva, A. Podelinska, V. Seeman, E. Shablonin, E. Vasil’chenko, A. Lushchik, Accumulation of oxygen interstitial-vacancy pairs under irradiation of corundum single crystals with energetic xenon ions. Rad. Meas. 2024, 179, 107324. [Google Scholar]
- F.W. Clinard, Jr., L.W. Hobbs. In Physics of Radiation Effects in Crystals; R.A. Johnson and A.N., Orlov, Ed.; Elsevier: Amsterdam, 1986; Chapter 7. [Google Scholar]
- K. Nordlund, S.J. Zinkle, A.E. Sand, F. Granberg, R.S. Averback, R.E. Stoller, T. Suzudo, L. Malerba, F. Banhart, W.J. Weber, F. Willaime, S.L. Dudarev, D. Simeone, Primary radiation damage: A review of current understanding and models. J. Nucl. Mater 2018, 512, 450–479.
- N. Itoh, D.M. Duffy, S. Khakshouri, A.M. Stoneham, Making tracks: electronic excitation roles in forming swift heavy ion tracks. J. Phys.: Condens. Matter 2009, 21, 474205.
- Lushchik, T. Kärner, Ch. Lushchik, K. Schwartz, F. Savikhin, E. Shablonin, A. Shugai, E. Vasil’chenko, Electronic excitations and defect creation in wide-gap MgO and Lu3Al5O12 crystals irradiated with swift heavy ions. Nucl. Instrum. Meth. B 2012, 286, 200–208. [Google Scholar] [CrossRef]
- W. Wesch, E. Wendler (Eds), E. Ion beam modification of solids; Springer Series in Surface Sciences; Springer Nature, 2016; vol. 61. [Google Scholar]
- M.L. Crespillo, F. Agulló-López, A. Zucchiatti, Cumulative approaches to track formation under swift heavy ion (SHI) irradiation: Phenomenological correlation with formation energies of Frenkel pairs. Nucl. Instrum. Meth. B 2017, 394, 20–27. [CrossRef]
- K.H. Lee, J.H. Crawford, Additive coloration of sapphire. Appl. Phys. Lett. 1978, 33, 273–275. [CrossRef]
- R. Ramírez, M. Tardío, R. Gonzalez, J.E. Munoz Santiuste, M.R. Kokta, Optical properties of vacancies in thermochemically reduced Mg-doped sapphire single crystals. J. Appl. Phys. 2007, 101, 123520. [CrossRef]
- Yu Zorenko, K. Fabisiak, T. Zorenko, A. Mandowski, Qi Xia, M. Batentschuk, J. Friеdrich, G. Zhusupkalieva, Comparative study of the luminescence of Al2O3:C and Al2O3 crystals under synchrotron radiation excitation. J. Lumin. 2013, 144, 41–44. [CrossRef]
- Y. Chen, J.L. Kolopus, W.A Sibley, Luminescence of the F+ center in MgO. Phys. Rev. 1969, 186, 865–870. [CrossRef]
- E. Kotomin, V. Kuzovkov, A.I. Popov, J. Maier, R. Vila, Anomalous kinetics of diffusion-controlled defect annealing in irradiated ionic solids. J. Phys. Chem. A 2018, 122, 28–32. [CrossRef]
- Lushchik, V. Seeman, E. Shablonin, E. Vasil’chenko, V.N. Kuzovkov, E.A. Kotomin, A.I. Popov, Detection of hidden oxygen interstitials in neutron-irradiated corundum crystals. Opt. Mater.: X 2022, 14, 100151. [Google Scholar]
- Lushchik, V.N. Kuzovkov, I. Kudryavtseva, A.I. Popov, V. Seeman, E. Shablonin, E. Vasil'chenko, E.A. Kotomin, The two types of oxygen interstitials in neutron-irradiated corundum single crystals: Joint experimental and theoretical study. Phys. Stat. Solidi B 2022, 259, 2100317. [Google Scholar] [CrossRef]
- L.E. Halliburton, L.A. Kappers, Radiation-induced oxygen interstitials in MgO. Solid State Commun. 1978, 26, 111–114. [CrossRef]
- J.F. Ziegler, M.D. Ziegler, J.P. Biersack, SRIM - The stopping and range of ions in matter (2010). Nucl. Instrum. Meth. B 2010, 268, 1818–1823. [CrossRef]
- M.V. Smoluchowski, Versuch Einer Mathematischen Theorie der Koagulationskinetik kolloider Losungen. Z. Phys. Chem. B 1917, 92, 129–168.
- V.N. Kuzovkov, E.A. V.N. Kuzovkov, E.A. Kotomin, A. Lushchik, A.I. Popov, E. Shablonin, The annealing kinetics of the F-type defects in MgAl2O4 spinel single crystals irradiated by swift heavy ions. Opt. Mater 2024, 147, 11473.3. [Google Scholar] [CrossRef]
- W. Meyer, H. Neldel, Concerning the relationship between the energy constant epsilon and the quantum constant alpha in the conduction-temperature formula in oxydising semi conductors. Physikalische Zeitschrift 38 (1 9370, 1014–1019.
- A. G. Jones, Compensation of the Meyer-Neldel Compensation Law for H diffusion in minerals. Geochem., Geophys., Geosyst. 2014, 15, 2616–2631. [CrossRef]








Disclaimer/Publisher’s Note: The statements, opinions and data contained in all publications are solely those of the individual author(s) and contributor(s) and not of MDPI and/or the editor(s). MDPI and/or the editor(s) disclaim responsibility for any injury to people or property resulting from any ideas, methods, instructions or products referred to in the content. |
© 2025 by the authors. Licensee MDPI, Basel, Switzerland. This article is an open access article distributed under the terms and conditions of the Creative Commons Attribution (CC BY) license (http://creativecommons.org/licenses/by/4.0/).
