Submitted:
21 May 2025
Posted:
23 May 2025
You are already at the latest version
Abstract

Keywords:
1. Introduction
2. Concept of the Investigated System
3. Model Analysis and Governing Equations
- - system’s potential energy;
- - system’s kinetic energy.
- u
- - pendulum’s elongation;
- t
- - time;
- l
- - pendulum’s length;
- k
- - spring’s stiffness;
- - mass of the pendulum;
- - pendulum’s swing angle;
- - pendulum’s stiffness;
- g
- - gravity constant;
- x
- - trolley’s displacement.
- - pendulum’s elongation velocity;
- - trolley’s velocity;
- - mass of the trolley;
- - pendulum’s swing angular velocity.
- - trolley’s acceleration;
- - pendulum’s elongation acceleration;
- F
- - excitation force;
- Ω
- - excitation frequency;
- - pendulum’s swing angular acceleration.
4. Simulation Results - Investigation of Initial Frequency Influence
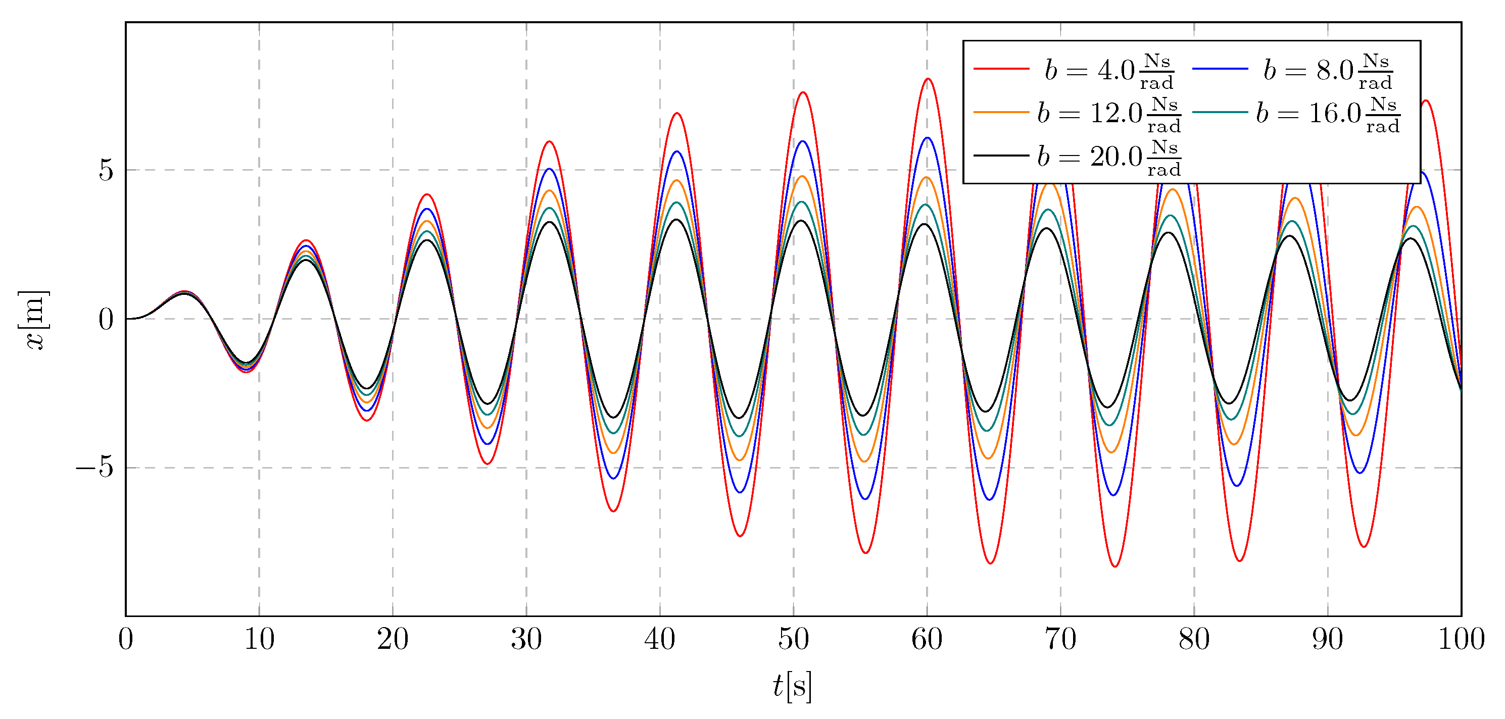
5. Simulation Results - Investigation of Damping Coefficient Influence
6. Simulation Results - Investigation of Damping Activation Time Influence
7. Simulation Results - Investigation of Trolley Mass Influence
8. Simulation Results - Investigation of Pendulum Mass Influence
9. Simulation Results - Investigation of Transferred Fluid Mass Influence
10. Simulation Results - Model Validation
11. Test Stand
- Induction electric motor - source of mechanical energy.
- Inverter - allows the regulation of the motor’s rotational speed, which translates into the frequency of the applied force.
- Crank shaft enabling the conversion of rotary motion into reciprocating motion.
- Connecting rod - connecting the crank with the carriage.
- Carriage on which the tested object is fixed and moves along linear guides.
- Test stand frame - stable supporting structure on which all elements are fixed, ensuring proper working conditions and safety.
- A flexible frame with a weight attached to a thread is the test object; the weight is attached to the thread, which makes it possible to tune the resonance frequencies.
- The measuring system consists of two accelerometers for measuring vibrations and a signal acquisition conditioning unit.
12. Empirical Study on a Physical Model
- Tests in which the pendulum length was constant (steady state).
- Tests in which the length of the rope was variable and the tension force acted in a plane perpendicular to the direction of motion.
- Tests in which the tension force was applied in the vertical direction.
13. Conclusions
- There is a convergence between displacement of a carriage and a pendulum under varying harmonic excitation.
- Selecting the correct value of damping coefficient involves avoiding an overriding contribution from booster dampers, limiting pendulum swing angles, and maximizing the damping rate of resonant vibrations.
- Activation time of fluid flow significantly affects the propagation of resonant vibrations. Early activation is essential to prevent damage to the structure. The system can resemble a classical dynamic vibration eliminator when fluid flow starts before resonance.
- There is a direct relationship between cart mass and pendulum response during liquid flow activation.
- An improper mass ratio between cart and a pendulum can result in diagnostic limitations and excessive pendulum amplitudes and damage of the structure.
- There exist a need for higher tare weights to limit amplitudes to a safe range, contrary to initial assumptions.
- Small pendulum masses can lead to modulation of carriage vibrations due to inadequate damping.
References
- Bankar, V.; Aradhye, A. A Review on Active, Semi-active and Passive Vibration Dampin. International Journal of Current Engineering and Technology 2016, 6. [Google Scholar] [CrossRef]
- Allien, J.; Kumar, H.; V. , D. Semi-active vibration control of SiC-reinforced Al6082 metal matrix composite sandwich beam with magnetorheological fluid core. Proceedings of the Institution of Mechanical Engineers Part L-Journal of Materials-Design and Applications 2019, 234, 408–424. [Google Scholar] [CrossRef]
- Kumar Kishore, K.; Krishna, Y. Damping in beams using viscoelastic layers. Proceedings of the Institution of Mechanical Engineers Part L-Journal of Materials-Design and Applications 2013, 234, 117–125. [Google Scholar] [CrossRef]
- Eke, F.; Mao, T. On the Dynamics of Variable Mass Systems. International Journal of Mechanical Engineering Education 2002, 30, 123–137. [Google Scholar] [CrossRef]
- Xu, B.; Xiang, C.; Yechen, Q.; Peng, D.; Mingming, D. Semi-Active Vibration Control for in-Wheel Switched Reluctance Motor Driven Electric Vehicle With Dynamic Vibration Absorbing Structures: Concept and Validation. IEEE Access 2018, 6, 60274–60285. [Google Scholar] [CrossRef]
- Demetriou, D.; Nikitas, N. A Novel Hybrid Semi-Active Mass Damper Configuration for Structural Application. Applied Sciences 2016, 6, 1–18. [Google Scholar] [CrossRef]
- Guimarães, J.; dos Reis Farias, M.; César, M.; Carneiro de Barros, R. Dynamic Analysis of Wind Tower and Dimensioning of Tuned Mass Damper. Revista de Engenharia e Pesquisa Aplicada 2021, 6. [Google Scholar]
- Pais, T.; Boote, D. Developments of Tuned Mass Damper for yacht structures. Ocean Engineering 2017, 141, 249–264. [Google Scholar] [CrossRef]
- Zheng, L.; Zixin, W.; Sami, F.; Xilin, L. Particle impact dampers: Past, present, and future. Structural Control and Health Monitoring 2017, 2058. [Google Scholar] [CrossRef]
- Diez-Jimenez, E.; Rizzo, R.; Gómez-García, M.; Corral-Abad, E. Review of Passive Electromagnetic Devices for Vibration Damping and Isolation. Shock and Vibration 2019, 11. [Google Scholar] [CrossRef]
- Lewandowski, R. Reduction of vibration of civil engineering structures. Wydawnictwo Naukowe PWN 2014. [Google Scholar]
- Gao, H.; Wang, C.; Huang, C.; Shi, W.; Huo, L. Development of a Frequency-Adjustable Tuned Mass Damper (FATMD) for Structural Vibration Control. Shock and Vibration, Hindawi 2020, 2020. [Google Scholar] [CrossRef]
- Kawęcki, J.; Masłowski, R. Use of passive, quasi-active and hybrid silencers to reduce seismic and paraseismic vibrations of buildings - overview of solutions. Czasopismo techniczne Civil Engineering, Wydawnictwo Politechniki Krakowskiej 2010, 3-B/2010, 59–67. [Google Scholar]
- Gutierrez Soto, M.; Adeli, H. Semi-active vibration control of smart isolated highway bridge structures using replicator dynamics. Engineering Structures 2019, 186, 536–552. [Google Scholar] [CrossRef]
- Dominguez, A.; Sedaghati, R.; Stiharu, I. Modeling and application of MR dampers in semi-adaptive structures. Computers & Structures 2008, 86, 407–415. [Google Scholar] [CrossRef]
- Ismail, F.; Tanjung, J.; Aruan, S. On the use of a simple tuned mass damper model for reducing the excessive vibration of tsunami evacuation suspension footbridge. MATEC Web of Conferences 2018, 229. [Google Scholar] [CrossRef]
- Elias, S.; Matsagar, V. Wind response control of tall buildings with a tuned mass damper. Journal of Building Engineering 2018, 15, 51–60. [Google Scholar] [CrossRef]
- Khiabani, E.; Ghaffarzadeh, H.; Shiri, B.; Katebi, J. Spline collocation methods for seismic analysis of multiple degree of freedom systems with visco-elastic dampers using fractional models. Journal of Vibration and Control 2020, 26. [Google Scholar]
- Olson, S. An analytical particle damping model. Journal of Sound and Vibration 2003, 264. [Google Scholar] [CrossRef]
- Gagnon, L.; Morandini, M.; Ghiringhelli, G. A review of particle damping modeling and testing. Journal of Sound and Vibration 2019, 459. [Google Scholar] [CrossRef]
- Chuaqui, T.; Roque, C.; Ribeiro, P. Active vibration control of piezoelectric smart beams with radial basis function generated finite difference collocation method. Jouenal of Intelligent Material Systems and Structures 2018, 29, 2728–2743. [Google Scholar] [CrossRef]
- Brockmann, B.; Brecher, C.; Baumler, S. Avoiding chatter by meansof active damping systems for machine tools. Journal of Machine Engineering 2013, 13, 117–128. [Google Scholar]
- Shi, W.; Wang, L.; Lu, Z. Study on self-adjustable tuned mass damper with variable mass. Structural Control Health Monitoring 2017, 25. [Google Scholar] [CrossRef]
- Kwiatkowski, R. The concept of vibration damping of the variable mass assembly. MATEC Web of Conferences 2019, 254. [Google Scholar] [CrossRef]
- Snoun, C.; Trigui, M. Design parameters optimization of a particles impact damper. International Journal of Interactive Design and Manufacturing 2018, 12, 1283–1297. [Google Scholar] [CrossRef]
- Elias, S.; Matsagar, V. Research developments in vibration control of structures using passive tuned mass dampers. Annual Reviews in Control 2017, 44, 129–156. [Google Scholar] [CrossRef]
- Sarkar, S.; Chakraborty, A. Development of semi-active vibration control strategy for horizontal axis wind turbine tower using multiple magneto-rheological tuned liquid column dampers. Journal of Sound and Vibration 2019, 457, 15–36. [Google Scholar] [CrossRef]
- Kamgar, R.; Gholami, F.; Sanayei, H.; Heidarzadeh, H. Modified Tuned Liquid Dampers for Seismic Protection of Buildings Considering Soil–Structure Interaction Effects. Iranian Journal of Science and Technology, Transactions of Civil Engineering 2020, 44, 339–354. [Google Scholar] [CrossRef]
- Ghassempour, M.; Failla, G.; Arena, F. Vibration mitigation in offshore wind turbines via tuned mass damper. Engineering Structures 2019, 183, 610–636. [Google Scholar] [CrossRef]
- Żurawski, M.; Chiliński, B.; Zalewski, R. A Novel method for changing the dynamics of slender elements using Sponge Particles Structures. Advances in Mechanical Testing of Engineering Materials 2020, 13. [Google Scholar] [CrossRef]
- Oliphant, T. Python for Scientific Computing. Computing in Science & Engineering 2007, 9, 10–20. [Google Scholar] [CrossRef]
- PyLaTeX. PyLaTeX 1.3.2 documentation. https://jeltef.github.io/PyLaTeX/current/. Accessed: 2024-05-04.
- GitHub. bogumilchilinski/dynpy. https://github.com/bogumilchilinski/dynpy. Accessed: 2024-05-04.
- Harris, C.R.; Millman, K.J.; van der Walt, S.J.; Gommers, R.; Virtanen, P.; Cournapeau, D.; Wieser, E.; Taylor, J.; Berg, S.; Smith, N.J.; et al. Array programming with NumPy. Nature 2020, 585, 357–362. [Google Scholar] [CrossRef] [PubMed]
- Wes McKinney. Data Structures for Statistical Computing in Python 2010. pp. 56 – 61. [CrossRef]
- Meurer, A.; Smith, C.P.; Paprocki, M.; Čertík, O.; Kirpichev, S.B.; Rocklin, M.; Kumar, A.; Ivanov, S.; Moore, J.K.; Singh, S.; et al. SymPy: symbolic computing in Python. PeerJ Computer Science 2017, 3, e103. [Google Scholar] [CrossRef]









































Disclaimer/Publisher’s Note: The statements, opinions and data contained in all publications are solely those of the individual author(s) and contributor(s) and not of MDPI and/or the editor(s). MDPI and/or the editor(s) disclaim responsibility for any injury to people or property resulting from any ideas, methods, instructions or products referred to in the content. |
© 2025 by the authors. Licensee MDPI, Basel, Switzerland. This article is an open access article distributed under the terms and conditions of the Creative Commons Attribution (CC BY) license (http://creativecommons.org/licenses/by/4.0/).