Submitted:
21 May 2025
Posted:
22 May 2025
You are already at the latest version
Abstract

Keywords:
1. Introduction
2. Materials and Methods
2.2. Equipment
2.2. General Considerations of Synthesis
2.3. Synthetic Procedures of Compounds
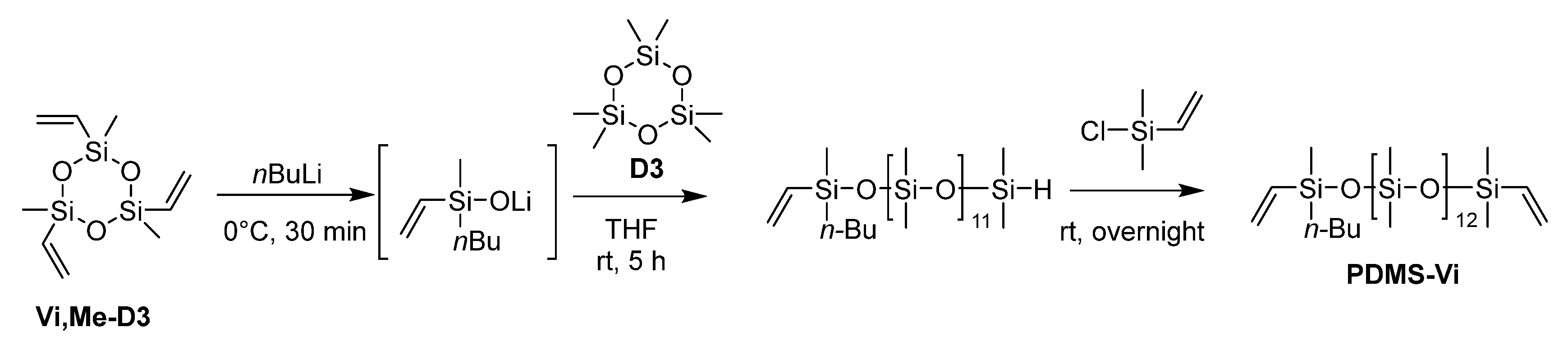
2.3.1. Synthesis of PDMS-Vi

2.3.2. Synthesis of Siloxane 1

2.3.3. Synthesis of Siloxane 2

2.3.4. Synthesis of Si-PBT

2.3.5. Synthesis of PBT

3. Results and Discussion
3.1. Synthesis of Siloxane-Based Comonomers
3.2. Copolymerization of Oligosiloxanes and Polybutylene Terephthalate (PBT)
3.3. Thermal Properties of Oligosiloxanes and Copolyesters
3.4. Surface Property of Copolyester
| γd | γp | γh | γtotal | |
|---|---|---|---|---|
| Si-PBT | 23.2 | 4.6 | 0.0 | 27.8 |
| PBT | 27.5 | 40.8 | 1.7 | 70.0 |

3.5. Impact Resistance of Copolyester
4. Conclusions
Supplementary Materials
Author Contributions
Funding
Institutional Review Board Statement
Informed Consent Statement
Data Availability Statement
Acknowledgments
Conflicts of Interest
References
- Sfamani, S.; Lawnick, T.; Rando, G.; Visco, A.; Textor, T.; Plutino, R.M. Super-Hydrophobicity of Polyester Fabrics Driven by Functional Sustainable Fluorine-Free Silane-Based Coatings. Gels. 2023, 9, 109. [CrossRef]
- Xu, L.; Xie, K.; Liu, Y.; Zhang, C. Stable super-hydrophobic and comfort PDMS-coated polyester fabric. e-polymers, 2021, 21, 654−661. [CrossRef]
- Endo, H.; Takeda, N.; Takanashi, M.; Imai, T.; Unno, M. Refractive Indices of Silsesquioxanes with Various Structures. Silicon, 2015, 7, 127–132. [CrossRef]
- Zhang, B.; Liu, B.; Deng, X.; Cao, S.; Hou, X.; Chen, H. A novel approach for the preparation of organic-siloxane oligomers and the creation of hydrophobic surface. Appl. Surf. Sci., 2007 254 452–458.
- Bogdanowicz, K.A.; Dutkiewicz, M.; Maciejewski, H.; Nowicki, M.; Przybyl, W.; Plebankiewicz, I.; Iwan, A. Siloxane resins as hydrophobic self-cleaning layers for silicon and dye-sensitized solar cells: material and application aspects. RSC Adv., 2022, 12, 19154−19170. [CrossRef]
- Ho, C.-H.; Wang, C.-H.; Lin, C.-I.; Lee, Y.-D. Synthesis and characterization of (AB)n-type poly(L-lactide) poly(dimethyl siloxane) multiblock copolymer and the effect of its macrodiol composition on urethane formation. Eur. Polym. J., 2009, 45, 2455–2466.
- Anisimov, A.A.; Kuvandykova, A.E.; Buzin, I. A.; Muzafarov, M.A. Synthesis of siloxane analogue of polyethylene terephthalate. Mendeleev Commun., 2019, 29, 461–462. [CrossRef]
- Racles, C.; Cozan, V.; Bele, A.; Dascalu, M. Polar silicones: structure-dielectric properties relationship. Designed Monomers and Polymers, 2016, 6, 496–507. [CrossRef]
- Schauser, S.N.; Grzetic, J.D; Tabassum, T.; Kliegle, A.G.; Le L.M.; Susca, M.E.; Antoine, S.; Keller, J.T.; Delaney, T.K.; Han, S.; Seshadri, R.; Fredrickson, H.G.; Segalman, A.R. The Role of Backbone Polarity on Aggregation and Conduction of Ions in Polymer Electrolytes. J. Am. Chem. Soc., 2020, 15, 7055–7065. [CrossRef]
- Zhou, W.; Osby, J; Siloxane modification of polycarbonate for superior flow and impact toughness. Polymer, 2010, 9, 1990−1999. [CrossRef]
- Woehrle, H.G.; Warner, G.M.; Hutchison, E.J. Molecular-Level Control of Feature Separation in One-Dimensional Nanostructure Assemblies Formed by Biomolecular Nanolithography. Langmuir, 2004, 14, 5982−5988. [CrossRef]
- Frye, L.C.; Salinger, M.R.; Fearon, G.F.W.; Klosowski, M.J.; DeYoung, T. Reactions of organolithium reagents with siloxane substrates. J. Org. Chem., 1970, 5, 1308−1314. [CrossRef]
- Liu, Y.; Kigure, M.; Okawa, R.; Takeda, N.; Unno, M. Synthesis and characterization of tetrathiol-substituted double-decker or ladder silsesquioxane nano-cores, Dalton Trans., 2021, 50, 3473−3478.
- Xue, L.; Wang, D.; Yang, Z.; Liang, Y.; Zhang, J.; Feng, S. Facile, versatile and efficient synthesis of functional polysiloxanes via thiol–ene chemistry. Eur. Polym. J., 2013, 49, 1050–1056. [CrossRef]
- Cohen, C.; Damiron, D.; Dkhil, B.S.; Drockenmuller, E.; Restagno, F.; Leger, L. Synthesis of Well-Defined Poly(dimethylsiloxane) Telechelics Having Nitrobenzoxadiazole Fluorescent Chain-Ends via Thiol-Ene Coupling. J. Polym. Sci. Pol. Chem., 2012, 50, 1827–1833.
- Fox, W.H.; Taylor, W.A.; Zisman, A.W. Ind. Eng. Chem., 1947, 39, 1401−1409.
- Pawlenko, S. Organosilicon Chemistry, Walter de Gruyter, New York, USA, 1986; pp. 13−16.
- Yamaya, M. Silocone Taizen, The Nikkan Kogyo Shimbun, LTD., Tokyo, Japan, 2024; pp. 8−11.
- Tao, H.; Zhang, X.; Sun, Y.; Yang, H.; Lin, B. The influence of molecular weight of siloxane macromere on phase separation morphology, oxygen permeability, and mechanical properties in multicomponent silicone hydrogels. Colloid Polym. Sci., 2017, 295, 205–213. [CrossRef]
- Friedman, E.M.; Porter, R.S. Trans. Soc. Rheol. 1975, 19, 493– 508.
- Gordon, V.G.; Schmidt, G.R.; Quintero, M.; Benton, J.N.; Cosgrove, T.; Krukonis, J.V.; Williams, K.; Wetmore, M.P. Impact of Polymer Molecular Weight on the Dynamics of Poly(dimethylsiloxane)−Polysilicate Nanocomposites. Macromolecules 2010, 43, 10132–10142. [CrossRef]
- Kitazaki, Y.; Hata, T. Journal of the Adhesion Society of Japan, 1972, 8, 131.





| Polymer | ηred [dL/g]1 | Mw [g/mol]2 |
|---|---|---|
| Si-PBT | 0.89 | 6.0 × 104 |
| PBT | 1.08 | 4.4 × 104 |
| DMT [mol%] | 1,4-BG [mol%] | Siloxane 2 [mol%] | |
|---|---|---|---|
| Feed | 100 | 95 | 5 |
| 1H NMR1 | 100 | 93 | 41 |
| Td3 | Td5 | Td10 | |
|---|---|---|---|
| Siloxane 2 | 284.3 | 306.2 | 355.2 |
| N2 atmosphere | Air atmosphere | |||||
|---|---|---|---|---|---|---|
| Td3 | Td5 | Td10 | Td3 | Td5 | Td10 | |
| Si-PBT | 330.6 | 344.6 | 359.0 | 321.9 | 335.1 | 350.7 |
| PBT | 359.9 | 368.3 | 376.3 | 328.7 | 354.0 | 367.4 |
| Tc [°C] | ΔH(Tm) [J/g] | |
|---|---|---|
| Si-PBT | 216.4 | −34.7 |
| PBT | 221.6 | −46.8 |
| Water | n-hexadecane | CH2I2 | |
|---|---|---|---|
| Si-PBT | 113.3 | 15 | 52.4 |
| PBT | 77.8 | 5.5 | 23.8 |
Disclaimer/Publisher’s Note: The statements, opinions and data contained in all publications are solely those of the individual author(s) and contributor(s) and not of MDPI and/or the editor(s). MDPI and/or the editor(s) disclaim responsibility for any injury to people or property resulting from any ideas, methods, instructions or products referred to in the content. |
© 2025 by the authors. Licensee MDPI, Basel, Switzerland. This article is an open access article distributed under the terms and conditions of the Creative Commons Attribution (CC BY) license (http://creativecommons.org/licenses/by/4.0/).