Submitted:
20 May 2025
Posted:
21 May 2025
You are already at the latest version
Abstract
Keywords:
1. Introduction
2. Structure and Working Principal Analysis of HEG
2.1. Structure and Main Parameters of HEG
2.2. Magnetic Circuit Analysis of HEG
2.3. Analysis of HEG Structural Parameters Based on the EMC Method
3. Optimization of Parameter Sensitivity Analysis
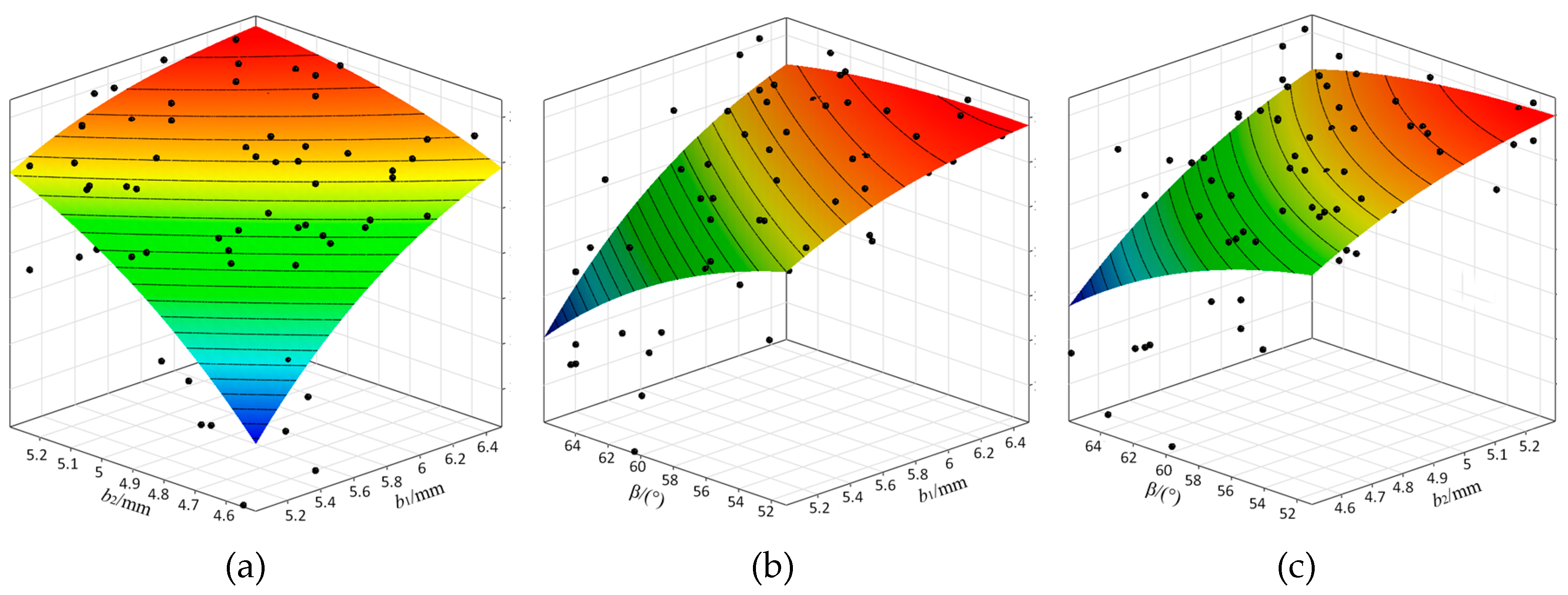
4. Establishment and Analysis of Response Surface Model
5. Multi-Objective Optimization and Simulation Verification
5.1. Multi-Objective Optimization
5.2. Simulation Verification
6. Experimental Verification
7. Conclusions
Author Contributions
Funding
Data Availability Statement
Conflicts of Interest
References
- Zhang, X.; Du, Q.; Xu, J.; et al. Development and Analysis of the Magnetic Circuit on Double-Radial Permanent Magnet and Salient-Pole Electromagnetic Hybrid Excitation Generator for Vehicles. Chinese Journal of Mechanical Engineering 2019, 32, 33. [CrossRef]
- Zhao, C.; Qin, H.; Zhang, Z.; et al. Structural and Principle Analysis of Radial Structure Hybrid Excitation Synchronous Generator with Magnetic Shunt. Proceedings of the CSEE 2008, 28, 145–150.
- Wenjing, H.; Xueyi, Z.; Huihui, G.; et al. Electromagnetic Design and Flux Regulation Analysis of New Hybrid Excitation Generator for Electric Vehicle Range Extender. Journal of Electrical and Computer Engineering 2021, 2021. [CrossRef]
- Zhu, C.; Wang, X.; Yang, Y.; et al. Structural and Voltage Regulation Analysis of Parallel Hybrid Excitation Synchronous Generator under Double-Pole Induction. Proceedings of the CSEE 2020, 40, 7890–7898+8226. [CrossRef]
- Hui, Y.; Hao, Z.; Q., Z.Z.; et al. Comparative Study of Partitioned Stator Memory Machines with Series and Parallel Hybrid PM Configurations. IEEE Transactions on Magnetics 2019, 55, 1–8. [CrossRef]
- Wang, X.; Qiao, D.; Zhu, C. Finite Element Analysis of Magnetic Field Regulation Characteristics of New Type of Hybrid Excitation Brushless Claw-Pole Generator. Journal of Electrical Control Engineering 2013, 17, 99–104. [CrossRef]
- Qiao, D.; Wang, X.; Zhu, C. Analysis and Experimental Study of Magnetic Field Regulation Characteristics of New Type of Hybrid Excitation Brushless Claw-Pole Generator. Proceedings of the CSEE 2013, 33, 115–121. [CrossRef]
- Geng, W.; Zhang, Z.; Yu, L.; et al. Structure Principle and Magnetic Field Regulation Characteristics of New Type of Parallel Hybrid Excitation Brushless DC Motor. Transactions of China Electrotechnical Society 2013, 28, 131–137+154. [CrossRef]
- Zhao, C. Structure Design and Characteristics of Series Magnetic Circuit Hybrid Excitation Claw-Pole Generator. Transactions of China Electrotechnical Society 2009, 24, 1–6+12. [CrossRef]
- Zhang, Z.; Wang, D.; Hua, W. Review and Prospect of Structure Principle, Design and Operation Control Technology of Hybrid Excitation Motor. Proceedings of the CSEE 2020, 40, 7834–7850+8221. [CrossRef]
- Zhu, X.; Cheng, M.; Zhao, W.; et al. Review and Prospect of Hybrid Excitation Motor Technology. Transactions of China Electrotechnical Society 2008, 23, 30–39. [CrossRef]
- Gu, X.; Zhang, Z.; Sun, L.; et al. Magnetic Field Enhancement Characteristic of an Axially-Parallel Hybrid Excitation DC Generator. IEEE Transactions on Magnetics 2020, PP, 1–1. [CrossRef]
- Xiangpei, G.; Zhuoran, Z.; Linnan, S.; et al. Phase Displacement Characteristics of a Parallel Hybrid Excitation Brushless DC Generator. IEEE Transactions on Energy Conversion 2020, 35, 1–1. [CrossRef]
- Gong, H.; Zhang, Y.; Wang, L.; et al. Rotor Pole Matching of Parallel Rotor Hybrid Excitation Synchronous Generator. Journal of Electrical Control Engineering 2020, 24, 128–137. [CrossRef]
- Shilong, Y.; Xueyi, Z.; Jun, Z.; et al. Magnetic Field Analysis and Performance Optimization of Dual-Rotor Hybrid Excitation Generator for Automobile. Machines 2022, 10, 816. [CrossRef]
- Geng, H.; Zhang, X.; Yan, S.; et al. Magnetic Field Analysis and Performance Optimization of Hybrid Excitation Generators for Vehicles. Sustainable Energy Technologies and Assessments 2022, 52, e102222. [CrossRef]
- Wenjing, H.; Xueyi, Z.; Huihui, G.; et al. Electromagnetic Design and Flux Regulation Analysis of New Hybrid Excitation Generator for Electric Vehicle Range Extender. Journal of Electrical and Computer Engineering 2021, 2021. [CrossRef]
- Mengyao, W.; Baoquan, K.; Lu, Z.; et al. A Novel Hybrid Excitation Doubly Salient Generator with Separated Windings by PM Inserted in Stator Slot for HEVs. Energies 2022, 15, 7968. [CrossRef]
- Wei, C.; Wu, Q.; Bao, J.; et al. Structural Design and Parameter Optimization of Parallel Claw-Pole Hybrid Excitation Motor for New Energy Vehicles. Science Technology and Engineering 2025, 25, 1496–1502. [CrossRef]
- Yujing, G.; Ping, J.; Heyun, L.; et al. Design and Analysis of a Flux Intensifying Permanent Magnet Embedded Salient Pole Wind Generator. AIP Advances 2018, 8, 056627. [CrossRef]
- Huihui, G.; Yi, X.Z.; Yanhong, G.; et al. Performance Analysis and Optimization of Built-In Permanent Magnet and Salient-Pole Electromagnetic Hybrid Excitation Generators for Vehicles. Journal of Engineering 2022, 2022. [CrossRef]
- Huihui, G.; Xueyi, Z.; Yufeng, Z.; et al. Development of Brushless Claw Pole Electrical Excitation and Combined Permanent Magnet Hybrid Excitation Generator for Vehicles. Energies 2020, 13, 4723. [CrossRef]
- Yan, S.; Zhang, X.; Gao, Y. Influence of Rotor Internal Slotting on Cogging Torque of Segmented Permanent Magnet Synchronous Motor. Journal of Xi’an University of Technology 2022, 38, 433–441. [CrossRef]
- Ma, S.; Chen, K.; Zhang, Q. Analysis of Multi-Objective Optimization Design of Interior Double Radial and Tangential Combined Magnetic Pole Permanent Magnet Drive Motor for Electric Vehicles. World Electric Vehicle Journal 2024, 15, 4. [CrossRef]
- Huang, C.; Li, S.; Liu, X.; et al. Multi-Objective Optimization Method of Permanent Magnet Assisted Synchronous Reluctance Motor Based on KELM-NSGA-II. Science Technology and Engineering 2025, 25, 1065–1074.























| Parameters | Numerical value | Parameters | Numerical value |
| Rated power/W | 1000 | Stator-rotor axial length/mm | 24 |
| Rated speed/(r/min) | 3000 | Stator outer diameter/mm | 110 |
| Number of poles/slots | 8/36 | Stator inner diameter/mm | 82 |
| Rated voltage/V | 14 | Rotor outer diameter/mm | 81 |
| Parameters | Range ofvalues | Parameters | Range ofvalues |
| ws/mm | 21~23.5 | h1/mm | 2~3 |
| hs/mm | 9~11 | b2/mm | 4.5~5.5 |
| wb/mm | 10~13 | h2/mm | 2~2.5 |
| hb/mm | 10~13.5 | h3/mm | 4~6 |
| b1/mm | 5~7.7 | β/(°) | 50~65 |
| Design Parameters | Pearson Correlation Coefficient Weights | Integrated Sensitivity/% | ||
| |SEMF(0.25)| | |STcog(0.25)| | |SBr(0.5)| | ||
| ws | 0.430 | 0.523 | 0.079 | 0.063 |
| hs | 0.023 | 0.026 | 0.023 | 0.012 |
| wb | 0.087 | 0.070 | 0.047 | 0.063 |
| hb | 0.036 | 0.035 | 0.042 | 0.039 |
| b1 | 0.730 | 0.424 | 0.729 | 0.653 |
| h1 | 0.218 | 0.098 | 0.217 | 0.187 |
| b2 | 1.000 | 0.541 | 1.000 | 0.885 |
| h2 | 0.162 | 0.610 | 0.401 | 0.394 |
| h3 | 0.166 | 0.094 | 0.137 | 0.086 |
| β | 0.456 | 1.000 | 0.661 | 0.694 |
| Experiment No. | Optimize parameters | Optimizegoals | ||||
| b1/mm | b2/mm | β/(°) | EA/(V) | Tcog/(mN∙m) | Br/(T) | |
| 1 | 6.17 | 4.73 | 58.50 | 18.2714 | 59.303 | 0.7015 |
| 2 | 5.63 | 5.00 | 59.50 | 18.4952 | 69.126 | 0.7139 |
| 3 | 7.61 | 4.93 | 52.50 | 20.2502 | 67.622 | 0.7944 |
| 4 | 5.81 | 5.47 | 63.50 | 19.7596 | 106.77 | 0.7932 |
| 5 | 7.43 | 5.33 | 53.50 | 20.6093 | 79.282 | 0.8247 |
| 6 | 5.09 | 5.40 | 51.50 | 18.5077 | 40.793 | 0.6954 |
| 7 | 5.99 | 4.60 | 62.50 | 16.4341 | 51.213 | 0.6295 |
| 8 | 5.27 | 4.80 | 61.50 | 15.7405 | 42.145 | 0.5993 |
| 9 | 6.89 | 5.27 | 57.50 | 20.1824 | 87.989 | 0.8079 |
| 10 | 7.07 | 4.87 | 64.50 | 19.6449 | 112.00 | 0.7892 |
| 11 | 6.53 | 5.13 | 55.50 | 19.7269 | 69.687 | 0.7725 |
| 12 | 7.25 | 4.67 | 54.50 | 19.4750 | 61.784 | 0.7558 |
| 13 | 6.35 | 5.07 | 56.50 | 19.4214 | 69.175 | 0.7593 |
| 14 | 5.45 | 4.53 | 50.50 | 13.3469 | 8.9281 | 0.4796 |
| 15 | 6.71 | 5.20 | 60.50 | 19.9521 | 96.960 | 0.8011 |
| Serialnumber | b1/mm | b2/mm | β/(°) | EA/(V) | Tcog/(mN∙m) | Br/(T) |
| 1 | 5.43 | 4.50 | 50.05 | 13.481 | 56.64 | 0.481 |
| 15 | 5.44 | 4.51 | 50.09 | 13.654 | 61.62 | 0.486 |
| 52 | 5.51 | 4.50 | 51.07 | 15.416 | 77.33 | 0.532 |
| …… | …… | …… | …… | …… | …… | …… |
| 171 | 7.47 | 5.04 | 58.03 | 20.335 | 143.27 | 0.798 |
| 218 | 7.45 | 5.04 | 56.03 | 20.324 | 114.45 | 0.797 |
| 386 | 7.30 | 5.10 | 53.04 | 19.78 | 87.44 | 0.768 |
| Structureparameter | ws/mm | hs/mm | wb/mm | hb/mm | h3/mm | b1/mm | h1/mm | b2/mm | β/(°) | h2/mm |
| Before Optimization | 22.87 | 10.7 | 12.3 | 10.2 | 5.7 | 5.3 | 2.6 | 5.1 | 64.8 | 2.3 |
| After Optimization | 22 | 10 | 11.6 | 13.8 | 6 | 7.4 | 3 | 5.3 | 53.5 | 2 |
Disclaimer/Publisher’s Note: The statements, opinions and data contained in all publications are solely those of the individual author(s) and contributor(s) and not of MDPI and/or the editor(s). MDPI and/or the editor(s) disclaim responsibility for any injury to people or property resulting from any ideas, methods, instructions or products referred to in the content. |
© 2025 by the authors. Licensee MDPI, Basel, Switzerland. This article is an open access article distributed under the terms and conditions of the Creative Commons Attribution (CC BY) license (http://creativecommons.org/licenses/by/4.0/).