Submitted:
20 May 2025
Posted:
21 May 2025
You are already at the latest version
Abstract
Keywords:
1. Introduction
2. Materials and Methods
Statistical Analysis
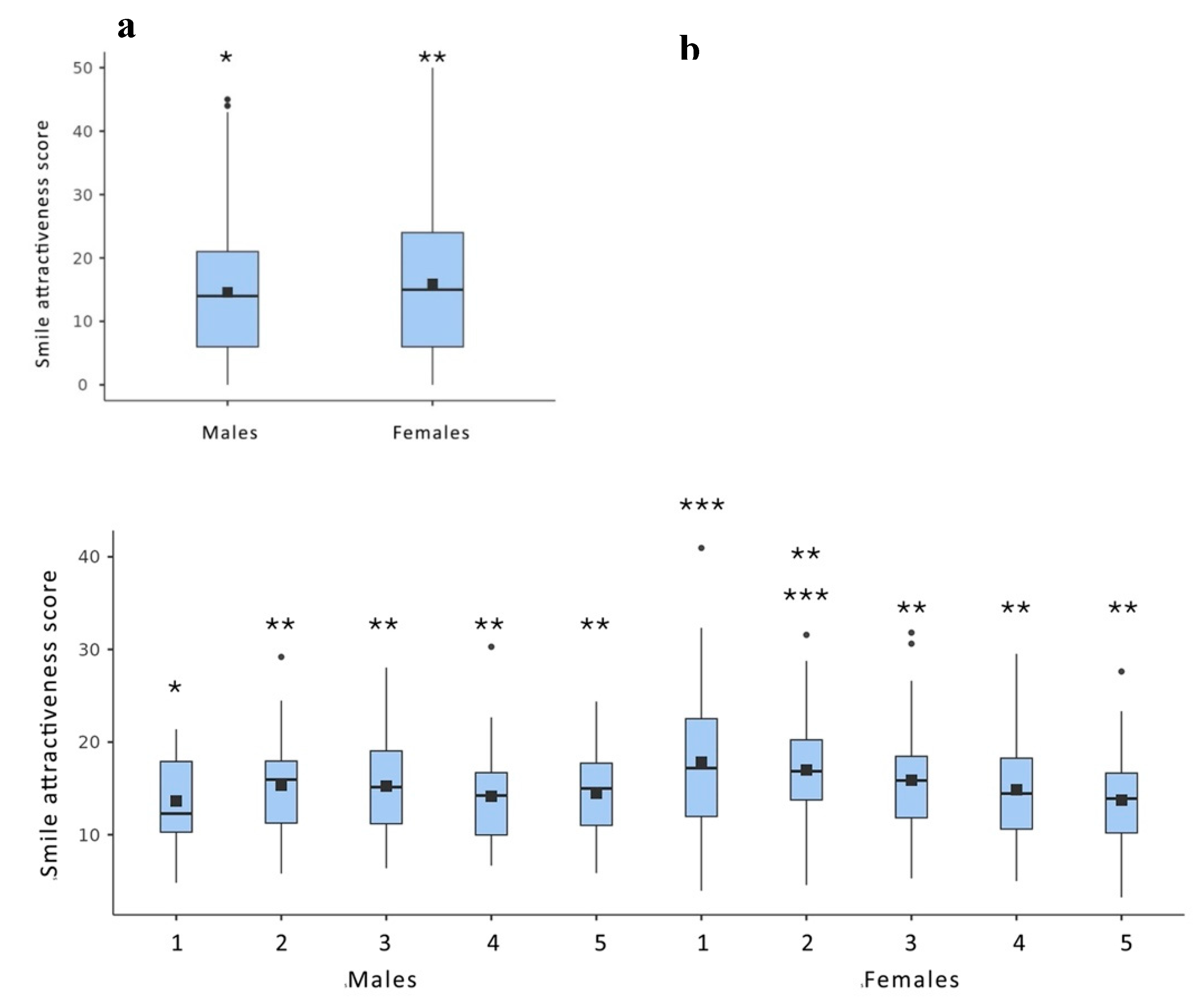
3. Results
4. Discussion
5. Conclusions
Author Contributions
Funding
Institutional Review Board Statement
Informed Consent Statement
Data Availability Statement
Conflicts of Interest
References
- Flores-Mir, C.; Silva, E.; Barriga, M.I.; Lagravere, M.O.; Major, P.W. Lay person’s perception of smile aesthetics in dental and facial views. J. Orthod. 2004, 31, 201–204. [Google Scholar] [CrossRef] [PubMed]
- Kumar, S.; Gandhi, S.; Valiathan, A. Perception of smile esthetics among Indian dental professionals and laypersons. Indian J. Dent. Res. 2012, 23, 295. [Google Scholar] [CrossRef] [PubMed]
- Peck, S.; Peck, L. Selected aspects of the art and science of facial esthetics. Semin. Orthod. 1995, 1, 105–126. [Google Scholar] [CrossRef] [PubMed]
- Moskowitz, M.E.; Nayyar, A. Determinants of dental esthetics: a rational for smile analysis and treatment. Compend. Contin. Educ. Dent. 1995, 16, 1164–1186. [Google Scholar]
- Parrini, S.; Rossini, G.; Castroflorio, T.; Fortini, A.; Deregibus, A.; Debernardi, C. Laypeople’s perceptions of frontal smile esthetics: A systematic review. Am. J. Orthod. Dentofacial Orthop. 2016, 150, 740–750. [Google Scholar] [CrossRef]
- Rodrigues, C.D.; Magnani, R.; Machado, M.S.; Oliveira, O.B. The perception of smile attractiveness. Angle Orthod. 2009, 79, 634–639. [Google Scholar] [CrossRef]
- Theobald, A.H.; Wong, B.K.; Quick, A.N.; Thomson, W.M. The impact of the popular media on cosmetic dentistry. N. Z. Dent. J. 2006, 102, 58–63. [Google Scholar]
- Morley, J.; Eubank, J. Macroesthetic elements of smile design. J. Am. Dent. Assoc. 2001, 132, 39–45. [Google Scholar] [CrossRef]
- Coachman, C.; Calamita, M.A.; Coachman, F.G.; Coachman, R.G.; Sesma, N. Facially generated and cephalometric guided 3D digital design for complete mouth implant rehabilitation: A clinical report. J. Prosthet. Dent. 2017, 117, 577–586. [Google Scholar] [CrossRef]
- Ntovas, P.; Pashias, A.; Vassilopoulos, S.; Gürel, G.; Madianos, P.; Papazoglou, E. Esthetic rehabilitation through crown lengthening and laminate veneers. A digital workflow. Int. J. Esthet. Dent. 2023, 18, 330–344. [Google Scholar]
- Oreški, N.P.; Čelebić, A.; Petričević, N. Assessment of esthetic characteristics of the teeth and surrounding anatomical structures. Acta Stomatol. Croat. 2017, 51, 22–32. [Google Scholar] [CrossRef] [PubMed]
- Ntovas, P.; Diamantopoulou, S.; Gogolas, N.; Sarri, V.; Papandreou, A.; Sakellaridi, E.; Petrakos, G.; Papazoglou, E. Influence of lightness difference of single anterior tooth to smile attractiveness. J. Esthet. Restor. Dent. 2021, 33, 856–864. [Google Scholar] [CrossRef] [PubMed]
- Ntovas, P.; Karkazi, F.; Özbilen, E.Ö.; Flavio, A.; Ladia, O.; Papazoglou, E.; Yilmaz, H.N.; Coachman, C. Perception of smile attractiveness among laypeople and orthodontists regarding the buccal corridor space, as it is defined by the eyes. An innovated technique. J. Esthet. Restor. Dent. 2023, 35, 345–351. [Google Scholar] [CrossRef] [PubMed]
- Ntovas, P.; Karkazi, F.; Ozbilen, E.O.; Lysy, J.; Gogolas, N.; Yilmaz, H.N.; Papazoglou, E.; Coachman, C. The impact of dental midline angulation towards the facial flow curve on the esthetics of an asymmetric face: Perspective of laypeople and orthodontists. J. Esthet. Restor. Dent. 2024, 36, 778–784. [Google Scholar] [CrossRef]
- Ntovas, P.; Soundia, M.; Karveleas, I.; Ladia, O.; Tarnow, D.; Papazoglou, E. The Influence of a Single Infrapositioned Anterior Ankylosed Tooth or Implant-Supported Restoration on Smile Attractiveness. Int. J. Oral Maxillofac. Implants 2024, 39, 745–754. [Google Scholar]
- Ntovas, P.; Diamantopoulou, S.; Johnston, W.M.; Papazoglou, E. Perceptibility and acceptability of lightness difference of a single maxillary central incisor. J. Esthet. Restor. Dent. 2024, 36, 1068–1074. [Google Scholar] [CrossRef]
- Ladia, O.; Ntovas, P.; Gogolas, N.; Sarafianou, A.; Blatz, M.; Tarnow, D. Impact of long contact areas for the management of varying levels of interdental papilla loss on the perception of smile esthetics between dentists and laypersons in asymmetric and symmetric situations. J. Prosthodont. 2024. [Google Scholar] [CrossRef] [PubMed]
- Cheng, J.H.; Hsu, Y.C.; Lee, T.Y.; Li, R.W. Factors affecting perception of laypeople and dental professionals toward different smile esthetics. J. Dent. Sci. 2023, 18, 739–746. [Google Scholar] [CrossRef]
- Shaw, W.C. Factors influencing the desire for orthodontic treatment. Eur. J. Orthod. 1981, 3, 151–162. [Google Scholar] [CrossRef]
- Sharma, N.; Rosenstiel, S.F.; Fields, H.W.; Beck, F.M. Smile characterization by U.S. white, U.S. Asian Indian, and Indian populations. J. Prosthet. Dent. 2012, 107, 327–335. [Google Scholar] [CrossRef]
- Ntovas, P.; Grybauskas, S.; Beiglboeck, F.M.; Kalash, Z.; Aida, S.; Att, W. What comes first: teeth or face? Recommendations for an interdisciplinary collaboration between facial esthetic surgery and dentistry. J. Esthet. Restor. Dent. 2024, 36, 1489–1501. [Google Scholar] [CrossRef] [PubMed]
- Espeland, L.V.; Stenvik, A. Perception of personal dental appearance in young adults: relationship between occlusion, awareness, and satisfaction. Am. J. Orthod. Dentofacial Orthop. 1991, 100, 234–241. [Google Scholar] [CrossRef] [PubMed]
- Luniyal, C.; Shukla, A.K.; Priyadarshi, M.; Ahmed, F.; Kumari, N.; Bankoti, P.; Makkad, R.S. Assessment of Patient Satisfaction and Treatment Outcomes in Digital Smile Design vs. Conventional Smile Design: A Randomized Controlled Trial. J. Pharm. Bioallied Sci. 2024, 16 (Suppl. 1), S669–S671. [Google Scholar] [CrossRef]
- Aljefri, M.; Williams, J. The perceptions of preclinical and clinical dental students to altered smile aesthetics. BDJ Open 2020, 6, 16. [Google Scholar] [CrossRef]
- España, P.; Tarazona, B.; Paredes, V. Smile esthetics from odontology students’ perspectives. Angle Orthod. 2014, 84, 214–224. [Google Scholar] [CrossRef] [PubMed]
- Falkensammer, F.; Loesch, A.; Krall, C.; Weiland, F.; Freudenthaler, J. The impact of education on the perception of facial profile aesthetics and treatment need. Aesthetic Plast. Surg. 2014, 38, 620–631. [Google Scholar] [CrossRef]
- Althagafi, N. Esthetic Smile Perception Among Dental Students at Different Educational Levels. Clin. Cosmet. Investig. Dent. 2021, 13, 163–172. [Google Scholar] [CrossRef]
- Armalaite, J.; Jarutiene, M.; Vasiliauskas, A.; et al. Smile aesthetics as perceived by dental students: a cross-sectional study. BMC Oral Health 2018, 18, 225. [Google Scholar] [CrossRef]
- Alsalleh, F.M. Esthetic self-perception of smiles among a group of dental students. 2018.
- Rufenacht, C.R. Fundamentals of Esthetics; Quintessence Pub Co.: Chicago, IL, 1990. [Google Scholar]
- Romsics, L.; Segatto, A.; Boa, K.; et al. Dentofacial mini- and microesthetics as perceived by dental students: a cross-sectional multi-site study. PLoS One 2020, 15, e0230182. [Google Scholar] [CrossRef]
- Alhammadi, M.S.; Halboub, E.; Al-Mashraqi, A.A.; et al. Perception of facial, dental, and smile esthetics by dental students. J. Esthet. Restor. Dent. 2018, 30, 415–426. [Google Scholar] [CrossRef]
- Omar, H.; Tai, Y.T. Perception of smile esthetics among dental and nondental students. J. Educ. Ethics Dent. 2014, 4, 54–60. [Google Scholar] [CrossRef]
- Aldeeri, A.A.; Alhababi, K.A.; Algahtani, F.A.; Tounsi, A.A.; Albadr, K.I. Perception of Altered Smile Esthetics by Orthodontists, Dentists, and Laypeople in Riyadh, Saudi Arabia. Clin. Cosmet. Investig. Dent. 2020, 12, 563–570. [Google Scholar] [CrossRef] [PubMed]
- Osborne, P.B.; Skelton, J. Survey of undergraduate esthetic courses in U.S. and Canadian dental schools. J. Dent. Educ. 2002, 66, 421–425. [Google Scholar] [CrossRef]
- Tin-Oo, M.M.; Saddki, N.; Hassan, N. Factors influencing patient satisfaction with dental appearance and treatments they desire to improve aesthetics. BMC Oral Health 2011, 11, 6. [Google Scholar] [CrossRef]
- Samorodnitzky-Naveh, G.; Geiger, S.; Levin, L. Patients’ satisfaction with dental esthetics. J. Am. Dent. Assoc. 2007, 138, 805–808. [Google Scholar] [CrossRef] [PubMed]
- Liepa, A.; Urtane, I.; Richmond, S.; Dunstan, F. Orthodontic treatment need in Latvia. Eur. J. Orthod. 2003, 25, 279–284. [Google Scholar] [CrossRef]
- Bleichrodt, H.; Johannesson, M. An experimental test of a theoretical foundation for rating-scale valuations. Med. Decis. Making 1997, 17, 208–216. [Google Scholar] [CrossRef]
- Kaplan, R.M.; Ernst, J.A. Do category rating scales produce biased preference weights for a health index? Med. Care 1983, 21, 193–207. [Google Scholar] [CrossRef]







| Smile aesthetic discrepancy | Academic year | |||||
|---|---|---|---|---|---|---|
| 1 | 2 | 3 | 4 | 5 | ||
| Single | Mismatch in central incisors’ width (a) | 7.96 (8.09)a | 7.60 (5.68)a | 7.86 (5.77)a | 6.92 (6.41)a | 8.23 (6.49)a |
| Mismatch in central incisors’ length (b) | 13.27 (9.06)a | 12.57 (8.63)a | 11.96 (8.23)a,b | 11.23 (9.09)a,b | 10.61 (7.76)b | |
| Moderate maxillary anterior crowding (c) | 23.01 (11.54)a | 25.75 (8.54)a | 24.22 (9.97)a | 19.77 (10.06)b | 16.82 (10.12)b | |
| Midline diastema (d) | 21.50 (11.52)a | 20.58 (8.60)a | 18.21 (9.44)b | 18.65 (10.16)b | 17.06 (8.61)b | |
| Multiple diastema (e) | 23.37 (12.11)a | 22.13 (10.60)a | 20.56 (9.50)a,b | 19.12 (9.03)b | 19.70 (9.73)b | |
| Open gingival embrasures (f) | 14.86 (10.19)a | 12.67 (8.20)b | 11.16 (7.86)b,c | 12.71 (7.73)b | 9.77 (7.10)c | |
| Reduced tooth exposure, <75% (g) | 9.53 (7.97)a | 9.51 (7.79)a | 7.81 (6.40)a,b | 6.52 (6.36)b | 6.91 (6.05)b | |
| Dental midline deviation (h) | 10.75 (8.92)a | 9.47 (6.69)a,b | 7.88 (6.00)b | 10.53 (9.18)a | 11 (8.62)a | |
| Peg laterals (i) | 23.80 (11.95)a | 23.25 (9.45)a | 21.27 (9.71)a,b | 20.02 (10.72)b | 17.82 (9.08)c | |
| Sound canines in place of missing laterals (j) | 8.93 (7.42)a | 8.15 (6.64)a | 9.22 (6.72)a | 8.10 (7.32)a | 7.73 (5.22)a | |
| Gummy smile 3mm (k) | 9.37 (8.14)a | 9.65 (8.02)a | 11.87 (8.79)b | 10.86 (7.72)a,b | 11.32 (6.64)b | |
| Severe fluorosis (l) | 18.52 (10.73)a | 17.37 (8.80)a | 18.16 (8.75)a | 15.40 (9.29)b | 16.17 (8.90)b | |
| Reduced tooth lightness (ΔL=5) (m) | 18.07 (11.43)a | 17.38 (9.62)a | 13.71 (8.66)b | 11.55 (10.22)c | 11.38 (9.57)c | |
| Reduced tooth lightness (ΔL=3) (n) | 10.81 (8.97)a | 10.45 (7.73)a | 7.11 (6.70)b | 7.53 (6.44)b | 5.51 (4.39)c | |
| Complex | d + n (o) | 23.93 (11.77)a | 23.25 (9.45)a | 21.27 (9.71)a,b | 20.02 (10.72)b | 17.82 (9.08)c |
| b + j (p) | 9.97 (9.16)a | 10.78 (8.06)a | 11.08 (8.58)a | 10.82 (7.93)a | 10.51 (7.56)a | |
| c + i (q) | 19.11 (10.98)a | 19.16 (8.56)a | 21.31 (8.96)a | 19.26 (9.38)a | 16.83 (8.98)b | |
| d + k (r) | 23 (11.93)a | 22.02 (9.04)a | 23.22 (8.72)a | 21.67 (8.91)a | 21.86 (8.82)a | |
| d +k + m (s) | 24.05 (11.33)a | 25.10 (9.14)a | 23.91 (10.31)a | 20.67 (10.32)b | 21.52 (9.62)b | |
| k+ gingival recession (t) | 12.46 (10.17)a | 14.18 (9.26)a | 15.36 (10.30)b | 14.61 (9.92)b | 14.47 (8.63)b | |
| d + k + gingival recession (u) | 22.76 (11.79)a | 22.35 (8.71)a | 22.32 (9.26)a | 21.35 (9.47)a | 21.46 (9.07)a | |
| Smile aesthetic discrepancy | Gender | ||
|---|---|---|---|
| Male | Female | ||
| Single | Mismatch in central incisors’ width (a) | 8.21 (6.89)a | 6.89 (5.79)a |
| Mismatch in central incisors’ length (b) | 10.94 (7.58)a | 12.52 (9.09)a | |
| Moderate maxillary anterior crowding (c) | 15.63 (8.36)a | 18.02 (9.80)b | |
| Midline diastema (d) | 18.75 (8.80)a | 19.47 (10.38)a | |
| Diastema (multiple) (e) | 19.80 (9.40)a | 21.68 (10.79)a | |
| Gingival recession (Canine) (f) | 13.15 (8.87)a | 14.79 (10.09)a | |
| Open gingival embrasures (g) | 10.94 (6.77)a | 13.01 (9.19)b | |
| Reduced tooth exposure, <75% (h) | 7.92 (6.36)a | 8.14 (7.43)a | |
| Dental midline deviation (i) | 10.32 (8.12)a | 9.69 (7.98)a | |
| Peg laterals (j) | 10.32 (8.12)a | 9.68 (7.98)a | |
| Sound canines in place of missing laterals (k) | 7.62 (6.29)a | 8.91 (6.90)a | |
| Gummy smile (l) | 10.70 (7.87)a | 10.56 (7.95)a | |
| Severe fluorosis (m) | 20.58 (10.39)a | 22.71 (10.50)b | |
| Reduced tooth lightness (ΔL=5) (n) | 12.47 (9.44)a | 15.59 (10.67)b | |
| Reduced tooth lightness (ΔL=3) (o) | 7.36 (5.49)a | 8.83 (8.11)a | |
| Complex | d + n | 20.24 (9.08)a | 21.87 (11.06)a |
| k + b | 9.48 (7.27)a | 11.33 (8.72)b | |
| c + j | 18.47 (8.68)a | 19.53 (9.91)a | |
| d + l | 22.31 (9.62)a | 22.38 (9.51)a | |
| d +l + o | 22.42 (9.95)a | 23.42 (10.44)a | |
| l + f | 12.46 (10.17)a | 14.18 (9.26)a | |
| d + l +f | 20.58 (10.39)a | 22.71 (10.50)b | |
Disclaimer/Publisher’s Note: The statements, opinions and data contained in all publications are solely those of the individual author(s) and contributor(s) and not of MDPI and/or the editor(s). MDPI and/or the editor(s) disclaim responsibility for any injury to people or property resulting from any ideas, methods, instructions or products referred to in the content. |
© 2025 by the authors. Licensee MDPI, Basel, Switzerland. This article is an open access article distributed under the terms and conditions of the Creative Commons Attribution (CC BY) license (http://creativecommons.org/licenses/by/4.0/).