Submitted:
16 May 2025
Posted:
19 May 2025
You are already at the latest version
Abstract
Keywords:
1. Introduction
2. Materials and Methods
2.1. Study Areas and Sampling Methods

2.2. Sample Preparation and Tissues Indices
2.3 Proximate composition determination and Energy Content
2.4. Lipid Classes and Fatty Acid Profile Analysis
2.5. Lipids Quality Indices
2.6. Statistical Analysis
3. Results and Discussion
3.1 Tissues Indices
3.2 Proximate Composition and Energy Content
3.3 Lipid Classes
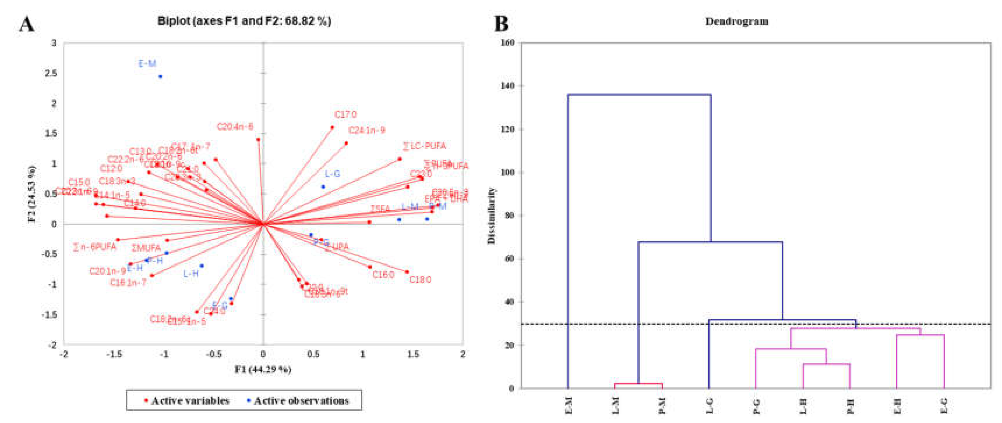
3.4. Fatty Acid Profile
3.5. Lipid Quality Indices
4. Conclusions
Supplementary Materials
Author Contributions
Funding
Institutional Review Board Statement
Informed Consent Statement
Data Availability Statement
Conflicts of Interest
References
- Czerniejewski, P.; Bienkiewicz, G.; Tokarczyk, G. Nutritional Quality and Fatty Acids Composition of Invasive Chinese Mitten Crab from Odra Estuary (Baltic Basin). Foods 2023, 12, 16. [Google Scholar] [CrossRef] [PubMed]
- He, L.; Li, F.; Tang, J. Fatty acid composition in freeze-dried chinese mitten crabs (Eriocheir sinensis). Open Journal of Marine Science 2012, 2, 90–95. [Google Scholar] [CrossRef]
- Chang, G.; Wang, Z.; Jiang, X.; Zhang, M.; Seinen, F.; Wu, X. Comparison in biochemical composition and nutritional value of the invasive Chinese mitten crab, Eriocheir sinensis, from Lake IJsselmeer, The Netherlands, and its natural habitat, the Yangtze River, China. Crustaceana 2022, 95, 1145–1169. [Google Scholar] [CrossRef]
- Tepolt, C.K.; Blum, M.J.; Lee, V.A.; Hanson, E.D. Genetic analysis of the Chinese mitten crab (Eriocheir sinensis) introduced to the North American Great Lakes and St. Lawrence Seaway. Journal of Great Lakes Research 2007, 33, 658–667. [Google Scholar] [CrossRef]
- Wang, S.; He, Y.; Wang, Y.; Tao, N.; Wu, X.; Wang, X.; Qiu, W.; Ma, M. Comparison of flavour qualities of three sourced Eriocheir sinensis. Food chemistry 2016, 200, 24–31. [Google Scholar] [CrossRef]
- Zou, J.; Chao, C.; Meng, S.; Hu, G.; Qiu, L.; Fan, L.; Chen, J. Effects of feed on fatty acid composition in muscles and gonads of the Chinese mitten crab (Eriocheir sinensis). Oceanological and Hydrobiological Studies 2021, 50, 338–351. [Google Scholar] [CrossRef]
- Bureau, C.F. China fishery statistical yearbook 2024; China Agriculture Press: Beijing 2024.
- Wu, H.; Ge, M.; Chen, H.; Jiang, S.; Lin, L.; Lu, J. Comparison between the nutritional qualities of wild-caught and rice-field male Chinese mitten crabs (Eriocheir sinensis). Lwt 2020, 117, 108663. [Google Scholar] [CrossRef]
- Wang, X.P.; Zhang, G.W.; Gao, D.D.; Ge, Y.C.; Cheng, Y.X.; Wang, X.H. Whole-Genome Sequencing Reveals the Progress of Genetic Breeding in Eriocheir sinensis. Animals 2025, 15, 15. [Google Scholar] [CrossRef]
- Agbekpornu, H.; Yuan, X.; Zhang, Z.; Zhu, W. Profiling of Chinese Mitten Crab Farmers in the Jiangsu Province of China. Asian Journal of Agricultural Extension, Economics & Sociology 2018, 26, 1–10. [Google Scholar]
- Wang, Q.; Liu, J.; Zhang, S.; Lian, Y.; Ding, H.; Du, X.; Li, Z.; De Silva, S.S. Sustainable farming practices of the Chinese mitten crab (Eriocheir sinensis) around Hongze Lake, lower Yangtze River Basin, China. Ambio 2016, 45, 361–373. [Google Scholar] [CrossRef]
- Xue, J.R.; Jiang, T.; Chen, X.B.; Liu, H.B.; Yang, J. Stable isotopic fingerprints of genuine and "bathing" cultured Chinese mitten crabs (Eriocheir sinensis) in Yangcheng Lake, China. Microchemical Journal 2024, 199, 6. [Google Scholar] [CrossRef]
- Zhang, L.; Yin, M.; Zheng, Y.; Tao, N.-P.; Wu, X.; Wang, X. Short-term rearing in brackish water regulates the taste-related metabolites of abdomen muscle for adult male Eriocheir sinensis. Lwt 2021, 142, 110898. [Google Scholar] [CrossRef]
- Long, X.; Wu, X.; Zhu, S.; Ye, H.; Cheng, Y.; Zeng, C. Salinity can change the lipid composition of adult Chinese mitten crab after long-term salinity adaptation. PLoS One 2019, 14, e0219260. [Google Scholar] [CrossRef]
- Tang, Y.; Peng, J.; Chen, J.; Zhao, Y.; Ding, Y.; Dai, J.; Hu, Z.; Huang, T.; Dong, M.; Xu, Z. Effect of Water Area and Waterweed Coverage on the Growth of Pond-Reared Eriocheir sinensis. Fishes 2022, 7, 282. [Google Scholar] [CrossRef]
- Gao, J.; Tai, X.; Shao, N.; Sun, Y.; Nie, Z.; Wang, Y.; Li, Q.; Xu, P.; Xu, G. Effects of effective microorganisms on the growth performance, nutritional composition and flavour quality of the pond-cultured Eriocheir sinensis. Aquaculture Research 2021, 52, 871–880. [Google Scholar] [CrossRef]
- Wang, S.; Wang, Y.; Wu, X.; Zhang, X.; Zhao, J.; Yang, J.; Cheng, Y. Gonadal development and biochemical composition of Chinese mitten crabs (Eriocheir sinensis) from four sources. Journal of Food Science 2021, 86, 1066–1080. [Google Scholar] [CrossRef]
- Feng, W.R.; He, Q.H.; Li, J.L.; Zhou, J.; Hua, G.A.; Xu, Y.F.; Jiang, G.; Tang, Y.K. Variability in Morphological Traits and Nutritional Profiles of Adult Eriocheir sinensis in Different Aquacultural Regions. Animals 2025, 15, 24. [Google Scholar] [CrossRef]
- Wu, X.; Cheng, Y.; Sui, L.; Yang, X.; Nan, T.; Wang, J. Biochemical composition of pond-reared and lake-stocked Chinese mitten crab Eriocheir sinensis (H. Milne-Edwards) broodstock. Aquaculture Research 2007, 38, 1459–1467. [Google Scholar] [CrossRef]
- Kong, L.; Cai, C.; Ye, Y.; Chen, D.; Wu, P.; Li, E.; Chen, L.; Song, L. Comparison of non-volatile compounds and sensory characteristics of Chinese mitten crabs (Eriocheir sinensis) reared in lakes and ponds: Potential environmental factors. Aquaculture 2012, 364, 96–102. [Google Scholar] [CrossRef]
- Zhang, B.Y.; Hou, Y.L.; Zhu, R.; Wang, W.J.; Liu, H.J.; Yang, Z.N.; Wu, M.; Wang, Q.J. Comparative study on growth performance and nutritional quality of Eriocheir sinensis between Liaohe River strain and Yangtze River strain under rice field culture environment. Journal of Food Composition and Analysis 2025, 137, 10. [Google Scholar] [CrossRef]
- Zhang, T.-T.; Xu, J.; Wang, Y.-M.; Xue, C.-H. Health benefits of dietary marine DHA/EPA-enriched glycerophospholipids. Progress in lipid research 2019, 75, 100997. [Google Scholar] [CrossRef] [PubMed]
- Cherifi, H.; Ajjabi, L.C.; Sadok, S. Nutritional value of the Tunisian mussel Mytilus galloprovincialis with a special emphasis on lipid quality. Food chemistry 2018, 268, 307–314. [Google Scholar] [CrossRef] [PubMed]
- Chen, J.; Liu, H. Nutritional indices for assessing fatty acids: A mini-review. International journal of molecular sciences 2020, 21, 5695. [Google Scholar] [CrossRef] [PubMed]
- Paszczyk, B.; Tonska, E. Influence of Plant Additives on Changes in the Composition of Fatty Acids, Lipid Quality Indices and Minerals of Fermented Dairy Products from Cow's Milk. Molecules 2025, 30. [Google Scholar] [CrossRef] [PubMed]
- Chinese National Standard.Practice of sampling plans for aquatic products. 2014, GB/T 30891-2014, 1-10.
- Barrento, S.; Marques, A.; Teixeira, B.; Mendes, R.; Bandarra, N.; Vaz-Pires, P.; Nunes, M.L. Chemical composition, cholesterol, fatty acid and amino acid in two populations of brown crab Cancer pagurus: Ecological and human health implications. Journal of Food Composition and Analysis 2010, 23, 716–725. [Google Scholar] [CrossRef]
- Latimer, G. , Horwitz, W. Official Methods of Analysis of the Association of Official Analytical Chemists International, 18th ed.; AOAC: Gaithersburg, MD, USA, 2005; pp. 3100–3126. [Google Scholar]
- Kochert, A.G. Carbohydrate determination by the phenol-sulfuric acid method. In Handbook of Phycolocical Methods: Physiological and Biochemical Methods; Hellebust, J.A., Craigie, J.S., Eds.; Cambridge University Press: Cambridge, UK, 1978; pp. 95–97. [Google Scholar]
- Barrento, S.; Marques, A.; Teixeira, B.; Vaz-Pires, P.; Nunes, M.L. Nutritional quality of the edible tissues of European lobster Homarus gammarus and American lobster Homarus americanus. Journal of agricultural and food chemistry 2009, 57, 3645–3652. [Google Scholar] [CrossRef]
- Folch, J.M.; Lee, S.S.G.; Sloane-Stanley, G.H. A simple method for the isolation and purification of total lipids from animal tissue. Journal of Biological Chemistry 1957, 22, 477–509. [Google Scholar]
- Long, X.; Guo, Q.; Wang, X.; Francis, D.S.; Cheng, Y.; Wu, X. Effects of fattening period on ovarian development and nutritional quality of adult female Chinese mitten crab Eriocheir sinensis. Aquaculture 2020, 519. [Google Scholar] [CrossRef]
- Jing, Z.; Ningping, T.; Mingfu, W.; Wenzheng, S.; Binqing, Y.; Xichang, W.; Qingcheng, Z.; Chuanxiang, H. Characterization of phospholipids from Pacific saury (Cololabis saira) viscera and their neuroprotective activity. Food Bioscience 2018, 24, 120–126. [Google Scholar]
- Akinbule, O.O.; Onabanjo, O.O.; Sanni, S.A.; Adegunwa, M.O.; Akinbule, A.S. Fatty acid, lipid profiles, and health lipid quality of selected Nigerian composite meals and soups. Food Chemistry 2022, 391, 133227. [Google Scholar] [CrossRef]
- Nędzarek, A.; Czerniejewski, P. The edible tissues of the major European population of the invasive Chinese mitten crab (Eriocheir sinensis) in the Elbe River, Germany, as a valuable and safe complement in essential elements to the human diet. Journal of Food Composition and Analysis 2021, 96, 103713. [Google Scholar] [CrossRef]
- Nash, R.D.M.; Valencia, A.H.; Geffen, A.J. The origin of Fulton's condition factor - Setting the record straight. Fisheries 2006, 31, 236–238. [Google Scholar]
- Wang, Q.; Wu, X.; Long, X.; Zhu, W.; Ma, T.; Cheng, Y. Nutritional quality of different grades of adult male Chinese mitten crab, Eriocheir sinensis. Journal of Food Science and Technology 2018, 55, 944–955. [Google Scholar] [CrossRef]
- Long, X.; Guo, Q.; Wang, X.; Francis, D.S.; Cheng, Y.; Wu, X. Effects of fattening period on ovarian development and nutritional quality of adult female Chinese mitten crab Eriocheir sinensis. Aquaculture 2020, 519, 734748. [Google Scholar] [CrossRef]
- Marques, A.; Teixeira, B.; Barrento, S.; Anacleto, P.; Carvalho, M.L.; Nunes, M.L. Chemical composition of Atlantic spider crab Maja brachydactyla: Human health implications. Journal of Food Composition and Analysis 2010, 23, 230–237. [Google Scholar] [CrossRef]
- Cui, J.T.; Jiang, X.M.; Zhang, W.M.; Li, C.; Cao, J. Positional characterization of DHA/EPA in triacylglycerol and phospholipid and production of DHA/EPA-rich phospholipid. Journal of Food Composition and Analysis 2024, 129. [Google Scholar] [CrossRef]
- Fan, Z.H.; Wang, Q.; Chen, X.; Qiu, L.P.; Yin, Y.T.; Fan, L.M.; Song, C.; Meng, S.L. Quantitative benefit and risk assessment of arsenic and nutrient levels in cooked and raw chinese mitten crab (Eriocheir sinensis) using an in vitro digestion model. Food Chemistry 2022, 368. [Google Scholar]
- Zhang, L.; Wang, W.; Zhou, F.; Zheng, Y.; Wang, X. Tenderness and histochemistry of muscle tissues from Eriocheir sinensis. Food Bioscience 2020, 34, 100479. [Google Scholar] [CrossRef]
- Araujo, P.; Truzzi, C.; Belghit, I.; Antonucci, M. The impact of seawater warming on fatty acid composition and nutritional quality indices of Trematomus bernacchii from the Antarctic region. Food Chemistry 2021, 365. [Google Scholar] [CrossRef]
- Rincón-Cervera, M.A.; González-Barriga, V.; Valenzuela, R.; López-Arana, S.; Romero, J.; Valenzuela, A. Profile and distribution of fatty acids in edible parts of commonly consumed marine fishes in Chile. Food Chemistry 2019, 274, 123–129. [Google Scholar] [CrossRef]
- Wu, N.; Wang, X.C. Comparison of Gender Differences in Nutritional Value and Key Odor Profile of Hepatopancreas of Chinese Mitten Crab (Eriocheir Sinensis). Journal of Food Science 2017, 82, 536. [Google Scholar] [CrossRef]
- FAO/WHO. Fats and oils in human nutrition: report of a joint expert consultation / Fats and oils in human nutrition: report of a joint expert consultation. FAO food & nutrition paper.
- Hu, C.; Xu, X.; Hu, X.; Zhang, J.; Shen, L. Edible plant oils with high n-3/n-6 polyunsaturated fatty acids ratio prolong the lifespan of Drosophila by modulating lipid metabolism. Food Chemistry 2025, 143121. [Google Scholar] [CrossRef] [PubMed]
- Giandomenico, S.; Nigro, M.; Parlapiano, I.; Spada, L.; Grattagliano, A.; Prato, E.; Biandolino, F. Effect of in-house cooking in Mytilus galloprovincialis and Trachurus trachurus: Lipid and fatty acids quality and polycyclic aromatic hydrocarbons formation. Food and Chemical Toxicology 2023, 173. [Google Scholar] [CrossRef] [PubMed]
- Sang, Y.; Li, X.; He, Z.; Qin, C.; Xu, C.; Nie, G.; Li, Y.; Xie, D. Effects of dietary SFA/MUFA ratios on serum biochemical indices, lipid metabolism-related gene expression, and muscle quality in Yellow River carp (Cyprinus carpio haematopterus) during FO finishing strategy. Aquaculture 2025, 603, 742409. [Google Scholar] [CrossRef]
- Gowda, S.G.B.; Minami, Y.; Gowda, D.; Chiba, H.; Hui, S.P. Detection and characterization of lipids in eleven species of fish by non-targeted liquid chromatography/mass spectrometry. Food Chemistry 2022, 393. [Google Scholar] [CrossRef]
- Sun, Q.; Jiang, X.; Hou, W.; He, J.; Francis, D.S.; Wu, X. Ovarian fullness affects biochemical composition and nutritional quality of female swimming crab Portunus trituberculatus. Journal of Food Composition and Analysis 2022. [Google Scholar] [CrossRef]
- Santos-Silva, J.; Bessa, R.J.B.; Santos-Silva, F. The effect of genotype, feeding system and slaughter weight on the quality of light lambs: 1. Growth, carcass composition and meat quality. Livestock Production Science 2002, 77, 187–194. [Google Scholar] [CrossRef]
- Chen, S.; Bobe, G.; Zimmerman, S.; Hammond, E.G.; Luhman, C.M.; Boylston, T.D.; Freeman, A.E.; Beitz, D.C. Physical and sensory properties of dairy products from cows with various milk fatty acid compositions. Journal of Agricultural and Food Chemistry 2004, 52, 3422–3428. [Google Scholar] [CrossRef]
- Banskalieva, V.; Sahlu, T.a.; Goetsch, A. Fatty acid composition of goat muscles and fat depots: a review. Small Ruminant Research 2000, 37, 255–268. [Google Scholar] [CrossRef]
- Liu, M.M.; Li, T.; Zhang, H.; Wang, Z.; Wu, X.G.; He, J.; Dong, Z.G. Salinity affects the lipid metabolism and intestinal microbial composition of swimming crab Portunus trituberculatus. Aquaculture Reports 2025, 40. [Google Scholar] [CrossRef]



| Tissues indices | Mathematical expression |
|---|---|
| Hepatopancreas index | |
| Gonadosomatic index | |
| Muscle index | ×100 |
| Total edible yield | |
| Condition factor |
| Quality index | Mathematical expression |
|---|---|
| Polyunsaturated to saturated fatty acid ratio | PUFA/SFA=(∑PUFA)/(∑SFA) |
| omega-3/omega-6 ratio | n-3/n-6= |
| Fish lipid quality | ) |
| Atherogenicity index | |
| Thrombogenicity index | |
| Hypo-to hyper-cholesterolemic ratio | |
| Health-promoting index | |
| Nutritive value index |
| Indices | Lake | Estuary | Pond |
|---|---|---|---|
| Hepatopancreas | |||
| Moisture (%) | 53.18±0.57a | 46.42±3.20a | 53.12 ± 8.92a |
| Total ash (%) | 1.33±0.09a | 1.18±0.14ab | 1.08±0.05b |
| Total lipid (%) | 34.02 ± 2.37a | 35.42 ± 2.11a | 33.65 ± 4.84a |
| Crude protein (%) | 7.68 ± 0.45b | 6.89 ± 0.78b | 9.24 ± 1.19a |
| Total carbohydrate (%) | 0.73 ± 0.33a | 0.46 ± 0.01a | 0.47 ± 0.04a |
| Energy(Kcal per 100 g) | 342.64 ± 21.62a | 350.82 ± 19.42a | 344.87 ± 40.03a |
| Gonads | |||
| Moisture (%) | 53.55±1.09a | 45.16±3.42b | 49.15±1.96ab |
| Total ash (%) | 2.46±0.36a | 2.26±0.07a | 2.14±0.07a |
| Total lipid (%) | 7.34 ± 0.81a | 6.90 ± 0.36a | 4.94 ± 0.22b |
| Crude protein (%) | 28.83 ± 1.63a | 27.12 ± 1.59a | 29.02 ± 1.39a |
| Total carbohydrate | 1.39 ± 0.26a | 1.35 ± 0.08a | 0.14 ± 0.03b |
| Energy(Kcal per 100 g) | 195.08 ± 13.08a | 183.63 ± 3.51ab | 169.05 ± 7.76b |
| Muscles | |||
| Moisture (%) | 75.74 ± 2.3a | 74.41±2.24a | 74.75 ± 2.42a |
| Total ash (%) | 2.17±0.06a | 1.88±0.11b | 2.04±0.03a |
| Total lipid (%) | 0.20 ± 0.07b | 0.59 ± 0.18b | 0.79 ± 0.39a |
| Crude protein (%) | 18.05 ± 1.59a | 16.98 ± 1.04a | 17.44 ± 1.39a |
| Total carbohydrate(%) | 1.11 ± 0.06a | 0.78 ± 0.2b | 0.33 ± 0.03c |
| Energy(Kcal per 100 g) | 83.48 ± 6.38b | 81.09 ± 5.73b | 109.07 ± 8.14a |
| Quality#break#indices | Hepatopancreas | Gonads | Abdomen | ||||||
|---|---|---|---|---|---|---|---|---|---|
| Lake | Estuary | Pond | Lake | Estuary | Pond | Lake | Estuary | Pond | |
| PUFA/SFA | 1.45±0.05a | 0.86±0.04c | 1.26±0.10b | 0.59±0.02b | 1.25±0.04a | 1.25±0.02a | 1.70±0.07b | 1.84±0.05a | 1.66±0.05b |
| n-3/n-6 | 1.02±0.03a | 0.61±0.03b | 1.28±0.37a | 2.44±0.14a | 1.18±0.12c | 2.16±0.11b | 4.07±0.08b | 1.88±0.02c | 4.41±0.04a |
| FLQ | 6.43±0.31b | 6.32±0.12b | 12.67±2.72a | 17.94±2.40a | 11.47±0.58b | 20.75±1.16a | 35.60±0.85a | 11.87±0.29b | 35.42±1.07a |
| AI | 1.30±0.06a | 0.22±0.02b | 0.32±0.01b | 0.31±0.06a | 0.23±0.00b | 0.22±0.01b | 0.18±0.01a | 0.12±0.01b | 0.18±0a |
| TI | 1.94±0.09a | 0.45±0.02b | 0.49±0.01b | 1.07±0.40a | 0.64±0.01b | 0.56±0.04b | 1.15±0.03a | 0.16±0.01b | 1.13±0.04a |
| HH | 1.15±0.06c | 3.55±0.24a | 2.16±0.16b | 2.26±0.05a | 2.26±0.11a | 1.88±0.04b | 3.70±0.17b | 12.83±0.31a | 3.75±0.22b |
| HPI | 2.46±0.11c | 4.61±0.33a | 3.08±0.14b | 3.33±0.61b | 4.32±0.07a | 4.54±0.30a | 5.43±0.20b | 8.53±0.39a | 5.47±0.12b |
| NVI | 1.53±0.08b | 3.16±0.29a | 3.12±0.14a | 1.36±0.83a | 2.16±0.05a | 1.39±0.35a | 2.31±0.10b | 10.81±0.84a | 2.39±0.06b |
Disclaimer/Publisher’s Note: The statements, opinions and data contained in all publications are solely those of the individual author(s) and contributor(s) and not of MDPI and/or the editor(s). MDPI and/or the editor(s) disclaim responsibility for any injury to people or property resulting from any ideas, methods, instructions or products referred to in the content. |
© 2025 by the authors. Licensee MDPI, Basel, Switzerland. This article is an open access article distributed under the terms and conditions of the Creative Commons Attribution (CC BY) license (http://creativecommons.org/licenses/by/4.0/).