Submitted:
14 May 2025
Posted:
16 May 2025
You are already at the latest version
Abstract
Keywords:
1. Introduction
2. The SCW-SMR Fuel Assembly
3. Burnable Absorbers
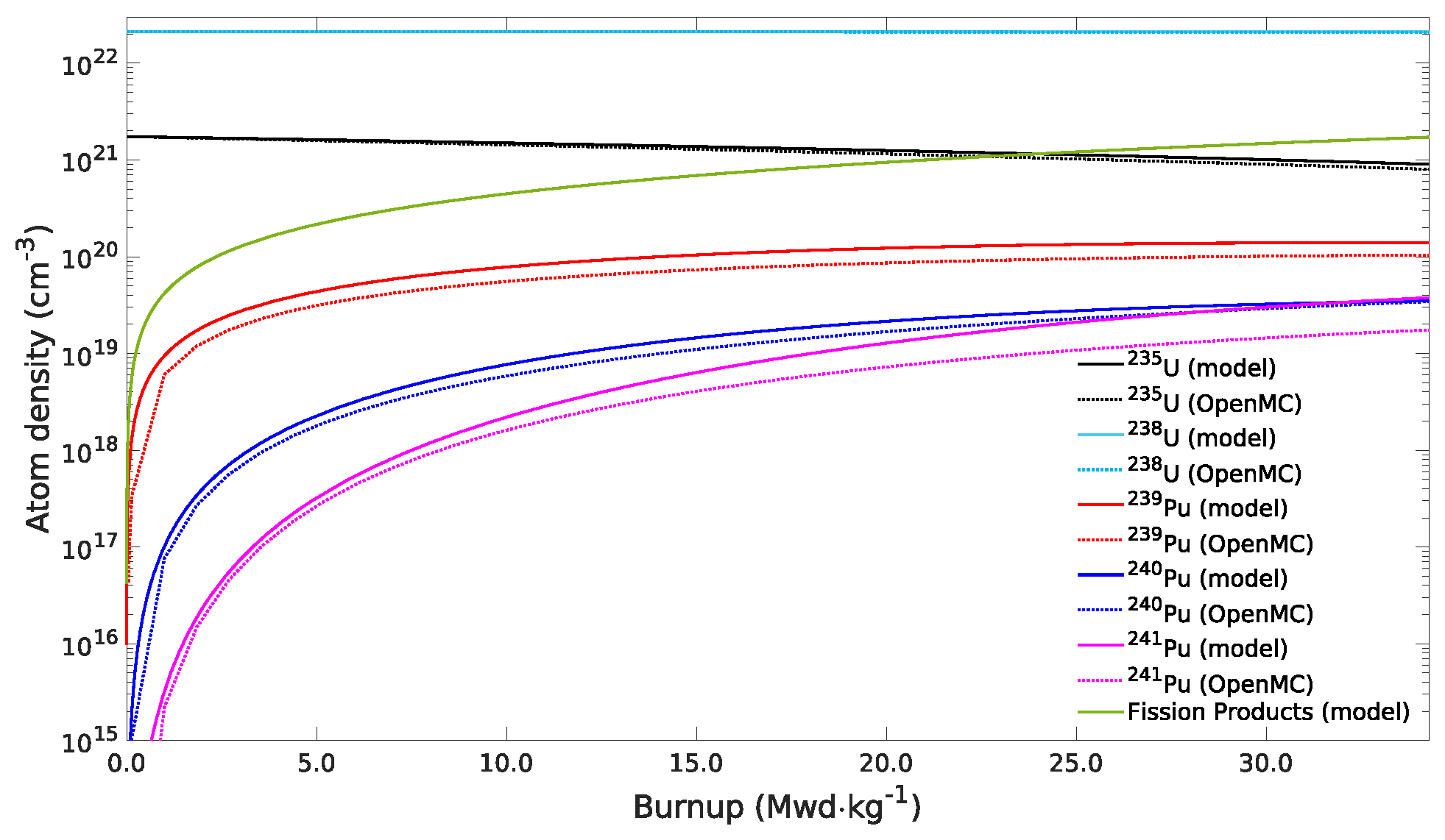
3.1. Simplified Analytical Model
3.2. Burnable Absorbers for the SCW-SMR Fuel Assembly - Analytical Study
3.2.1. Erbium
3.2.2. Boron Carbide
3.2.3. Gadolinium
3.3. Burnable Absorbers for the SCW-SMR Fuel Assembly - Monte Carlo Study
3.3.1. Erbium
3.3.2. Boron Carbide


3.3.3. Gadolinium
4. Assembly Pin-Power Peaking Factor
5. Conclusion
Funding
Data Availability Statement
Conflicts of Interest
References
- Brook, B.W.; Alonso, A.; Meneley, D.A.; Misak, J.; Blees, T.; van Erp, J.B. Why nuclear energy is sustainable and has to be part of the energy mix. Sustainable Materials and Technologies 2014, 1-2, 8–16. [Google Scholar] [CrossRef]
- IAEA. Deployment Indicators for Small Modular Reactors; Number 1854 in TECDOC Series, INTERNATIONAL ATOMIC ENERGY AGENCY: Vienna, 2018.
- IAEA. Small Modular Reactors: A New Nuclear Energy Paradigm. online, Vienna, 2022. link: https://smr.iaea.org.
- Lee, J.I. Review of Small Modular Reactors: Challenges in Safety and Economy to Success. Korean Journal of Chemical Engineering 2024. [Google Scholar] [CrossRef]
- Pioro, I.L.; Rodriguez, G.H. Chapter 2 - Generation IV International Forum (GIF). In Handbook of Generation IV Nuclear Reactors (Second Edition), Second ed.; Pioro, I.L., Ed.; Woodhead Publishing Series in Energy, Woodhead Publishing, 2023; pp. 111–132. [CrossRef]
- Starflinger, J.; Schulenberg, T. (Eds.) High Performance Light Water Reactor : Design and Analyses; KIT Scientific Publishing: Karlsruhe, 2012; p. 255. [Google Scholar] [CrossRef]
- Oka, Y.; Mori, H. Supercritical-pressure light water cooled reactors; Springer Japan: Japan, 2014. [Google Scholar] [CrossRef]
- Kryková, M.; Schulenberg, T.; Arnoult Růžičková, M.; Sáez-Maderuelo, A.; Otic, I.; Czifrus, S.; Cizelj, L.; Pavel, G.L. European Research Program on Supercritical Water-Cooled Reactor. Journal of Nuclear Engineering and Radiation Science 2020, 7, 021301. [Google Scholar] [CrossRef]
- Radkowsky, A. Theory and application of burnable poisons. In Proceedings of the Proceedings of the 2nd United Nations International Conference on the Peaceful Uses of Atomic Energy, held in Geneva, 1 September- 13 September 1958, Volume 13: Reactor physics and economics, Geneva, 1958; pp. 426–445.
- Ohki, S., Fuel Burnup and Reactivity Control. In Nuclear Reactor Design; Oka, Y., Ed.; Springer Japan: Tokyo, 2014; pp. 1–47. [CrossRef]
- Franceschini, F.; Petrović, B. Fuel with advanced burnable absorbers design for the IRIS reactor core: combined Erbia and IFBA. Annals of Nuclear Energy 2009, 36, 1201–1207. [Google Scholar] [CrossRef]
- Choe, J.; Shin, H.C.; Lee, D. New burnable absorber for long-cycle low boron operation of PWRs. Annals of Nuclear Energy 2016, 88, 272–279. [Google Scholar] [CrossRef]
- Jo, Y.; Shin, H.C. Design optimization of cylindrical burnable absorber inserted into annular fuel pellets for soluble-boron-free SMR. Nuclear Engineering and Technology 2022, 54, 1464–1470. [Google Scholar] [CrossRef]
- Evans, J.A.; DeHart, M.D.; Weaver, K.D.; Keiser, D.D. Burnable absorbers in nuclear reactors – A review. Nuclear Engineering and Design 2022, 391, 111726. [Google Scholar] [CrossRef]
- Antók, C.; Czifrus, S.; Giusti, V. Neutronic calculations for preliminary core design of SCW-SMR. Annals of Nuclear Energy 2024, 209, 110805. [Google Scholar] [CrossRef]
- Schulenberg, T.; Otic, I. Suggestion for design of a small modular SCWR. In Proceedings of the Proceedings of 10th International Symposium on Supercritical WaterCooled Reactors (ISSCWR10), Prague, Czech Republic, March 15–19, 2021, number Paper number ISSCWR10-019.
- Leppänen, J.; Pusa, M.; Viitanen, T.; Valtavirta, V.; Kaltiaisenaho, T. The Serpent Monte Carlo code: Status, development and applications in 2013. Annals of Nuclear Energy 2015, 82, 142–150. [Google Scholar] [CrossRef]
- Allison, C.M.; Hohorst, J.K. Role of RELAP/SCDAPSIM in Nuclear Safety. Science and Technology of Nuclear Installations 2010, 2010, 425658. [Google Scholar] [CrossRef]
- Meghreblian, R.; Holmes, D. Reactor Analysis; McGraw-Hill series in nuclear engineering, McGraw-Hill, 1960.
- Volkov, V.S.; Luk’yanov, A.S.; Chapkunov, V.V.; Shevyakov, V.P.; Yamnikov, V.S. Use of burnable poisons in nuclear reactors. The Soviet Journal of Atomic Energy 1962, 11, 745–757. [Google Scholar] [CrossRef]
- Hurwitz, H.; Zweifel, P.F. Self-Shielding of Lumped-Poison Mixtures. Nuclear Science and Engineering 1956, 1, 438–440. [Google Scholar] [CrossRef]
- Leonard, J.H.; Wackman, W. Lumped burnable poisons III - Applications. Transactions of the American Nuclear Society 1958, 1, 132–134. [Google Scholar]
- Yamashita, K. Optimization Method of Rod-Type Burnable Poisons for Nuclear Designs of HTGRs. Journal of Nuclear Science and Technology 1994, 31, 979–985. [Google Scholar] [CrossRef]
- Romano, P.K.; Horelik, N.E.; Herman, B.R.; Nelson, A.G.; Forget, B.; Smith, K. OpenMC: A state-of-the-art Monte Carlo code for research and development. Annals of Nuclear Energy 2015, 82, 90–97. [Google Scholar] [CrossRef]
- Zweifel, P. Reactor Physics; International student edition, McGraw-Hill, 1973.
- Henry, A. Nuclear-reactor Analysis; MIT Press, 1975.
- Radkowsky, A.; Creagan, R.J. Poison control of thermal reactor. In Proceedings of the Proceedings of the 3rd International Conference on the Peaceful Uses of Atomic Energy, held in Geneva 31 August - 9 September 1964, Volume 4: Reactor Control, New York, 1965; pp. 277–284.
| 1 | |
| 2 | As we will shortly see, this assumption is somehow relaxed because the self-shielding factor contributes to evaluating the 235U and poison concentrations only with its value at , i.e. when no other strong absorbers are present in the fuel. |













| Steps | Length | Power | |
|---|---|---|---|
| h | Mwd·kg−1 | kW | |
| 3 | 24 | 0.046755 | 7.2 |
| 2 | 48 | 0.093510 | |
| 2 | 96 | 0.187020 | |
| 1 | 144 | 0.280532 | |
| 47 | 438 | 0.853285 | |
Disclaimer/Publisher’s Note: The statements, opinions and data contained in all publications are solely those of the individual author(s) and contributor(s) and not of MDPI and/or the editor(s). MDPI and/or the editor(s) disclaim responsibility for any injury to people or property resulting from any ideas, methods, instructions or products referred to in the content. |
© 2025 by the authors. Licensee MDPI, Basel, Switzerland. This article is an open access article distributed under the terms and conditions of the Creative Commons Attribution (CC BY) license (http://creativecommons.org/licenses/by/4.0/).
