Preprint
Article

This version is not peer-reviewed.

Effects of Different Moments of Inertia on Neuromuscular Performance in Elite Female Soccer Players During Hip Extension Exercise to Prevent Hamstring Asymmetries and Injuries: A Cross-Sectional Study

A peer-reviewed article of this preprint also exists.

Submitted:

15 May 2025

Posted:

15 May 2025

You are already at the latest version

Abstract
Background/Objectives: High-intesity actions such as accelerations and decelerations are essential for elite female football performance and are often executed unilaterally, increasing the risk of interlimb asymmetries and injuries. Flywheel resistance training has gained popularity for its ability to enhance eccentric strength, but evidence on how specific inertial loads influence mechanical outputs in unilateral exercises remains limited. This study aimed to examine the effects of altering moments of inertia (0.107 kg·m² and 0.133 kg·m²) on the peak and average power, acceleration, speed, and bilateral asymmetry during a hip extension exercise in elite female football players. Methods: A repeated-measures cross-sectional design was used. Eighteen (27 ± 4 years, 59.9 ± 6.5 kg, 168,2 ± 6.3 cm; 21.2 ± 1.8 IMC) professional female football players performed unilateral hip extension on a conical flywheel device under two inertial conditions. A high-resolution rotatory encoder recorded peak and average values for power, acceleration, and speed, as well as the eccentric-to-concentric (E:C) ratio. Bilateral asymmetry was analyzed between dominant limb (DL) and non–dominant limb (NDL). Paired t-tests were applied, and Cohen’s d effect sizes were calculated. Results: Higher inertia (0.133 kg·m²) significantly decreased peak and mean acceleration and speed compared to lower inertia (0.107 kg·m²) (p < 0.001, d > 0.8. No significant differences were found in concentric peak and mean power for either limb, whereas eccentric peak power significantly increase only in the NDL limb (p < 0.001, d = 3.952). E:C ratios remained stable across conditions. Conclusions: Increasing inertial load during unilateral flywheel hip extension decreased significantly peak and mean acceleration and speed, while eccentric peak power only in the NDL. These findings suggest that manipulating inertia can help regulate neuromuscular training and manage performance asymmetries in elite female football players.
Keywords: 
;  ;  ;  ;  ;  ;  

1. Introduction

High-speed running and high-intensity actions are essential components of physical performance in elite international female football [1]. Within these demanding contexts, the ability to effectively execute accelerations and decelerations plays an essential role, significantly contributing to the total distance covered at high intensities, including sprints, during matches [2]. Since many of these actions are performed unilaterally, the development of interlimb asymmetries is anticipated, as evidenced by previous research which demonstrated that interlimb asymmetries are associated with a decrease in athletic performance [3,4,5]. To meet these physical demands, the implementation of well-designed strength and conditioning programs is crucial, as they not only enhance long-term physical capacities but also help mitigate the risk of injuries [6].
One promising strategy for optimizing athletic performance is the use of specialized training equipment that enhances power output during sprinting, focusing particularity on the acceleration and deceleration phases with an emphasis on eccentric ( E) loading [7]. Traditional resistance training methods, such as the use of free weights, often do not sufficiently stimulate the eccentric ( E) phase, missing opportunities to maximize the unique adaptations linked with E contractions [8]. To address this gap, flywheel training devices –especially cone-shaped versions– have been incorporated into training programs to target improvements during the E phase, thereby enhancing overall performance [9,10].
The mechanics of flywheel resistance training rely on the kinetic energy produced during the concentric ( C) phase, requiring a comparable impulse to decelerate the rotational movement of the flywheel [11]. To maximize training efficiency, athletes are encouraged to exert maximal force during the C acceleration phase, followed by an effective braking action during the E deceleration phase to generate force enhancement in the subsequent acceleration phase [11]. Achieving E overload, which is defined as having an eccentric-to-concentric ratio ( E:C) greater than one, is a key goal in flywheel training, as it leads to superior neuromuscular adaptations compared to C-dominant training [12]. Selecting an appropriate internal load is critical to achieving this overload and thus maximizing training outcomes [6].
Recent studies have sought to determine the impact of varying moments of inertia on crucial training metrics such as peak power, to improve training results and optimize load management [13,14,15]. For example, research has shown that unilateral knee extensions performed with higher moments of inertia (0.075, 0.1 kg·m²) produce greater peak power in both C and E phases compared to lower inertial loads (0.0125, 0.025, 0.0375 kg·m²) [16]. On the other hand, exercises like squats and deadlifts tend to generate higher peak power at lower moments of inertia indicating that the responses to different inertial loads may be exercise-specific [13,15,17].
The distinct responses of different exercises to changes In moments of inertia have sparked interest in understanding whether similar outcomes are observed for other lower-body exercises, such as leg curls and hip extensions, which target different parts of the hamstring force-length curve [18,19].
For instance, Keijzer et al. [20] demonstrated that, in unilateral leg curls, a wide range of moments of inertia could elicit high E demands, whereas hip extension required greater inertia to achieve E overload. Importantly, these investigations used flywheel devices with inertia values ranging from 0.029 to 0.089 kg·m², highlighting the need for further explorations into how these parameters influence performance outcomes [6].
Despite the increasing popularity of flywheel training for enhancing E strength, there is still a lack of comprehensive guidelines for its application, particularly within the context of soccer [6,21]. Peak power remains the primary variable used to quantify and monitor training loads in flywheel-based protocols, and the E:C ratio has proven to be a reliable measure for assessing eccentric overload when peak power values are used as an absolute metric [22]. However, additional research is needed to establish comprehensive guidelines for optimizing flywheel training across different muscle groups, thereby enhancing the efficacy of training management and prescription practices. Therefore, the primary objective of this study was to examine the effects of varying moments of inertia during the hamstring extension exercise performed with a cone-shaped flywheel device. Specifically, the study aims to evaluate how different inertia settings influence peak and average mechanical outputs and the E:C ratio. The secondary objective was to assess the effect of inertia moments on inter-limb asymmetries. We hypothesized lower moments of inertia will yield higher peak and average mechanical values. As for neuromuscular asymmetries, they will be independent of the external resistance.

2. Materials and Methods

2.1. Study Design

A randomized, repeated-measures cross-sectional design was employed. The study was conducted in accordance with the STROBE reporting guidelines [23].

2.2. Study Population

A total of eighteen female professional football players from elite Spanish division were enrolled in this study, with participants specifying their age (27 ± 4 years), height (168.2 ± 6.3 cm), and weight (59.9 ± 6.5 kg) (Table 1). The primary inclusion criteria required a minimum of 6 month of engagement in weekly resistance training programs focusing on lower body muscles, consistent with prior research emphasizing eccentric overload [14]. Consequently, regular participation in five pitch training sessions per week was mandatory. The main exclusion criteria comprised instances of lower body muscle or neuronal injury within the preceding 6 months, and the use of drugs or any medication that could vary the results during the testing session. Participants received prior exposure to eccentric overload (EOL) exercises and test procedures as integral components of their football training and weekly testing routine (Table 2). All participants were apprised of the potential risks and benefits of the study procedures and provided written informed consent. Ethical approval for the present study was obtained from the research ethics committee of the University of Blanquerna-Ramon Llull (Barcelona, Spain). All procedures adhered to the principles outlined in the Declaration of Helsinki for studies involving human subjects [24].

2.3. Data Collection

All data collection took place on the same day during the first part of the season in October 2024. Measurements were conducted at the team’s regular training facilities. Prior to the evaluation day, the researchers coordinated with the head coach to schedule the timing of each measurement, ensuring minimal disruption to the field training and enhancing the ecological validity of the study. Data collection from the conical pulley was achieved using a high-resolution rotary encoder (NexSo, Neuroexcellence, Braga, Portugal) connected via Bluetooth to the data software app (NexSo Software, Neuroexcellence, Braga, Portugal). The encoder recorded data from each repetition in both the concentric and eccentric phases. The data analysis focused on variables such as concentric peak power, eccentric peak power, eccentric–concentric ratio (E:C ratio), and the mean power of the concentric and eccentric phases. Same analysis was conducted for acceleration and speed for the peak and average outputs. The E:C ratio was calculated using the average from the three fastest concentric speed repetitions of the set [14].

2.4. Testing Procedures

The hip extension was conducted using a flywheel cone-shaped device (Cyclon Cone S4, GPServices, Barcelona, Spain) (Figure 1a and Figure 1b). The procedure consisted of two sets, each with distinct loads (0.107 kg·m² and 0.133 kg·m²). Before testing, the participants completed the same 10-minute warm-up, including 5 minutes of cycling on a stationary bike, followed by mobilization and dynamic stretching exercises for the hip and knee joints. Afterwards, two exercises for the hips and hamstrings were conducted on a vibratory platform at 35 Hz (Power Move, GPServices, Barcelona, Spain): Glute Bridge and Single-Leg Glute Bridge for the hips, and Single Leg Deadlift and Hamstring Curl Kicks on a Swiss ball for the hamstrings. Furthermore, the participants finished five submaximal hip extension for both legs using the isoinertial cone-shaped device with the lowest load used in the tests (0.107 kg·m²). Participants followed a sequence starting with the dominant limb (DL), then the non-dominant limb (NDL), with a 5-minute rest period between sets to increase the load [14]. To optimize the flywheel disc's acceleration, participants performed two to three initial repetitions, followed by up to ten repetitions to conclude each set. During the concentric phase, participants exerted maximum voluntary effort to accelerate the disc and aimed to minimize deceleration time before the next concentric phase to enhance the eccentric phase effort (EOL). The participants were in a supine position, with their heads positioned 10 centimeters from the flywheel device, and hands gripping the lateral handles. It was crucial for the lumbar region to stay in contact with the ground throughout the test to prevent lifting. The leg executing the exercise was instructed to perform hip flexion with the knee semi-flexed (approximately 15º from full knee extension). The limb demonstrating the highest functional capability was designated as the dominant leg.

2.4. Statistical Analysis

All statistical analyses were conducted using JASP software for Apple (version 0.18.3, Amsterdam, Netherlands). Data normality was assessed using Shapiro-Wilk test, and variables violating normality assumptions (p < 0.05) were further analyzed using Wilcoxon signed-rank tests as non-parametric alternative. For normally distributed variables, paired samples t-test were employed to compare the effects of different moments of inertia (0.107 kg·m² and 0.133 kg·m²) on concentric and eccentric peak and average power, acceleration, and speed, as well as eccentric-to-concentric (E:C) ratio and neuromuscular asymmetry percentage (%ASI). Effect sizes were calculated using Cohen’s d, categorized as follows Hopkins et al. [25] suggest: < 0.20 (trivial), 0.2-0.59 (small), 0.6-1.19 (moderate), 1.2-2.0 (large), and > 2.0 (very large)

3. Results

3.1. Peak Mechanical Outputs Dominant and Non-Dominant Limb Comparisons with Different Moments of Inertia (0.107 kg·m² and 0.133 kg· m²).

Mean and standard deviation from all peak mechanicals outputs (power, angular acceleration and angular speed) with two moments of inertia (107 kg·m² and 0.133 kg·m²) are presented in Table 1.
Table 1. Flywheel cone-shape device unilateral hip extension mean ± SD from peak mechanical outputs.
Table 1. Flywheel cone-shape device unilateral hip extension mean ± SD from peak mechanical outputs.
Load (kg·m²)
Variable 0.107 0.133
Concentric Eccentric Concentric Eccentric
DL Power
(W)
316.8
(49.9)
503
(114.3)
350.7
(111.9)
511
(91.6)
NDL Power
(W)
336.2
(88.7)
495.1
(110.9)
337.7
(97.7)
503
(90.5)
DL Angular acceleration
(rad/s²)
246.1
(53.9)
477.2
(82.5)
192.3
(20.7)
390.2
(42.5)
NDL Angular acceleration
(rad/s²)
234.3
(41.9)
443.1
(57.1)
194.9
(25.1)
395.8
(54.2)
DL Angular Speed
(rad/s)
63.6
(6.9)
68.6
(6.9)
58.9
(3.8)
65.2
(5.3)
NDL Angular speed
(rad/s)
62.4
(4.1)
68.6
(5.9)
60
(6.3)
65.5
(5.4)
Dominant limb (DL); Non–dominant limb (NDL).
The DL showed no significant differences in concentric peak power between resistances (t = -2.064, p = 0.054, d = -0.473). Likewise, no significant differences were observed in eccentric peak power (t = -0.461, p = 0.65, d = -0.106). The E:C ratio for peak power did not reach statistical significance (t = 1.442, p = 0.166, d = 0.331). The NDL showed no significant differences in concentric peak power between resistances (t = -0.07, p = 0.945, d = -0.016). However, a very large significant relation was found in eccentric peak power (t = 17.674, p < 0.001, d = 3.952). The E:C ratio for peak power did not show significant changes (t = -0.665, p = 0.514, d = -0.149). No significant differences were found in the asymmetry between phases and loads (t = -1.257, p = 0.225, d = -0.288) for the concentric phase, and eccentric phase (t = -0.17, p = 0.867, d = -0.039).
Figure 2. NDL concentric and eccentric peak power during the hip extension exercise using a flywheel cone-shape device. *Statistically significant (p < 0.05) difference between moments of inertia for the concentric phase. #Statistically significant (p < 0.05) difference between moments of inertia for the concentric phase.
Figure 2. NDL concentric and eccentric peak power during the hip extension exercise using a flywheel cone-shape device. *Statistically significant (p < 0.05) difference between moments of inertia for the concentric phase. #Statistically significant (p < 0.05) difference between moments of inertia for the concentric phase.
Preprints 159669 g002
For the aceleration, a moderate significant differences in concentric peak acceleration was observed in the DL when performing the exercise at 0.133 kg·m², compared to 0.107 kg·m² (t = 4.098, p < 0.001, d = 0.94). Similarly, a moderate significant relation was found in eccentric peak acceleration (t = 4.967, p < 0.001, d = 1.14) (Figure 3a). However, the E:C ratio for acceleration did not show significant changes (t = -1.42, p = 0.173, d = -0.326). In the NDL, moderate significant differences were observed in both concentric peak acceleration (t= 4.026, p < 0.001, d =0.9) and eccentric peak acceleration (t = 3.862, p = 0.001, d = 0.864) (Figure 3b). Conversely, the E:C ratio for acceleration showed a small negative significant differences (t = -2.218, p = 0.039, d = -0.496). Regarding asymmetry in acceleration, no significant differences were found in the concentric phase (t = 0.936, p = 0.362, d = 0.215). However, a small significant positive relation in eccentric acceleration asymmetry was observed (t = 2.325, p = 0.032, d = 0.533).
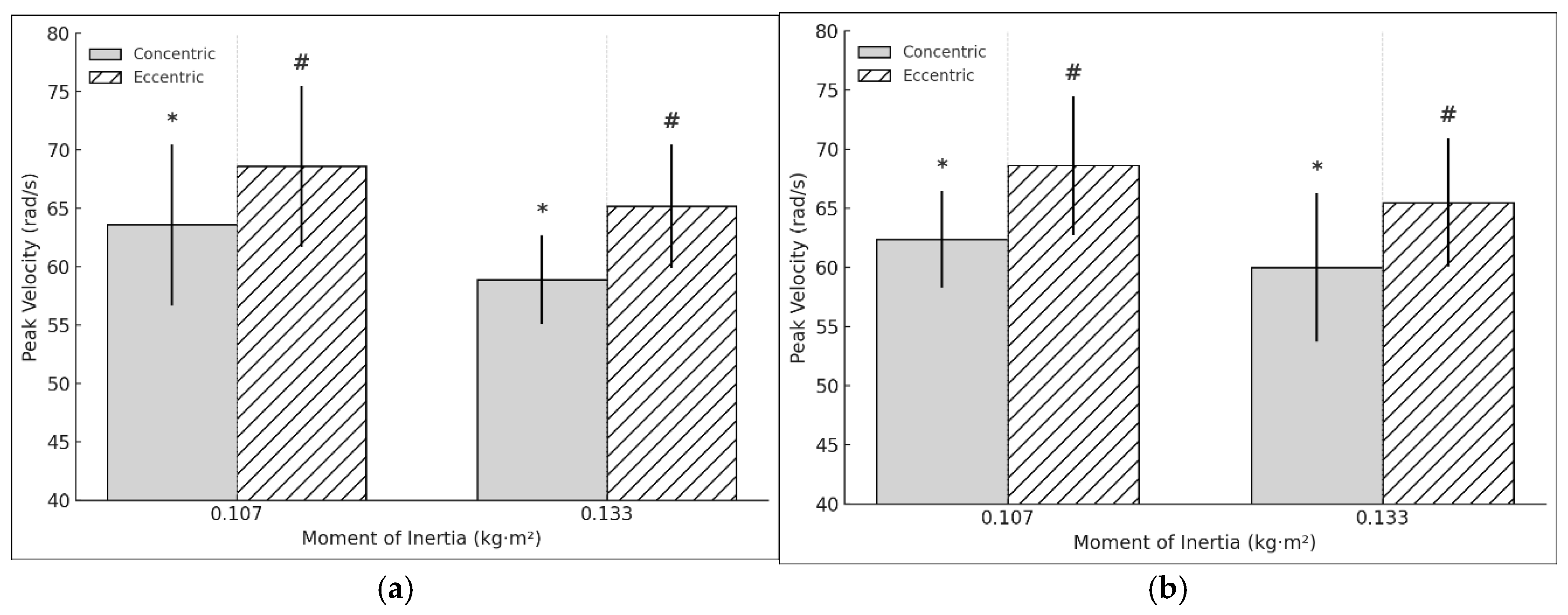
For the speed, a moderate significant relation in concentric peak speed was observed in the DL when performing the exercise at 0.133 kg·m², compared to 0.107 kg·m² (t = 3.493, p = 0.003, d = 0.81) (Figure 4a). Similarly, a moderate significant relation was found in eccentric peak speed (t = 3.73, p =0.002, d = 0.856) (Figure 4b). However, the E:C ratio for speed did not show significant changes (t = -1.694, p = 0.108, d = -0.389). In the NDL, moderate significant relation were observed in both concentric peak speed (t = 2.235, p = 0.0038, d = 0.513) and eccentric peak speed (t = 3,548, p = 0.002, d = 0.793). The E:C ratio for speed did not show significant differences (t = 0.635, p = 0.533, d = 0.142). Regarding asymmetry in speed, no significant differences were found in the concentric phase (t = 1.47, p = 0.159, d = 0.337) or the eccentric phase (t = 0.317, p = 0.755, d = 0.073).

3.2. Mean Mechanical Outputs Dominant and Non-Dominant Limb Comparisons with Different Moments of Inertia (0.107 kg·m² and 0.133 kg·m²)

Mean and standard deviation from all mean mechanicals outputs (power, angular acceleration and angular speed) with two moments of inertia (107 kg·m² and 0.133 kg·m²) are presented in Table 2.
Table 2. Flywheel cone-shape device unilateral hip extension mean ± SD from mean mechanical outputs.
Table 2. Flywheel cone-shape device unilateral hip extension mean ± SD from mean mechanical outputs.
Load (kg·m²)
Variable 0.107 0.133
Concentric Eccentric Concentric Eccentric
DL Power
(W)
155.8
(24.2)
173.8
(27.2)
153.9
(22.1)
173.8
(27.3)
NDL Power
(W)
149.7
(23.9)
172.1
(29.7)
149.7
(23.9)
172.1
(29.7)
DL Angular acceleration
(rad/s²)
57.4
(7.2)
70.9
(7.5)
57.4
(7.2)
70.9
(7.5)
NDL Angular acceleration
(rad/s²)
53.1
(4.9)
71.7
(8.1)
53.1
(4.9)
71.7
(8.1)
DL Angular Speed
(rad/s)
37.7
(2.6)
38.9
(3.1)
37.7
(2.6)
38.9
(3.1)
NDL Angular speed
(rad/s)
37.8
(2.7)
38.8
(3.4)
37.8
(2.7)
38.8
(3.4)
Dominant limb (DL); Non–dominant limb (NDL).
No significant differences were found in concetric (t = 0.672, p = 0.51, d = 0.154) or in eccentric average power (t = -0.556, p = 0.585, d = -0.128) for the DL, nor in the E:C ratio (t = -1.253, p = 0.226, d = -0.287). In the NDL, concentric (t = -1.237, p = 0.231, d = -0.277) and eccentric average power (t = -0.774, p = 0.448, d = -0.173) also showed no significant changes, with the E:C ratio remaing stable (t = 0.389, p = 0.701, d = 0.087). Similarly, asymmetry in average power was unaffected in both the concentric (t = 1.326, p = 0.202, d = 0.304) and eccentric phases (t = 0.004, p = 0.965, d = 0.01).
Concentric (t = 7.238, p < 0.001, d = 1.661) and eccentric average acceleration (t = 5.43, p < 0.001, d= 1.246) had large significant relation in the DL at 0.133 kg·m² (Figure 5a). However, the E:C ratio showed a very large negative significant relation (t = -18.344, p < 0.001, d = -4.208). In the NDL, concentric (t = 6.44, p < 0.001, d = 1.44) and eccentric acceleration (t = 8.6, p < 0.001, d = 1.923) also was found a large significant relation, while the E:C ratio remained unchanged (t = -1.787, p = 0.091, d = -0.41) (Figure 5b). No significant differences were found in asymmetry during the concentric (t = 1.864, p = 0.079, d = 0.428) or eccentric phase (t = 0.044, p = 0.965, d = 0.01).
Concentric (t = 9.861, p < 0.001, d = 2.262) and eccentric average speed (t = 4.464, p < 0.001, d = 1.024) had a very large and large significant relation in the DL at 0.133 kg·m², while the E:C ratio remained non-significant (t = -1886, p < 0.075, d = -0.433) (Figure 6a). In the NDL, concentric (t = 9.813, p < 0.001, d = 2.194) and eccentric average speed (t = 5.29, p < 0.001, d = 1.183) also had a large relation, though the E:C ratio showed a large significant relation(t = 5.684, p < 0.001, d = 1.271) (Figure 6b). No significant differences were found in asymmetry for either the concentric (t = 0.386, p = 0.704, d = 0.089) or eccentric phase (t = 0.349, p = 0.731, d = 0.08).

4. Discussion

The main objective of this study was to examine the effects of altering moments of inertia (0.107 kg·m² and 0.133 kg·m²) on peak and average power, acceleration, and speed during a hip extension exercise. Our findings reveal significant effects on both concentric and eccentric performance, but no significant differences in the eccentric-to-concentric ratio for power, acceleration, or speed between the two inertias. However, variations were observed in individual peak values.
Additionally, the study had aimed to investigate the relationship between the DL and NDL, emphasizing bilateral asymmetry acros different moments of inertia.
We found no significant differences in concentric peak power between the two external resistances in the DL (t = -2.0664, p = 0.054) and NDL (t = -0.07, p = 0.945), suggesting that both resistances elicit similar concentric power outputs. This contrasts with other studies that report increased peak power at higher moments of inertia [17,26]. Our findings suggest that, at least in this specific exercise, the effects of increasing external resistance may not always manifest significant differences in peak power, particularly for the concentric phase. However, eccentric peak power revealed a contrasting trend, with a very large significant relationship in the NDL (t = 17.647, p < 0.001, Cohen’s d = 3.952), highlighting that increased resistance significantly enhances eccentric power. This result aligns with previous findings indicating that higher moments of inertia lead to eccentric overload, further supporting the idea that eccentric power can be effectively enhanced by adjusting resistance [12,26]. This finding is consistent with the work of Piqueras-Sanchiz et al. [17], where eccentric overload was achieved with increased inertia in flywheel training, confirming the importance of eccentric training for strength development.
The acceleration results showed that both concentric and eccentric peak acceleration significantly increased with higher resistance in both the DL and NDL. Specifically, for the DL, concentric acceleration (t = 4.098, p < 0.001) and eccentric acceleration (t = 4.967, p < 0.001) both showed moderate increases with 0.133 kg·m². Similar results were found in the NDL (t = 4.026, p < 0.001 for concentric; t = 3.862, p = 0.001 for eccentric acceleration), suggesting that higher resistance enhances acceleration in both legs. These findings are consistent with Tous-Fajardo et al. [27], who observed greater neuromuscular activation and acceleration at higher inertia loads.
Interestingly, while E:C ratios for acceleration did not show significant changes in the DL (t = -1.42, p = 0.173) or NDL (t = -2.218, p = 0.039), the eccentric acceleration asymmetry in the NDL (t = 2.325, p = 0.0032) was significantly positive. This suggest that increasing the resistance may lead to slight asymmetry in acceleration between legs, particularly during the eccentric phase. This finding may be attributed to differences in neuromuscular adaptations between the DL and NDL, as previously discussed in the literature [15].
In terms of speed, both concentric and eccentric peak speed showed moderate significant relationships between resistances for both legs. Specially, for the DL, concentric speed (t = 3.493, p = 0.003) and eccentric speed (t = 3.73, p = 0.002) were significantly higher at 0.133 kg·m², confirming that increased external resistance can enhance speed during both the concentric and eccentric phases. These results are in agreement with Piqueras-Sanchiz et al. [17] and Muñoz-López et al. [12], who also reported that higher inertial loads improved speed performance during flywheel training. However, the E:C ratio for speed did not show significant changes in either the DL (t = -1.694, p = 0.108) or NDL (t=0.635, p = 0.533), indicating that while speed improves with higher resistance, the relationship between eccentric and concentric phases remains stable. This suggests that E:C ratios may not be the most reliable measure for assessing flywheel training intensity, as previous mentioned by Maroto-Izquierdo et al. [26].
For the asymmetry results, we found no significant differences in the concentric phase for either power (t = -1.257, p = 0.225), or speed (t = 1.47, p = 0.159) between limbs, suggesting that concentric performance remains symmetrical despite the increase in external resistance. However, significant differences were found in the eccentric phase, with a small positive correlation in the eccentric acceleration asymmetry (t = 2.325, p = 0.003) and eccentric peak speed asymmetry (t = 3.548, p = 0.002), indicating slight differences between the legs, particularly in the eccentric phase. These results align with studies suggesting that bilateral asymmetry may be more pronounced during eccentric movements due to the differences in motor unit recruitment and neuromuscular control between the legs [26].
Despite the valuable insights provided by this study, several limitations should be acknowledged: The study may have been conducted with a relatively small sample size, limiting the generalizability of the findings to a broader athletic or clinical population. Future research with larger and more diverse participant groups could help validate these results. Moreover, the study focused exclusively on hip extension exercises, which may limit the applicability of the findings to other lower-body movements, such as squats or lunges. Further studies should examine whether similar effects are observed in different exercises or movement patterns. Furthermore, participants may have had different baseline strength levels, which could have influenced their responses to varying moments of inertia. Although statistical methods were used to analyze the data, future research should consider pre-testing and normalizing resistance loads based on individual strength capacities. The study provides a snapshot of the effects of different inertial loads in a single session. Longitudinal studies are needed to determine how chronic adaptations occur over time with repeated exposure to different inertia levels in training programs. While acceleration, power, and speed were measured, direct neuromuscular activation (e.g., through electromyography) was not assessed. Incorporating EMG analysis could provide deeper insights into the underlying neuromuscular mechanisms driving performance differences. Participants’ familiarity with flywheel training was not explicitly controlled. If some individuals had more experience using flywheel devices, their ability to maximize performance may have differed from less-experienced participants. Future studies should ensure standardized familiarization periods before testing. Although differences between the DL and NDL leg were analyzed, the study did not assess potential biomechanical factors (e.g., limb length, joint angles) that might contribute to asymmetry. Future research should incorporate motion analysis to better understand the causes of these asymmetries. The study did not explicitly control for participants’ effort in generating eccentric overload. Since flywheel training relies on voluntary intent to decelerate, inter-individual differences in effort could have influenced eccentric power outcomes. Standardized coaching cues or real-time feedback mechanisms could help address this limitation in future studies. Addressing these limitations in future research could enhance the reliability and applicability of findings related to inertial training and its effects on power, acceleration, speed, and bilateral asymmetry.
The findings of this study suggest that manipulating moments of inertia during unilateral flywheel hip extension exercises offers a practical strategy for neuromuscular training management. Specifically, increasing the moment of inertia leads to significant reductions in acceleration and speed, which can be used to control the intensity and mechanical demands placed on athletes. Strength and conditioning coaches can leverage higher moments of inertia to target specific neuromuscular adaptations, such as enhancing eccentric strength while intentionally limiting movement velocity. These strategies may be particularly valuable for injury prevention programs, rehabilitation protocols, and individualized load monitoring in elite female football players, where managing eccentric strength and controlling asymmetries are critical for performance and long-term athlete health.
Finally, since the E:C ratio did not show significant changes with increased load, coaches and physiotherapists should consider other metrics, such as absolute eccentric power and acceleration, to assess and adjust the intensity of inertial training more accurately

5. Conclusions

This study demonstrates that increasing the moment of inertia during unilateral flywheel hip extension exercise significantly decreased peak and mean acceleration and velocity in both concentric and eccentric phases, for both DL and NDL. Additionally, eccentric peak power significantly increased only in the NDL, while concentric peak power and E:C ratio remained stable across conditions. These findings suggest that higher inertial loads may be a practical tool to control movement velocity and neuromuscular demands during training sessions, allowing strength and conditioning professionals to better align exercise intensity with specific performance goals. Although bilateral symmetry was largely preserved, small but significant asymmetries appeared in eccentric accelerations and speed, indicating the importance of individualized monitoring. Finally, absolute eccentric outputs may provide mire reliable markers for training regulation than E:C ratios in the context of unilateral flywheel training for elite female football players.
neuromuscular performance, and highlight areas for future research in flywheel exercises.

Author Contributions

Conceptualization, J.P., M.S. and A.B.; methodology, J.P.; validation, J.P.; formal analysis, J.P.; investigation, J.P.; resources, J.P.; data curation, J.P.; writing—original draft preparation, J.P., M.S. and A.B.; writing—review and editing, J.P., M.S. and A.B.; visualization, J.P.; supervision, M.S and A.B; All authors have read and agreed to the published version of the manuscript.

Funding

This research received no external funding.

Institutional Review Board Statement

The study was conducted in accordance with the Declaration of Helsinki, and approved by the Institutional Ethics Committee of University of Blanquerna-Ramon Llull (Barcelona, Spain) (05/2023).

Informed Consent Statement

Informed consent was obtained from all subjects involved in the study. Written informed consent has been obtained from the patients to publish this paper.

Data Availability Statement

The raw data supporting the results and conclusions of this article will be made available by the authors, without undue reservation.

Conflicts of Interest

The authors declare no conflicts of interest.

References

  1. Griffin, J.; Newans, T.; Horan, S.; Keogh, J.; Andreatta, M.; Minahan, C. Acceleration and High-Speed Running Profiles of Women’s International and Domestic Football Matches. Front. Sport. Act. Living 2021, 3, 1–9. [Google Scholar] [CrossRef] [PubMed]
  2. Trewin, J.; Meylan, C.; Varley, M.C.; Cronin, J.; Ling, D. Effect of Match Factors on the Running Performance of Elite Female Soccer Players. J. Strength Cond. Res. 2018, 32, 2002–2009. [Google Scholar] [CrossRef] [PubMed]
  3. Bishop, C.; Turner, A.; Maloney, S.; Lake, J.; Loturco, I.; Bromley, T.; Read, P. Drop Jump Asymmetry Is Associated with Reduced Sprint and Change-of-Direction Speed Performance in Adult Female Soccer Players. Sports 2019, 7, 29. [Google Scholar] [CrossRef] [PubMed]
  4. Bishop, C.; Read, P.; McCubbine, J.; Turner, A. Vertical and Horizontal Asymmetries Are Related to Slower Sprinting and Jump Performance in Elite Youth Female Soccer Players. J. Strength Cond. Res. 2018, 1. [Google Scholar] [CrossRef]
  5. Moreno-Azze, A.; Arjol-Serrano, J.L.; Falcón-Miguel, D.; Bishop, C.; Gonzalo-Skok, O. Effects of Three Different Combined Training Interventions on Jump, Change of Direction, Power Performance, and Inter-Limb Asymmetry in Male Youth Soccer Players. Sports 2021, 9. [Google Scholar] [CrossRef]
  6. Beato, M.; Dello Iacono, A. Implementing Flywheel (Isoinertial) Exercise in Strength Training: Current Evidence, Practical Recommendations, and Future Directions. Front. Physiol. 2020, 11, 1–6. [Google Scholar] [CrossRef]
  7. Suchomel, T.J.; Nimphius, S.; Bellon, C.R.; Stone, M.H. The Importance of Muscular Strength: Training Considerations. Sport. Med. 2018, 48, 765–785. [Google Scholar] [CrossRef]
  8. Norrbrand, L.; Pozzo, M.; Tesch, P.A. Flywheel Resistance Training Calls for Greater Eccentric Muscle Activation than Weight Training. Eur. J. Appl. Physiol. 2010, 110, 997–1005. [Google Scholar] [CrossRef]
  9. Suchomel, T.J.; Wagle, J.P.; Douglas, J.; Taber, C.B.; Harden, M.; Gregory Haff, G.; Stone, M.H. Implementing Eccentric Resistance Training—Part 1: A Brief Review of Existing Methods. J. Funct. Morphol. Kinesiol. 2019, 4. [Google Scholar] [CrossRef]
  10. Allen, W.J.C.; De Keijzer, K.L.; Raya-González, J.; Castillo, D.; Coratella, G.; Beato, M. Chronic Effects of Flywheel Training on Physical Capacities in Soccer Players: A Systematic Review. Res. Sport. Med. 2021, 31, 228–248. [Google Scholar] [CrossRef]
  11. Nuñez Sanchez, F.J.; De Villarreal, E.S. Does Flywheel Paradigm Training Improve Muscle Volume and Force? A Meta-Analysis. J. Strength Cond. Res. 2017, 31, 3177–3186. [Google Scholar] [CrossRef] [PubMed]
  12. Muñoz-López, A.; De Souza Fonseca, F.; Ramírez-Campillo, R.; Gantois, P.; Javier Nuñez, F.; Nakamura, F.Y. The Use of Real-Time Monitoring during Flywheel Resistance Training Programmes: How Can We Measure Eccentric Overload? A Systematic Review and Meta-Analysis. Biol. Sport 2021, 38, 639–652. [Google Scholar] [CrossRef]
  13. Sabido, R.; Hernández-Davó, J.L.; Pereyra-Gerber, G.T. Influence of Different Inertial Loads on Basic Training Variables during the Flywheel Squat Exercise. Int. J. Sports Physiol. Perform. 2018, 13, 482–489. [Google Scholar] [CrossRef]
  14. Muñoz-López, A.; Floría, P.; Sañudo, B.; Pecci, J.; Pérez, J.C.; Pozzo, M. The Maximum Flywheel Load: A Novel Index to Monitor Loading Intensity of Flywheel Devices. Sensors 2021, 21, 1–16. [Google Scholar] [CrossRef] [PubMed]
  15. Brien, J.O.; Browne, D.; Earls, D.; Lodge, C. The Effects of Varying Inertial Loadings on Power Variables in the Flywheel Romanian Deadlift Exercise. Biol. Sport 2021, 39, 499–503. [Google Scholar] [CrossRef]
  16. Martinez-Aranda, L.M.; Fernandez-Gonzalo, R. Effects of Inertial Setting on Power, Force, Work, and Eccentric Overload during Flywheel Resistance Exercise in Women and Men. J. Strength Cond. Res. 2017, 31, 1653–1661. [Google Scholar] [CrossRef]
  17. Piqueras-Sanchiz, F.; Sabido, R.; Raya-González, J.; Madruga-Parera, M.; Romero-Rodríguez, D.; Beato, M.; Hoyo, M. de; Nakamura, F.Y.; Hernández-Davó, J.L. Effects of Different Inertial Load Settings on Power Output Using a Flywheel Leg Curl Exercise and Its Inter-Session Reliability. J. Hum. Kinet. 2020, 74, 215–226. [Google Scholar] [CrossRef] [PubMed]
  18. Ono, T.; Okuwaki, T.; Fukubayashi, T. Differences in Activation Patterns of Knee Flexor Muscles during Concentric and Eccentric Exercises. Res. Sport. Med. 2010, 18, 188–198. [Google Scholar] [CrossRef]
  19. Presland, J.D.; Opar, D.A.; Williams, M.D.; Hickey, J.T.; Maniar, N.; Lee Dow, C.; Bourne, M.N.; Timmins, R.G. Hamstring Strength and Architectural Adaptations Following Inertial Flywheel Resistance Training. J. Sci. Med. Sport 2020, 23, 1093–1099. [Google Scholar] [CrossRef]
  20. de Keijzer, K.L.; Gonzalez, J.R.; Beato, M. The Effect of Flywheel Training on Strength and Physical Capacities in Sporting and Healthy Populations: An Umbrella Review. PLoS One 2022, 17, 1–18. [Google Scholar] [CrossRef]
  21. Beato, M.; Maroto-Izquierdo, S.; Turner, A.N.; Bishop, C. Implementing Strength Training Strategies for Injury Prevention in Soccer: Scientific Rationale and Methodological Recommendations. Int. J. Sports Physiol. Perform. 2020, 16, 456–461. [Google Scholar] [CrossRef] [PubMed]
  22. Nuñez, F.J.; de Hoyo, M.; Muñoz López, A.; Sañudo, B.; Otero-Esquina, C.; Sanchez, H.; Gonzalo-Skok, O. Nuñez J et Al. Eccentric-Concentric Ratio: A Key … Int J Sports Med Eccentric-Concentric Ratio: A Key Factor for Defining Strength Training in Soccer. Int J Sport. Med 2019. [Google Scholar]
  23. Cuschieri, S. The STROBE Guidelines. Saudi J. Anaesth. 2019, 13, S31–S34. [Google Scholar] [CrossRef] [PubMed]
  24. World Medical Association Declaration of Helsinki: Ethical Principles for Medical Research Involving Human Subjects. JAMA 2013, 310, 2191–2194. [CrossRef]
  25. Hopkins, W.G.; Marshall, S.W.; Batterham, A.M.; Hanin, J. Progressive Statistics for Studies in Sports Medicine and Exercise Science. Med. Sci. Sports Exerc. 2009, 41, 3–12. [Google Scholar] [CrossRef] [PubMed]
  26. Maroto-Izquierdo, S.; Raya-González, J.; Hernández-Davó, J.L.; Beato, M. Load Quantification and Testing Using Flywheel Devices in Sports. Front. Physiol. 2021, 12. [Google Scholar] [CrossRef]
  27. Tous-Fajardo, J.; Maldonado, R.A.; Quintana, J.M.; Pozzo, M.; Tesch, P.A. The Flywheel Leg-Curl Machine: Offering Eccentric Overload for Hamstring Development. Int. J. Sports Physiol. Perform. 2006, 1, 293–298. [Google Scholar] [CrossRef]
Figure 1. a. Initial position for the hip extension exercise using flywheel cone-shape device (90º hip flexion and knee semiflexion). Figure 1b. Final position for the hip extension exercise using flywheel cone-shape device (hip and knee at 0º).
Figure 1. a. Initial position for the hip extension exercise using flywheel cone-shape device (90º hip flexion and knee semiflexion). Figure 1b. Final position for the hip extension exercise using flywheel cone-shape device (hip and knee at 0º).
Preprints 159669 g001
Figure 3. a. DL concentric and eccentric peak acceleration during the hip extension exercise using a flywheel cone-shape device. *Statistically significant (p < 0.05) difference between moments of inertia for the concentric phase. #Statistically significant (p < 0.05) difference between moments of inertia for the concentric phase. Figure 3b. NDL concentric and eccentric peak acceleration during the hip extension exercise using a flywheel cone-shape device. *Statistically significant (p < 0.05) difference between moments of inertia for the concentric phase. #Statistically significant (p < 0.05) difference between moments of inertia for the concentric phase.
Figure 3. a. DL concentric and eccentric peak acceleration during the hip extension exercise using a flywheel cone-shape device. *Statistically significant (p < 0.05) difference between moments of inertia for the concentric phase. #Statistically significant (p < 0.05) difference between moments of inertia for the concentric phase. Figure 3b. NDL concentric and eccentric peak acceleration during the hip extension exercise using a flywheel cone-shape device. *Statistically significant (p < 0.05) difference between moments of inertia for the concentric phase. #Statistically significant (p < 0.05) difference between moments of inertia for the concentric phase.
Preprints 159669 g003
Figure 4. a. DL concentric and eccentric peak speed during the hip extension exercise using a flywheel cone-shape device. *Statistically significant (p < 0.05) difference between moments of inertia for the concentric phase. #Statistically significant (p < 0.05) difference between moments of inertia for the concentric phase. Figure 4b. NDL concentric and eccentric peak speed during the hip extension exercise using a flywheel cone-shape device. *Statistically significant (p < 0.05) difference between moments of inertia for the concentric phase. #Statistically significant (p < 0.05) difference between moments of inertia for the concentric phase.
Figure 4. a. DL concentric and eccentric peak speed during the hip extension exercise using a flywheel cone-shape device. *Statistically significant (p < 0.05) difference between moments of inertia for the concentric phase. #Statistically significant (p < 0.05) difference between moments of inertia for the concentric phase. Figure 4b. NDL concentric and eccentric peak speed during the hip extension exercise using a flywheel cone-shape device. *Statistically significant (p < 0.05) difference between moments of inertia for the concentric phase. #Statistically significant (p < 0.05) difference between moments of inertia for the concentric phase.
Preprints 159669 g004
Figure 5. a. DL concentric and eccentric mean acceleration during the hip extension exercise using a flywheel cone-shape device. *Statistically significant (p < 0.05) difference between moments of inertia for the concentric phase. #Statistically significant (p < 0.05) difference between moments of inertia for the concentric phase. Figure 5b. NDL limb concentric and eccentric mean acceleration during the hip extension exercise using a flywheel cone-shape device. *Statistically significant (p < 0.05) difference between moments of inertia for the concentric phase. #Statistically significant (p < 0.05) difference between moments of inertia for the concentric phase.
Figure 5. a. DL concentric and eccentric mean acceleration during the hip extension exercise using a flywheel cone-shape device. *Statistically significant (p < 0.05) difference between moments of inertia for the concentric phase. #Statistically significant (p < 0.05) difference between moments of inertia for the concentric phase. Figure 5b. NDL limb concentric and eccentric mean acceleration during the hip extension exercise using a flywheel cone-shape device. *Statistically significant (p < 0.05) difference between moments of inertia for the concentric phase. #Statistically significant (p < 0.05) difference between moments of inertia for the concentric phase.
Preprints 159669 g005
Figure 6. a. DL concentric and eccentric mean velocity during the hip extension exercise using a flywheel cone-shape device. *Statistically significant (p < 0.05) difference between moments of inertia for the concentric phase. #Statistically significant (p < 0.05) difference between moments of inertia for the concentric phase. Figure 6b. NDL concentric and eccentric mean velocity during the hip extension exercise using a flywheel cone-shape device. *Statistically significant (p < 0.05) difference between moments of inertia for the concentric phase. #Statistically significant (p < 0.05) difference between moments of inertia for the concentric phase.
Figure 6. a. DL concentric and eccentric mean velocity during the hip extension exercise using a flywheel cone-shape device. *Statistically significant (p < 0.05) difference between moments of inertia for the concentric phase. #Statistically significant (p < 0.05) difference between moments of inertia for the concentric phase. Figure 6b. NDL concentric and eccentric mean velocity during the hip extension exercise using a flywheel cone-shape device. *Statistically significant (p < 0.05) difference between moments of inertia for the concentric phase. #Statistically significant (p < 0.05) difference between moments of inertia for the concentric phase.
Preprints 159669 g006
Table 1. Demographic characteristics of the participants.
Table 1. Demographic characteristics of the participants.
Variables Mean ± SD
Age (years) 27 ± 4
Weight (kg) 59.9 ± 6.5
Heigh (cm) 168.2 ± 6.3
IMC 21.2 ± 1.8
Table 2. Inclusion criteria.
Table 2. Inclusion criteria.
Inclusion criteria
1. Minimum of 6 month of engagement in weekly resistance training programs focusing on lower body muscles.
2. regular participation in five pitch training sessions per week.
3. Free of lower body muscle or neuronal injury within the preceding 6 months.
4. Free of drugs or any medication that could vary the results during the testing session.
Disclaimer/Publisher’s Note: The statements, opinions and data contained in all publications are solely those of the individual author(s) and contributor(s) and not of MDPI and/or the editor(s). MDPI and/or the editor(s) disclaim responsibility for any injury to people or property resulting from any ideas, methods, instructions or products referred to in the content.
Copyright: This open access article is published under a Creative Commons CC BY 4.0 license, which permit the free download, distribution, and reuse, provided that the author and preprint are cited in any reuse.
Prerpints.org logo

Preprints.org is a free preprint server supported by MDPI in Basel, Switzerland.

Subscribe

Disclaimer

Terms of Use

Privacy Policy

Privacy Settings

© 2026 MDPI (Basel, Switzerland) unless otherwise stated