Submitted:
13 May 2025
Posted:
14 May 2025
Read the latest preprint version here
Abstract

Keywords:
1. Introduction
2. Derivation of New Expression for Multicomponent Systems with Composition Dependent Partial Molar Volumes
2.1. Frame of Reference
2.2. Component Velocities and Fluxes at the Terminal Ends of a Diffusion Couples
2.3. Interdiffusion Flux in Number Fixed Frame in Terms of Molar Concentrations
2.4. Interdiffusion Flux in Volume Fixed Frame in Terms of Molar Concentrations
2.5. Interdiffusion Fluxes ( and ) in Terms of Relative Concentration Variables
2.6. Interdiffusion Fluxes for Binary Systems
2.7. Case of Constant Partial Molar Volumes
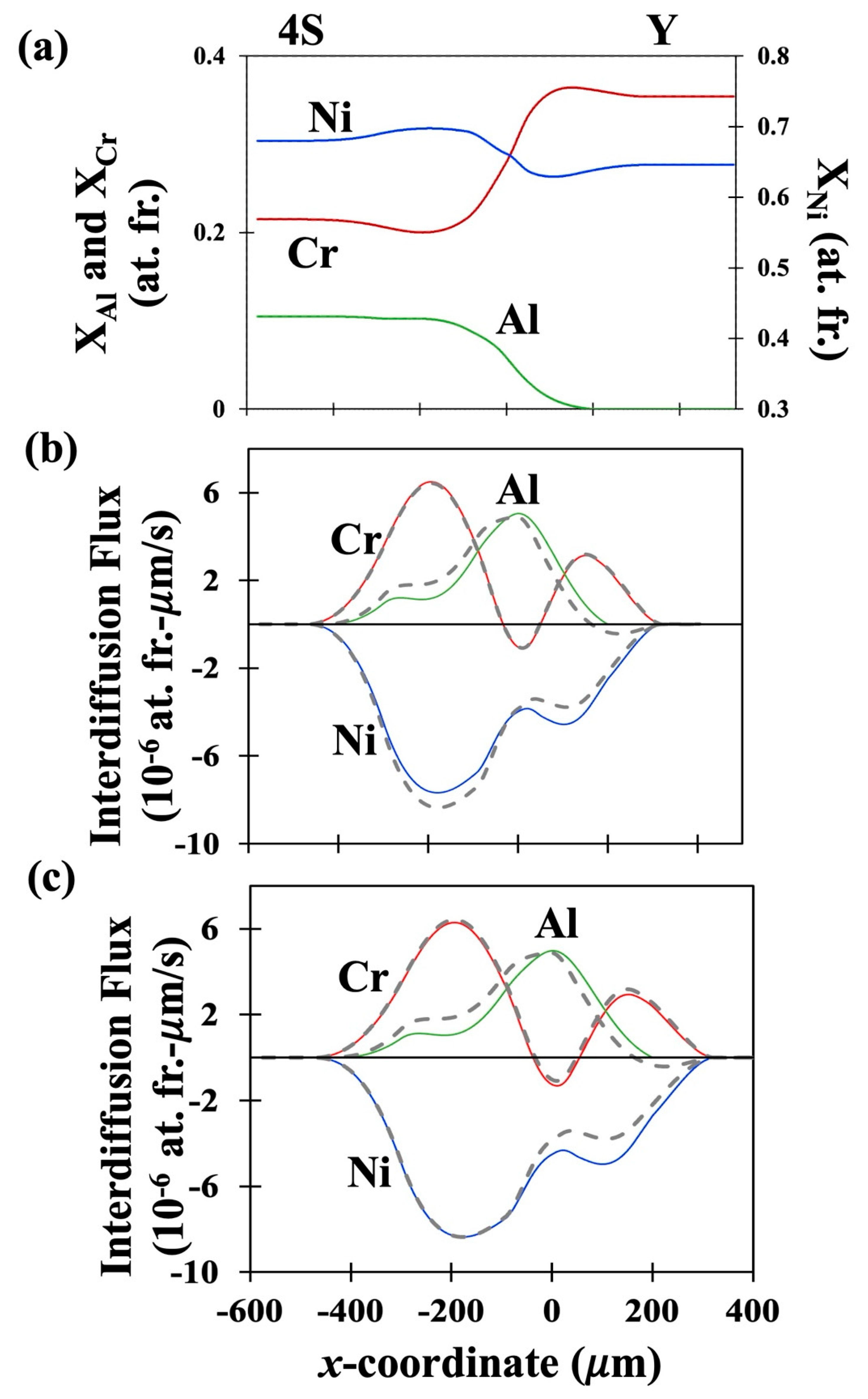
3. Application of New Equations to Determination of Interdiffusion Fluxes in Ni-Cr-Al Diffusion Couples

4. Discussion
5. Conclusions
Supplementary Materials
Acknowledgement
References
- L. S. Darken; “Diffusion, Mobility and Their Interrelation through Free Energy in Binary Metallic Systems”; Transactions of AIME; Vol. 175; 1948; pp. 184-201.
- L. S. Darken; “Formal Basis of Diffusion Theory” in Atom Movements; ASM, Cleveland, Ohio; 1951; pp. 1-25.
- J. S. Kirkaldy, J. E. Lane and G. R. Meson; “Diffusion in Multicomponent Metallic Systems VII. Solutions of the Multicomponent Diffusion Equations with Variable Coefficients”; Canadian Journal of Physics; Vol. 41; 1963; pp. 2174-2186.
- J. S. Kirkaldy and J. E. Lane; “Diffusion in Multicomponent Metallic Systems IX. Intrinsic Diffusion Behavior and Kirkendall Effect in Ternary Substitutional Solutions”; Canadian Journal of Physics; Vol. 44; 1966; pp. 2059-2072.
- P. T. Carlson, M. A. Dayananda and R. E. Grace; “Diffusion in Ternary Ag-Zn-Cd Solid Solutions”; Metallurgical Transactions; Vol. 3; 1972; pp. 819-826.
- T. D. Moyer and M. A. Dayananda; “Diffusion in β2 Fe-Ni-Al Alloys”; Metallurgical Transactions A; Vol. 7A; 1976; pp. 1035-1040.
- M. A. Dayananda and C. W. Kim; “Zero Flux Planes and Flux Reversals in Cu-Ni-Zn Diffusion Couples”; Metallurgical Transactions A; Vol. 10A; 1979; pp. 1333-1339.
- J. A. Nesbitt and R. W. Heckel; “Interdiffusion in Ni-Rich Ni-Cr-Al Alloys at 1100 and 1200 °C: Part I. Diffusion Paths and Microstructures”; Metallurgical Transactions A; Vol. 18A; 1987; pp. 2061-2073.
- J. A. Nesbitt and R. W. Heckel; “Interdiffusion in Ni-Rich Ni-Cr-Al Alloys at 1100 and 1200 °C: Part II. Diffusion Coefficients and Predicted Concentration Profiles”; Metallurgical Transactions A; Vol. 18A; 1987; pp. 2075-2086.
- R. Bouchet and R. Mevrel; “A Numerical Inverse Method for Calculating the Interdiffusion Coefficients Along a Diffusion Path in Ternary Systems”; Acta Materialia; Vol. 50; 2002; pp. 4887-4900.
- M. S. A. Karunaratne and R. C. Reed; “Interdiffusion of the Platinum Group Metals in Nickel at Elevated Temperatures”; Acta Materialia; Vol. 51; 2003; pp. 2905-2919.
- L. R. Ram-Mohan and M. A. Dayananda; “A Transfer Matrix Method for the Calculation of Concentrations and Fluxes in Multicomponent Diffusion Couples”; Acta Materialia; Vol. 54; 2006; pp. 2325-2334.
- M. A. Dayananda; “A Direct Derivation of Fick’s Law from Continuity Equation for Interdiffusion in Multicomponent Systems”; Scripta Materialia; Vol. 210; 2022; pp. 114430.
- V. Verma, A. Tripathi, T. Venkateswaran, K. N. Kulkarni; “First Report on Entire Sets of Experimentally Determined Interdiffusion Coefficients in Quaternary and Quinary High-Entropy Alloys”; Journal of Materials Research; Vol. 35 (2); 2020; pp. 162-171.
- Vivek Verma and Kaustubh N. Kulkarni; “Square Root Diffusivity Analysis of Body-Diagonal Diffusion Couples in FeNiCoCr quaternary and FeNiCoCrMn quinary systems”; Journal of Phase Equilibria and Diffusion; 43 (6); 2022; pp. 903-915.
- G. P. S. Chauhan and Kaustubh N. Kulkarni; “Investigations of Ternary Interdiffusion in β-(BCC) Phase Field of Ti-Al-Mo System”; Metallurgical and Materials Transactions A; Vol. 52A; 2021; pp. 413-425.
- Kaustubh N. Kulkarni; “Derivation of expressions for interdiffusion and intrinsic diffusion flux in presence of chemical potential gradient in a multicomponent system with composition dependent molar volume”; Oxford Open Materials Science; 3 (1); 2023; itad018.
- Kaustubh N. Kulkarni; “Velocity of Volume Fixed Frame and Its Application in Simulating Concentration Profiles in Multicomponent Diffusion”; Journal of Phase Equilibria and Diffusion; 45 (4); 2024; pp. 757-763.
- L. Boltzmann; “Zur Integration der Diffusionsgleichung bei variable Diffusionscoefficienten”; Annual Review of Physical Chemistry; Vol. 53; 1894; pp. 959-964.
- C. Matano; “On the Relation between Diffusion-Coefficients and Concentrations of Solid Metals (The Nickel-Copper System)”; Japanese Journal of Physics; Vol. 8; 1935; pp. 109-113.
- F. Sauer and V. Freise; “Diffusion in binären Gemischen mit Volumenänderung”; Vol. 66 (4); 1962; pp. 353-362.
- C. Wagner; “The Evaluation of Data Obtained with Diffusion Couples for Binary Single-Phase and Multiphase Systems”; Acta Metallurgica; Vol. 17; 1969; pp. 99-107.
- F. J. A. den Broeder; “A General Simplification and Improvement of the Matano-Boltzmann Method in the Determination of the Interdiffusion Coefficients in Binary Systems“; Scripta Materialia; Vol. 3; 1969; pp. 321-326.
- R. Balluffi; “On the Determination of Diffusion Coefficients in Chemical Diffusion”; Acta Metallurgica; Vol. 8; 1960 pp. 871–873.
- A.G. Guy, R.T. DeHoff, and C. Smith; “Calculation of Interdiffusion Coefficients Considering Variations in Atomic Volume”; ASM Transactions Quarterly; Vol. 61; 1968; pp. 314–20.
- M. Danielewski and H. Leszczynski; “Generalization of Matano’s Method: Interdiffusion in Solutions with Volume Change”; International Journal of Mathematical Analysis; Vol. 9 (30); 2015; pp. 1463–1476.
- A. Tripathi and K. N. Kulkarni; “Effect of Varying Molar Volume on Interdiffusion Analysis in a Binary System”; Metallurgical and Materials Transactions A; Vol. 52A; 2021; pp. 3489-3502.
- G. W. Roper and D. P. Whittle; “Interdiffusion in Ternary Co-Cr-Al Alloys”; Metal Science; Vol. 14 (1); 1980; pp. 21-28.
- J. R. Manning; “Cross Terms in the Thermodynamic Diffusion Equations for Multicomponent Alloys”; Metallurgical Transactions; Vol. 1; 1970; pp. 499-505.
- A. Paul; “Effect of Molar Volume of Diffusing Elements and Cross Terms of Onsager Formalism (Vacancy Wind Effect) on Estimated Diffusion Coefficients in Ternary and Multicomponent Solid Solutions”; Materialia; Vol. 40; 2025; 102400. [CrossRef]
- M. A. Dayananda; “An analysis of Concentration Profiles for Fluxes, Diffusion Depths, and Zero Flux Planes in Multicomponent Systems”; Metallurgical Transactions A; Vol. 14A; 1983; pp. 1851-1858.
- M. A. Dayananda and D. A. Behnke; “Effective Interdiffusion Coefficients and Penetration Depths”; Scripta Materialia; Vol. 25; 1991; pp. 2187-2191.
- M. A. Dayananda; “Average Effective Interdiffusion Coefficients and the Matano Plane Composition”; Metallurgical and Materials Transactions A; Vol. 27A; 1996; pp. 2504-2509.
- M. A. Dayananda; “Determination of Eigenvalues, Eignevectors, and Interdiffusion Coefficients in Ternary Diffusion From Diffusional Constraints at the Matano Plane”; Acta Materialia; Vol. 129; 2017; pp. 474-481.
- J.G. Kirkwood, R.L. Baldwin, P.J. Dunlop, L.J. Gosting, and G.Kegeles; “Flow Equations and Frames of Reference for Isothermal Diffusion in Liquids”; Journal of Chemical Physics; Vol. 33 (5); 1960; pp. 1505–1513.
- J. Brady; “Reference Frames and Diffusion Coefficients”; American Journal of Science; Vol. 275; 1975; pp. 954–983.
- J. Philibert; “Atom movements- Diffusion and mass transport in solids”; Les Editions de Physique, France; 1991, pp. 233-241.
- K. N. Kulkarni, B. Samantaray, and S. K. Nayak; “”; Metallurgical and Materials Transactions A; Vol. 55A; 2024; pp. 4882-4898.
- A. Taylor and R. W. Floyd; “The Constitution of Nickel-Rich Alloys in the Nickel-Chromium-Aluminum System”; Journal of the Institute of Metals; Vol. 81; 1953; pp. 451-464.
- W. B. Pearson; “A Handbook of Lattice Spacings and Structures of Metals and Alloys”; International Series of Monographs on Metal Physics and Physical Metallurgy, Volume 4; ed. G. V. Raynor; Pergamon Press; 1964; pp. 324-326.
- K. M. Day, L. R. Ram-Mohan and M. A. Dayananda; “Determination and Assessment of Interdiffusion Coefficients from Individual Diffusion Couples”; Journal of Phase Equilibria and Diffusion; Vol. 26; 2005; pp. 579-590.



| Couple Designation | Terminal Alloys Composition (at%) as per [9] | Diffusion Annealing Temperature (°C) | Diffusion Annealing Time (hours) | ||||||
| Present Work | As per [9] | Left Terminal | Right Terminal | ||||||
| Ni | Cr | Al | Ni | Cr | Al | ||||
| DC-1 | 7S/1S | 86.9 | 7.7 | 5.4 | 57.9 | 35.9 | 6.2 | 1200 | 100 |
| DC-2 | B12/W | 88.8 | 0 | 11.2 | 88 | 12 | 0 | 1100 | 100 |
| DC-3 | 4S/Y | 70.1 | 18.6 | 11.3 | 64.8 | 35.2 | 0 | 1100 | 100 |
Disclaimer/Publisher’s Note: The statements, opinions and data contained in all publications are solely those of the individual author(s) and contributor(s) and not of MDPI and/or the editor(s). MDPI and/or the editor(s) disclaim responsibility for any injury to people or property resulting from any ideas, methods, instructions or products referred to in the content. |
© 2025 by the author. Licensee MDPI, Basel, Switzerland. This article is an open access article distributed under the terms and conditions of the Creative Commons Attribution (CC BY) license (https://creativecommons.org/licenses/by/4.0/).