Submitted:
13 May 2025
Posted:
14 May 2025
You are already at the latest version
Abstract

Keywords:
1. Introduction
2. Results
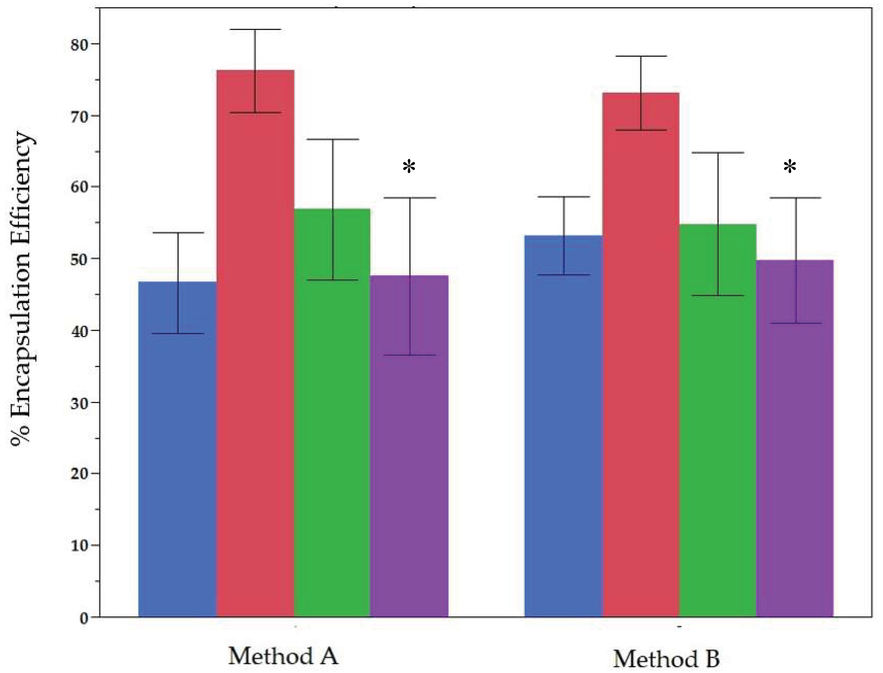
2.1. Comparative Analysis of the Two Methods of Encapsulation

2.2. Comparative Analysis of the Two Formulations Used for Encapsulation
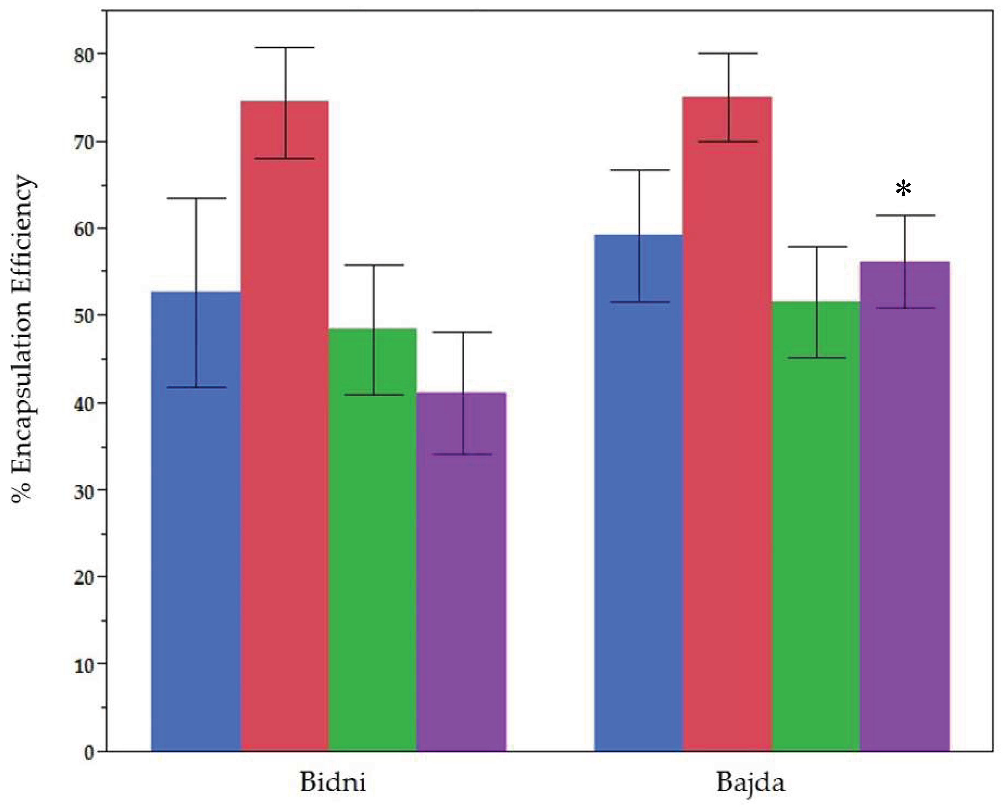
2.3. Comparative Analysis of Encapulsation Effiencies for Two Different Cultivars
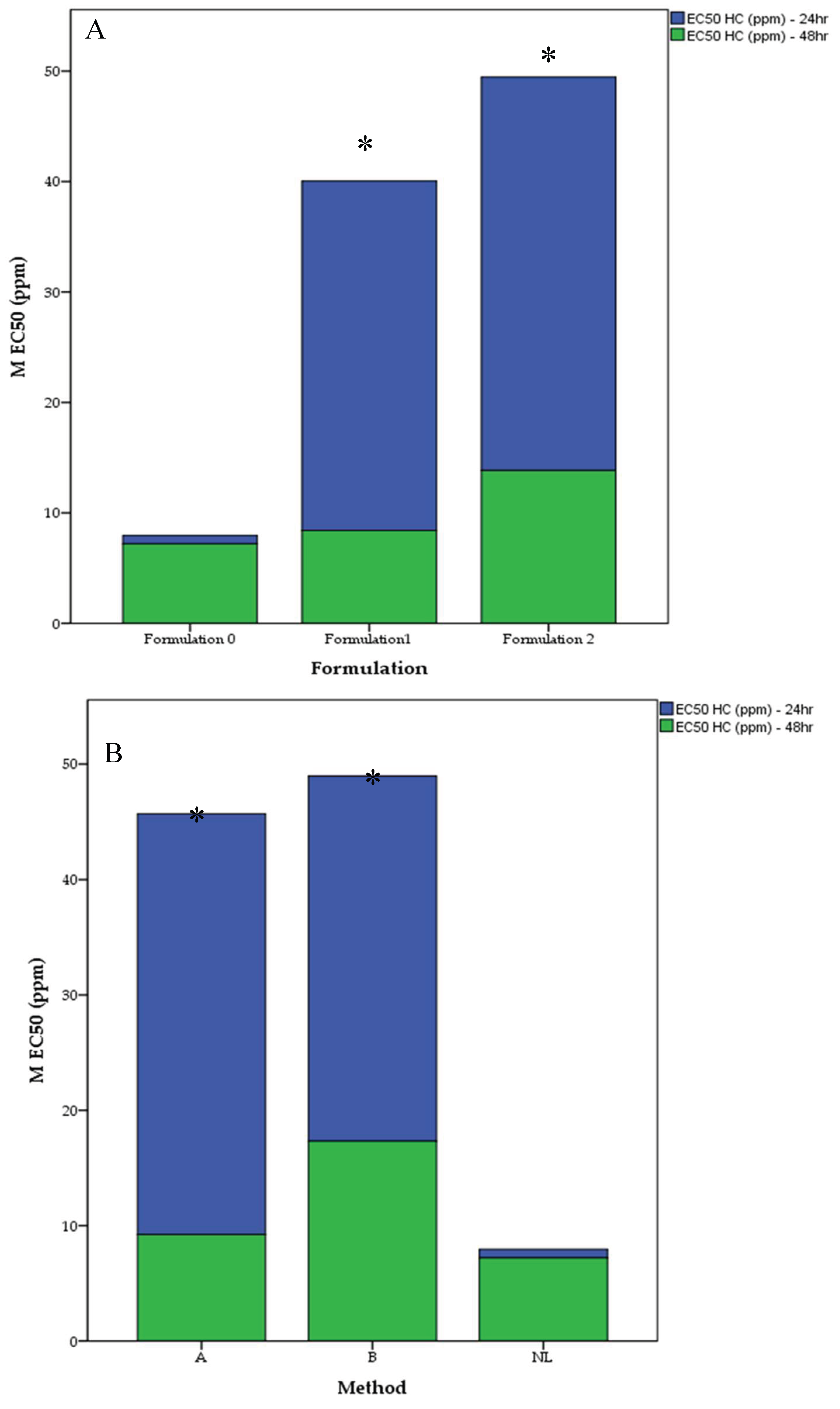
2.4. Cytotoxicity (IC50) After 48 Hours with Respect to Method, Formulation and Cultivar

3. Discussion
4. Materials and Methods
4.1. Preparation of Olive Mill Waste Extracts
4.2. Liposomal Encapsulation of OMW Extracts
4.3. Determination of Encapsulation Efficiency
4.4. Determination of Total Phenolic Content
4.5. Determination of Total Flavonoid Content
4.6. Determination of Total Ortho-Diphenolic Content
4.7. Determination of CUPRAC
4.8. Cell Culture Seeding
4.9. Cytotoxicity Testing
5. Conclusions
Supplementary Materials
Author Contributions
Conflicts of Interest
Abbreviations
| TPC | Total Phenolic Content |
| TFC | Total Flavonoid Content |
| TdOPC | Total Ortho-Diphenolic Content |
| CUPRAC | Cupric Reducing Antioxidant Capacity |
| PC | Phosphatidylcholine |
| Chol | Cholesterol |
| PBS | Phosphate-Buffered Saline |
| EE% | Encapsulation Efficiency Percentage |
| OMW | Olive Mill Waste |
| OMWW | Olive Mill Waste Water |
| MTT | 3-(4,5-dimethylthiazol-2-yl)-2,5-diphenyltetrazolium bromide (used in cytotoxicity assays) |
| IC50 | Half Maximal Inhibitory Concentration |
| DMSO | Dimethyl Sulfoxide |
| HL-60 | Human Leukemia Cell Line |
| LOQ | Limit of Quantification |
| LOD | Limit of Detection |
| TPSA | Topological Polar Surface Area |
| XLogP | Partition Coefficient (Lipophilicity Measure) |
References
- Passeri, V., Sammut, C., Mifsud, D., Domesi, A., Stanzione, V., Bladoni, L., Mousavi, S., Mariotti, R., Pandolfi, S., Cinosi, N., Famiani, F. and Bufacchi, M. (2023) ‘The Ancient Olive Trees (Olea europaea L.) of the Maltese Islands: A Rich and Unexplored Patrimony to Enhance Oliviculture’, Plants, 12(10). [CrossRef]
- Mazzitelli, O., Calleja, A., Sadella, S., Farrugia, C. and Zammit-Mangion, M. (2015) ‘Analysis of the molecular diversity of Olea europaea in the Mediterranean Island of Malta’, Genetic Resources and Crop Evolution. [CrossRef]
- Lavee, S. (1986). Olive. In S. P. Monselise (Ed.), Handbook of fruit set and development (pp. 261–274). Boca Raton, FL, CRC Press.
- Roig, A., Cayuela, M.L. and Sánchez-Monedero, M.A. (2006) ‘An overview on olive mill wastes and their valorisation methods’, Waste Management, 26(9), pp. 960–969. [CrossRef]
- Lia, F. and Attard, K. (2024) ‘Bioactive Potential of Olive Mill Waste Obtained from Cultivars Grown in the Island of Malta.’, Foods (Basel, Switzerland). Switzerland, 13(8). [CrossRef]
- Jantan, I., Haque, Md.A., Arshad, L., Harikrishnan, H., Septama, A.W. and Mohamed-Hussein, Z.-A. (2021) ‘Dietary polyphenols suppress chronic inflammation by modulation of multiple inflammation-associated cell signaling pathways’, The Journal of Nutritional Biochemistry, 93, p. 108634. [CrossRef]
- Hormozi, M., Salehi Marzijerani, A. and Baharvand, P. (2020) ‘Effects of Hydroxytyrosol on Expression of Apoptotic Genes and Activity of Antioxidant Enzymes in LS180 Cells.’, Cancer management and research, 12, pp. 7913–7919. [CrossRef]
- Bisignano, G., Tomaino, A., Lo Cascio, R., Crisafi, G., Uccella, N. and Saija, A. (1999) ‘On the in-vitro antimicrobial activity of oleuropein and hydroxytyrosol.’, The Journal of pharmacy and pharmacology, 51(8), pp. 971–974. [CrossRef]
- Yoon, J.H., Kim, M.-Y. and Cho, J.Y. (2023) ‘Apigenin: A Therapeutic Agent for Treatment of Skin Inflammatory Diseases and Cancer.’, International journal of molecular sciences, 24(2). [CrossRef]
- Pérez de la Lastra, J.M., Curieses Andrés, C.M., Andrés Juan, C., Plou, F.J. and Pérez-Lebeña, E. (2023) ‘Hydroxytyrosol and Arginine as Antioxidant, Anti-Inflammatory and Immunostimulant Dietary Supplements for COVID-19 and Long COVID’, Foods, 12(10). [CrossRef]
- Guzowski, C., Murawska, J., Michalska, M., Winiarek, K., Czernicka, A. and Kędziora-Kornatowska, K. (2024) ‘Tyrosol and Hydroxytyrosol: Their Role in Cardioprotection’, Journal of Education, Health and Sport, 63, pp. 40–54. [CrossRef]
- Sun, W., Frost, B. and Liu, J. (2017) ‘Oleuropein, unexpected benefits!’, Oncotarget, 8(11), p. 17409. [CrossRef]
- Chen, C., Ai, Q. and Wei, Y. (2021) ‘Potential role of hydroxytyrosol in neuroprotection’, Journal of Functional Foods, 82, p. 104506. [CrossRef]
- Akbarzadeh, A., Rezaei-Sadabady, R., Davaran, S., Joo, S. W., Zarghami, N., Hanifehpour, Y., Samiei, M., Kouhi, M. and Nejati-Koshki, K. (2013) ‘Liposome: classification, preparation, and applications’, Nanoscale research letters. Springer, 8(1), pp. 102–102. [CrossRef]
- Alavi, M., Karimi, N. and Safaei, M. (2017) ‘Application of Various Types of Liposomes in Drug Delivery Systems.’, Advanced pharmaceutical bulletin, 7(1), pp. 3–9. [CrossRef]
- Malekar, S.A., Sarode, A.L., Bach, A.C. 2nd and Worthen, D.R. (2016) ‘The Localization of Phenolic Compounds in Liposomal Bilayers and Their Effects on Surface Characteristics and Colloidal Stability.’, AAPS PharmSciTech, 17(6), pp. 1468–1476. [CrossRef]
- Rafiee, Z., Barzegar, M., Sahari, M.A. and Maherani, B. (2018) ‘Nanoliposomes Containing Pistachio Green Hull’s Phenolic Compounds as Natural Bio-Preservatives for Mayonnaise’, European Journal of Lipid Science and Technology, 120. [CrossRef]
- Gibis, M., Vogt, E. and Weiss, J. (2012) ‘Encapsulation of polyphenolic grape seed extract in polymer-coated liposomes.’, Food & function, 3 3, pp. 246–54. [CrossRef]
- Santonocito, D., Sarpietro, M.G., Carbone, C., Panico, A., Campisi, A., Siciliano, E.A., Sposito, G., Castelli, F. and Puglia, C. (2020) ‘Curcumin Containing PEGylated Solid Lipid Nanoparticles for Systemic Administration: A Preliminary Study’, Molecules, 25(13). [CrossRef]
- Prevete, G., Carvalho, L.G., Razola-Díaz, M. del C., Verardo, V., Mancini, G., Fiore, A. and Mazzonna, M. (2024) ‘Ultrasound assisted extraction and liposome encapsulation of olive leaves and orange peels: How to transform biomass waste into valuable resources with antimicrobial activity’, Ultrasonics Sonochemistry, 102. [CrossRef]
- Chanioti, S., Katsouli, M. and Tzia, C. (2021) ‘Novel Processes for the Extraction of Phenolic Compounds from Olive Pomace and Their Protection by Encapsulation’, Molecules, 26. [CrossRef]
- Piacentini, E., Poerio, T., Bazzarelli, F. and Giorno, L. (2016) ‘Microencapsulation by Membrane Emulsification of Biophenols Recovered from Olive Mill Wastewaters.’, Membranes, 6(2). [CrossRef]
- Zhao, X. B., Muthusamy, N., Byrd, J. C. and Lee, R. J. (2007) ‘Cholesterol as a bilayer anchor for PEGylation and targeting ligand in folate-receptor-targeted liposomes.’, Journal of pharmaceutical sciences. United States, 96(9), pp. 2424–2435. [CrossRef]
- Efimova, A. A., Kostenko, S. N., Orlov, V. N. and Yaroslavov, A. A. (2016) ‘Effect of cholesterol on the phase state and permeability of mixed liposomes composed of anionic diphosphatidylglycerol and zwitterionic dipalmitoylphosphatidylcholine’, Mendeleev Communications, 26(2), pp. 99–100. [CrossRef]
- Cagdas, F. M., Ertugral, N., Bucak, S. and Atay, N. Z. (2011) ‘Effect of preparation method and cholesterol on drug encapsulation studies by phospholipid liposomes.’, Pharmaceutical development and technology. England, 16(4), pp. 408–414. [CrossRef]
- Hudiyanti, D., Aminah, S., Hikmahwati, Y. and Siahaan, P. (2019) ‘Cholesterol implications on coconut liposomes encapsulation of beta-carotene and vitamin C’, IOP. [CrossRef]
- Paredes, C., Cegarra, J., Roig, A., Sánchez-Monedero, M. A. and Bernal, M. P. (1999) ‘Characterization of olive mill wastewater (alpechin) and its sludge for agricultural purposes’, Bioresource Technology, 67(2), pp. 111–115. [CrossRef]
- Chan, Y.-H., Chen, B.-H., Chiu, C.P. and Lu, Y.-F. (2004) ‘The influence of phytosterols on the encapsulation efficiency of cholesterol liposomes’, International Journal of Food Science and Technology, 39, pp. 985–995. [CrossRef]
- Gulati, M., Grover, M., Singh, M.P. and Singh, S. (1998) ‘Study of azathioprine encapsulation into liposomes.’, Journal of microencapsulation, 15 4, pp. 485–94. [CrossRef]
- Lombardo, D. and Kiselev, M. A. (2022) ‘Methods of Liposomes Preparation: Formation and Control Factors of Versatile Nanocarriers for Biomedical and Nanomedicine Application’, Pharmaceutics, 14(3). [CrossRef]
- Carneiro, A. and Santana, M. H. (2004) ‘Production of liposomes in a multitubular system useful for scaling up of processes’, in Progress in Colloid and Polymer Science, pp. 273–277. [CrossRef]
- Kim, S., Chen, J., Cheng, T., Gindulyte, A., He, J., He, S., Li, Q., Shoemaker, B. A., Thiessen, P. A., Yu, B., Zaslavsky, L., Zhang, J., & Bolton, E. E. (2025). PubChem 2025 update. Nucleic Acids Res., 53(D1), D1516–D1525. [CrossRef]
- Hızır-Kadı, İ., Gültekin-Özgüven, M., Altin, G., Demircan, E. and Özçelik, B. (2020) ‘Liposomal nanodelivery systems generated from proliposomes for pollen extract with improved solubility and in vitro bioaccessibility’, Heliyon, 6(9). [CrossRef]
- Bf, H., Majdizadeh, M. and Taebpour, M. (2021) ‘Fabrication and Characterization of Liposomal Nanoparticles Containing Hydroalcoholic Extract of Artemisia Absinthiumand Its Toxicity against MCF-7 Breast Cancer Cell Line’, Iranian Journal of Breast Disease, 14, pp. 64–77. [CrossRef]
- Keshavarz, F., Dorfaki, M., Bardania, H., Khosravani, F., Nazari, P. and Ghalamfarsa, G. (2023) ‘Quercetin-loaded Liposomes Effectively Induced Apoptosis and Decreased the Epidermal Growth Factor Receptor Expression in Colorectal Cancer Cells: An In Vitro Study.’, Iranian journal of medical sciences. Iran, 48(3), pp. 321–328. [CrossRef]
- Gholamian, R., Nikoonahad, N. and Haghiralssadat, B. (2020) ‘Evaluation of Antioxidant and Cytotoxic Effects of Liposomes Containing Pineapple Fruit Extract on Melanoma Skin Cancer (A375 Cell Line)’, Journal of Shahid Sadoughi University of Medical Sciences, 28. [CrossRef]
- Calvagno, M. G., Celia, C., Paolino, D., Cosco, D., Iannone, M., Castelli, F., Doldo, P. and Frest, M. (2007) Effects of lipid composition and preparation conditions on physical-chemical properties, technological parameters and in vitro biological activity of gemcitabine-loaded liposomes.’, Current drug delivery. United Arab Emirates, 4(1), pp. 89–101. [CrossRef]
- Pereira, S., Egbu, R., Jannati, G. and Al-Jamal, W. T. (2016) ‘Docetaxel-loaded liposomes: The effect of lipid composition and purification on drug encapsulation and in vitro toxicity.’, International journal of pharmaceutics. Netherlands, 514(1), pp. 150–159. [CrossRef]
- Attard, K., Oztop, M.H. and Lia, F. (2022) ‘The Effect of Hydrolysis on the Antioxidant Activity of Olive Mill Waste’, Applied Sciences, 12(23). [CrossRef]
- Zhang, H. (2017) ‘Thin-Film Hydration Followed by Extrusion Method for Liposome Preparation.’, Methods in molecular biology (Clifton, N.J.). United States, 1522, pp. 17–22. [CrossRef]
- Zhai, L., Luo, C., Gao, H., Du, S., Shi, J. and Wang, F. (2021) ‘A Dual pH-Responsive DOX-Encapsulated Liposome Combined with Glucose Administration Enhanced Therapeutic Efficacy of Chemotherapy for Cancer’, International Journal of Nanomedicine, 16, pp. 3185–3199. [CrossRef]
- Dipali, S. R., Kulkarni, S. B. and Betageri, G. V. (1996) ‘Comparative Study of Separation of Non-encapsulated Drug from Unilamellar Liposomes by Various Methods’, Journal of Pharmacy and Pharmacology, 48(11), pp. 1112–1115. [CrossRef]
- Shraim, A. M., Ahmed, T. A., Rahman, M. M. and Hijji, Y. M. (2021) ‘Determination of total flavonoid content by aluminum chloride assay: A critical evaluation’, LWT, 150, p. 111932. [CrossRef]
- Mateos, R., Espartero, J. L., Trujillo, M., Ríos, J. J., León-Camacho, M., Alcudia, F. and Cert, A. (2001) ‘Determination of Phenols, Flavones, and Lignans in Virgin Olive Oils by Solid-Phase Extraction and High-Performance Liquid Chromatography with Diode Array Ultraviolet Detection’, Journal of Agricultural and Food Chemistry. American Chemical Society, 49(5), pp. 2185–2192. [CrossRef]
- Özyürek, M., Güçlü, K. and Apak, R. (2011) ‘The main and modified CUPRAC methods of antioxidant measurement’, TrAC Trends in Analytical Chemistry, 30(4), pp. 652–664. [CrossRef]




| Compound | Peak number | Bajda Methanol (μg/ml) | Bidni Methanol (μg/ml) |
|---|---|---|---|
| 5,7-dihydroxy flavone | 15 | <LOD | 1.641 ± 0.030 |
| Quercetin | 14 | 2.064 ± 0.001 | <LOD |
| 3′,4,5,7-tetreahydroxy flavone | 13 | 3.551 ± 0.001 | <LOD |
| Ligstroside | 12 | 1.303 ± 0.013 | 0.286 ± 0.006 |
| Oleocanthal | 11 | 1.284 ± 0.069 | <LOD |
| Oleuropein | 10 | 6.265 ± 0.042 | 2.398 ± 0.240 |
| Oleacein | 9 | 11.085 ± 0.021 | 5.651 ± 0.126 |
| Apigenin 7-glucoside | 8 | 8.109 ± 0.178 | 3.343 ± 0.129 |
| Ellagic acid | 7 | 0.218 ± 0.001 | <LOD |
| p-coumaric acid | 6 | 2.348 ± 0.013 | 1.927 ± 0.007 |
| Vanillin | 5 | 4.084 ± 0.001 | <LOD |
| Vanillic acid | 4 | 2.011 ± 0.013 | <LOD |
| 2-(4-hydroxy phenyl) ethanol | 3 | 3.763 ± 0.010 | 3.608 ± 0.019 |
| 3-Hydroxytyrosol | 2 | 6.034 ± 0.044 | 6.801 ± 0.312 |
| Gallic acid | 1 | 0.505 ± 0.006 | <LOD |
| Compound Name | TPSA (Å2) | XLogP | Hydrophilicity/Lipophilicity |
|---|---|---|---|
| Tetrahydroxyflavone | 107 | 2.5 | Moderately lipophilic |
| Quercetin | 127 | 1.5 | Mildly lipophilic |
| p-coumaric acid | 57.5 | 1.5 | Balanced hydrophilic-lipophilic profile |
| Vanillin | 46.5 | 1.2 | Slightly lipophilic |
| Oleacein | 101 | 1.1 | Mildly lipophilic |
| 2-(4-hydroxyphenyl) ethanol | 40.5 | 0.4 | Slightly hydrophilic |
| Apigenin 7-glucoside | 166 | -0.1 | Hydrophilic |
| Oleuropein | 202 | -0.4 | Strongly hydrophilic |
| 3-hydroxytyrosol | 60.7 | -0.7 | Highly hydrophilic |
Disclaimer/Publisher’s Note: The statements, opinions and data contained in all publications are solely those of the individual author(s) and contributor(s) and not of MDPI and/or the editor(s). MDPI and/or the editor(s) disclaim responsibility for any injury to people or property resulting from any ideas, methods, instructions or products referred to in the content. |
© 2025 by the authors. Licensee MDPI, Basel, Switzerland. This article is an open access article distributed under the terms and conditions of the Creative Commons Attribution (CC BY) license (http://creativecommons.org/licenses/by/4.0/).
