Submitted:
09 May 2025
Posted:
12 May 2025
You are already at the latest version
Abstract
Keywords:
1. Introduction
2. Materials and Methods
2.1. Study Area
2.2. Instruments and Data
2.3. Data Processing and Research Methods
3. Results
3.1. Seasonal Analysis of Aerosol Optical Depth (AOD) in the Yinchuan Region
3.2. Analysis of the Aerosol Ångström Exponent
3.3. Analysis of Aerosol Particle Size Distribution and Single Scattering Albedo (SSA)
3.4. Analysis of Aerosol Direct Radiative Forcing
3.5. The Synergistic Effects of the Optical Properties of Dust and Anthropogenic Aerosols on Aerosol Radiative Forcing
3.5.1. The Heating Rate Analysis
3.5.2. The Net Flux Analysis
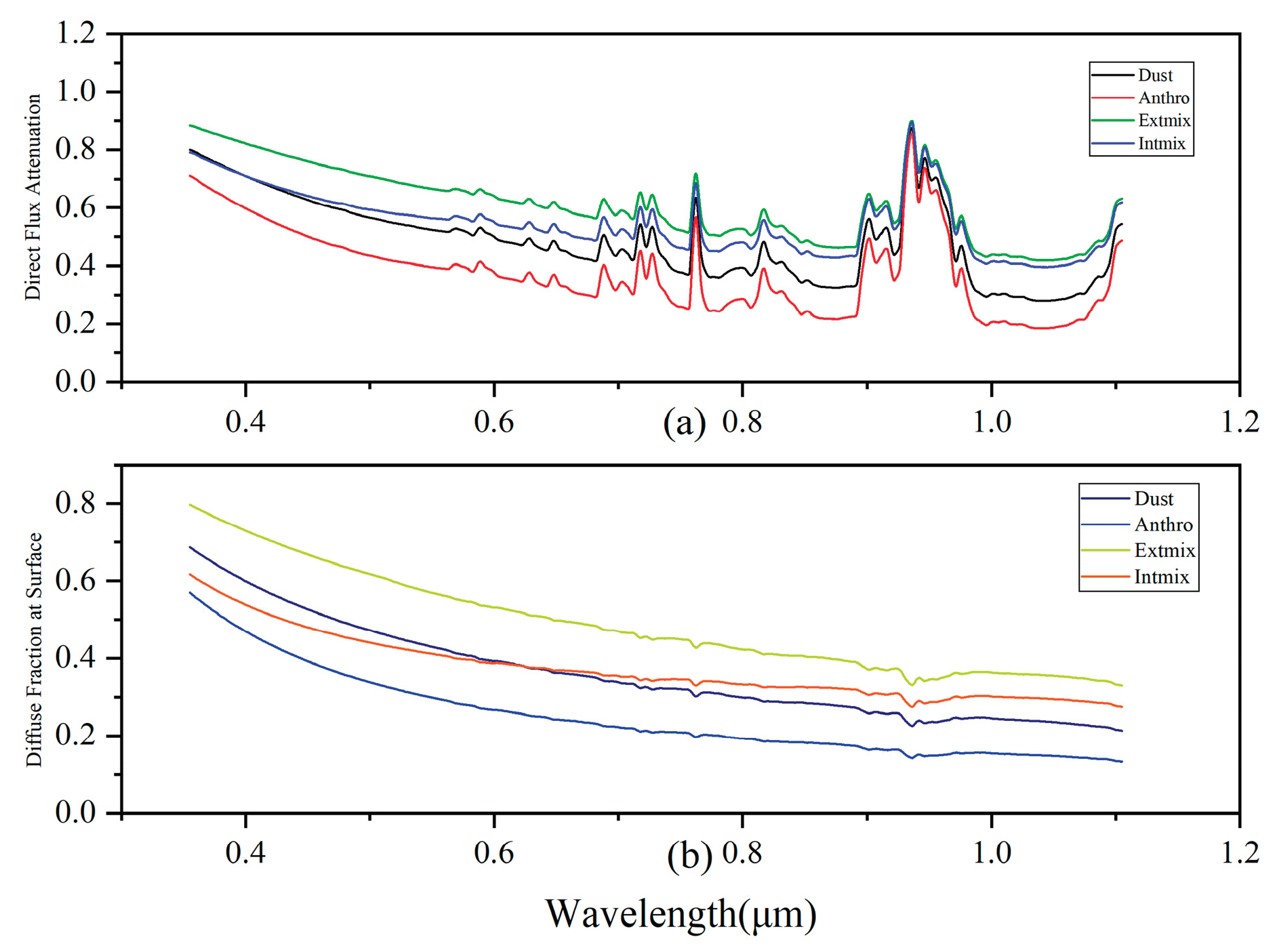
3.5.3. Analysis of Surface Diffuse Reflection and Absorption
3.5.4. Direct Radiative Forcing of Aerosol Sunder Four Scenarios Analysis
4. Discussion and Conclusions
Author Contributions
Funding
Institutional Review Board Statement
Informed Consent Statement
Data Availability Statement
Acknowledgments
Conflicts of Interest
References
- Chen S Y, Huang J P, et al. Comparison of dust emissions, transport, and deposition between the Taklimakan Desert and Gobi Desert from 2007 to 2011. Science China Earth Sciences, 2017, 60: 1338-1355.
- Zhang X Y, Wang Y Q, et al. Atmospheric aerosol compositions in China: spatial/temporal variability, chemical signature, regional haze distribution and comparisons with global aerosols. Atmospheric Chemistry and Physics, 2012, 12(2): 779-799.
- Kok J F, Adebiyi A A, et al. Contribution of the world’s main dust source regions to the global cycle of desert dust. Atmospheric Chemistry and Physics, 2021, 21(10): 8169-8193.
- Xu S, Ren L, et al. Molecular markers of biomass burning and primary biological aerosols in urban Beijing: size distribution and seasonal variation. Atmospheric Chemistry and Physics, 2020, 20(6): 3623-3644. [CrossRef]
- Huang J, Fu Q, et al. Taklimakan dust aerosol radiative heating derived from CALIPSO observations using the Fu-Liou radiation model with CERES constraints. Atmospheric Chemistry and Physics, 2009, 9(12): 4011-4021. [CrossRef]
- Bond T C, Doherty S J, et al. Bounding the role of black carbon in the climate system: A scientific assessment. Journal of geophysical research: Atmospheres, 2013, 118(11): 5380-5552.
- Tian P, Zhang L, et al. Radiative absorption enhancement of dust mixed with anthropogenic pollution over East Asia. Atmospheric Chemistry and Physics, 2018, 18(11): 7815-7825. [CrossRef]
- Li Z Q, Xu H, et al. Comprehensive study of optical, physical, chemical, and radiative properties of total columnar atmospheric aerosols over China: An overview of Sun–Sky Radiometer Observation Network (SONET) measurements. Bulletin of the American Meteorological Society, 2018, 99(4): 739-755.
- Sutherland B, Meskhidze N. Type-based assessment of aerosol direct radiative effects: A proof-of-concept using GEOS-Chem and CATCH. Atmospheric Research, 2025, 320: 108036. [CrossRef]
- Elshora M, Xia H, et al. Observation and study of consecutive dust storms in the Taklimakan desert from March 16 to 27, 2022, using reanalysis models and lidar. Atmospheric Research, 2024, 305: 107431. [CrossRef]
- Wang X, Cai D, et al. Spatio-temporal trends of dust emissions triggered by desertification in China. Catena, 2021, 200: 105160. [CrossRef]
- Chen G, Wang W C. Circulation responses to regional aerosol climate forcing in summer over East Asia. Climate Dynamics, 2018, 51: 3973-3984.
- Che H, Qi B, et al. Aerosol optical properties and direct radiative forcing based on measurements from the China Aerosol Remote Sensing Network (CARSNET) in eastern China. Atmospheric Chemistry and Physics, 2018, 18(1): 405-425. [CrossRef]
- Ginoux P, Prospero J M, et al. Global-scale attribution of anthropogenic and natural dust sources and their emission rates based on MODIS Deep Blue aerosol products. Reviews of Geophysics, 2012, 50(3). [CrossRef]
- Li J, He Q, et al. Three-dimensional distribution of dust aerosols over the Tarim Basin and the Tibet Plateau during 2007–2021 derived from CALIPSO lidar observations. Journal of Cleaner Production, 2023, 400: 136746. [CrossRef]
- Xing C, Liu C, et al. Ground-based vertical profile observations of atmospheric composition on the Tibetan Plateau (2017–2019). Earth System Science Data, 2021, 13(10): 4897-4912. [CrossRef]
- Li Z, Xia X, et al. Aerosol optical properties and their radiative effects in northern China. Journal of Geophysical Research: Atmospheres, 2007, 112(D22). [CrossRef]
- Wen W, Guo C, et al. Impact of emission reduction on aerosol-radiation interaction during heavy pollution periods over Beijing-Tianjin-Hebei region in China. Journal of Environmental Sciences, 2020, 95: 2-13. [CrossRef]
- Wang Z, Huang X, et al. Environmental impacts of aerosol radiative effect and urbanization and their interactions over the Beijing-Tianjin-Hebei City cluster. Urban Climate, 2024, 56: 102020. [CrossRef]
- Aili A, Xu H, et al. Origin and transport pathway of dust storm and its contribution to particulate air pollution in northeast edge of Taklimakan Desert, China. Atmosphere, 2021, 12(1): 113. [CrossRef]
- Karakaş S Y, Tuncel S G. Chemical characteristics of atmospheric aerosols in a rural site of northwestern Anatolia. Atmospheric Environment, 1997, 31(18): 2933-2943. [CrossRef]
- Li K, Ma Y, et al. Chemical Composition and Mixing State of Fine Particles during Haze Periods in Yinchuan. Aerosol and Air Quality Research, 2023, 23(11): 230116. [CrossRef]
- Ramachandran S, Rupakheti M. Aerosol-induced atmospheric heating rate decreases over South and East Asia as a result of changing content and composition. Scientific Reports, 2020, 10(1): 20091. [CrossRef]
- Pan X, Uno I, et al. Real-time observational evidence of changing Asian dust morphology with the mixing of heavy anthropogenic pollution. Scientific Reports, 2017, 7(1): 335. [CrossRef]
- Yang Y, Russell L M, et al. Dust-wind interactions can intensify aerosol pollution over eastern China. Nature communications, 2017, 8(1): 15333. [CrossRef]
- Zheng H, Kong S, et al. Secondary inorganic aerosol dominated the light absorption enhancement of black carbon aerosol in Wuhan, Central China. Atmospheric Environment, 2022, 287: 119288. [CrossRef]
- Cheng Y, He K, et al. Brown and black carbon in Beijing aerosol: Implications for the effects of brown coating on light absorption by black carbon. Science of the Total Environment, 2017, 599: 1047-1055. [CrossRef]
- Cappa C D, Onasch T B, et al. Radiative absorption enhancements due to the mixing state of atmospheric black carbon. Science, 2012, 337(6098): 1078-1081. [CrossRef]
- An Z, Huang R J, et al. Severe haze in northern China: A synergy of anthropogenic emissions and atmospheric processes. Proceedings of the National Academy of Sciences, 2019, 116(18): 8657-8666. [CrossRef]
- Chen Y, Ebenstein A, et al. Evidence on the impact of sustained exposure to air pollution on life expectancy from China’s Huai River policy. Proceedings of the National Academy of Sciences, 2013, 110(32): 12936-12941. [CrossRef]
- Yang X, Shen S, et al. Spatial and temporal variations of blowing dust events in the Taklimakan Desert. Theoretical and Applied Climatology, 2016, 125: 669-677. [CrossRef]
- Huang R J, Zhang Y, et al. High secondary aerosol contribution to particulate pollution during haze events in China. Nature, 2014, 514(7521): 218-222. [CrossRef]
- Li J, Carlson B E, et al. Recent trends in aerosol optical properties derived from AERONET measurements. Atmospheric Chemistry and Physics, 2014, 14(22): 12271-12289. [CrossRef]
- Wang F, Li Z, et al. Comparative Analysis of Aerosol Vertical Characteristics over the North China Plain Based on Multi-Source Observation Data. Remote Sensing, 2024, 16(4): 609. [CrossRef]
- Liu J, Scheuer E, et al. Brown carbon in the continental troposphere. Geophysical Research Letters, 2014, 41(6): 2191-2195. [CrossRef]
- Liu Y, Sato Y, et al. Modeling study on the transport of summer dust and anthropogenic aerosols over the Tibetan Plateau. Atmospheric Chemistry and Physics, 2015, 15(21): 12581-12594. [CrossRef]
- Wang Q, Sun Y, et al. Vertically resolved characteristics of air pollution during two severe winter haze episodes in urban Beijing, China. Atmospheric Chemistry and Physics, 2018, 18(4): 2495-2509. [CrossRef]
- Liu S, Aiken A C, et al. Enhanced light absorption by mixed source black and brown carbon particles in UK winter. Nature communications, 2015, 6(1): 8435. [CrossRef]
- Yang M, Howell S G, et al. Attribution of aerosol light absorption to black carbon, brown carbon, and dust in China–interpretations of atmospheric measurements during EAST-AIRE. Atmospheric Chemistry and Physics, 2009, 9(6): 2035-2050.
- Zhang Q, Jimenez J L, et al. Ubiquity and dominance of oxygenated species in organic aerosols in anthropogenically-influenced Northern Hemisphere midlatitudes. Geophysical research letters, 2007, 34(13). [CrossRef]
- Bellouin N, Quaas J, et al. Bounding global aerosol radiative forcing of climate change. Reviews of Geophysics, 2020, 58(1): e2019RG000660. [CrossRef]










| Different scenarios | TOA | BOA | ATM |
|---|---|---|---|
| Dust (W m⁻²) Anthrop (W m⁻²) External Mixing (W m⁻²) Internal Mixing (W m⁻²) |
-14.11 | -28.96 | 14.85 |
| -10.34 | -19.30 | 8.97 | |
| -24.75 -14.35 |
-50.47 -66.60 |
25.72 52.25 |
Disclaimer/Publisher’s Note: The statements, opinions and data contained in all publications are solely those of the individual author(s) and contributor(s) and not of MDPI and/or the editor(s). MDPI and/or the editor(s) disclaim responsibility for any injury to people or property resulting from any ideas, methods, instructions or products referred to in the content. |
© 2025 by the authors. Licensee MDPI, Basel, Switzerland. This article is an open access article distributed under the terms and conditions of the Creative Commons Attribution (CC BY) license (http://creativecommons.org/licenses/by/4.0/).