Submitted:
09 May 2025
Posted:
10 May 2025
Read the latest preprint version here
Abstract
Keywords:
1. Preface
2. Contradictions on Gravitational Redshift and Acceleration
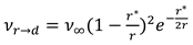
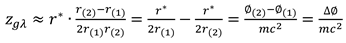
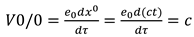
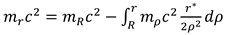
2.1. Newtonian Gravitational Redshift
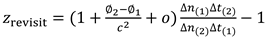
2.2. Errors in the Equation of so Called Revisit Gravitational Redshift
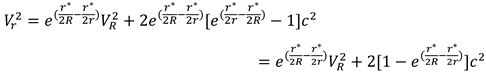
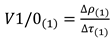
2.3. Further Investigation into the Revisit Gravitational Redshift
2.4. Additional Discussions on the Thought Experiment of Freefalling Elevator Cabin
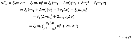
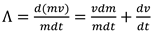
2.5. An Investigation into Gravitational Acceleration
2.6. Discussions and Controversies
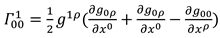
3. Theoretical Investigations on Christoffel Symbols
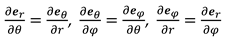
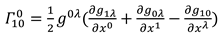
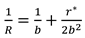
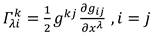
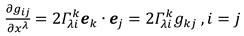
3.1. Classical Equations of Christoffel Symbols
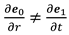
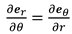
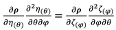
3.2. The Inequality of Christoffel Symbols of Mixed Subscripts
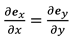
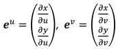
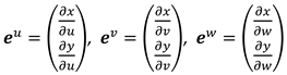
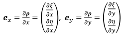
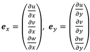
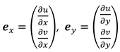
3.2.1. Coordinate Transformations and Bases
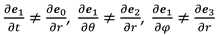
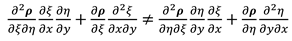
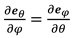
3.2.2. Inequalities of Mixed Derivatives of Bases
3.2.3. Verifications and Discussions
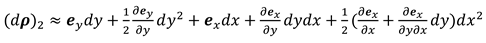
4. Metrics and Covariant Derivatives in Space Time
4.1. Metrics in Pseudo Riemannian Space
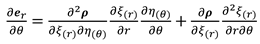
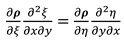
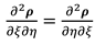
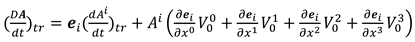
4.2. Discussions on Bases, Tensors and Their Derivatives
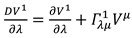
4.3. Derivation via Christoffel Symbols
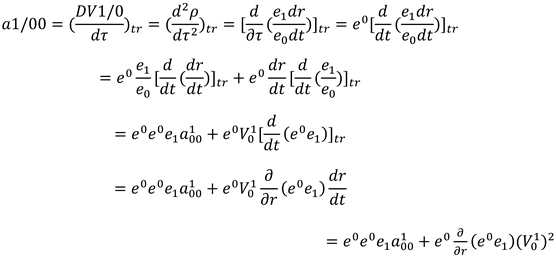
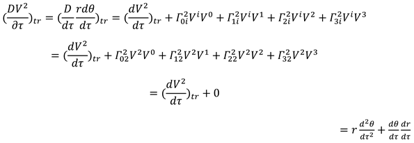
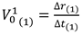
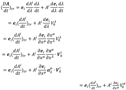
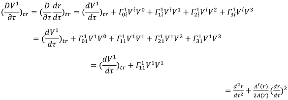
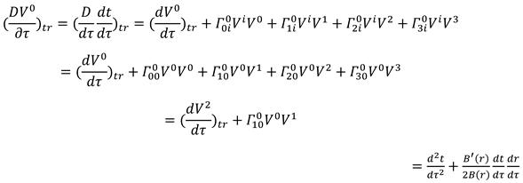
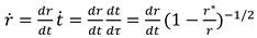
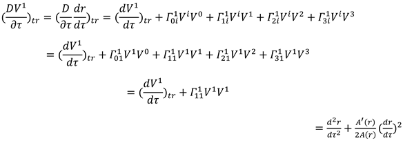
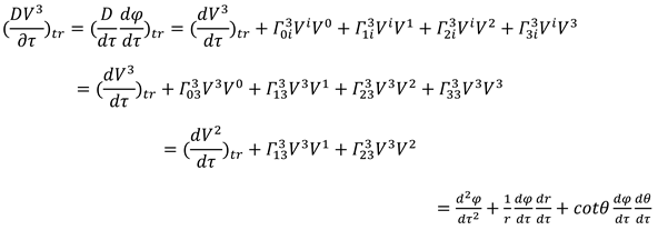
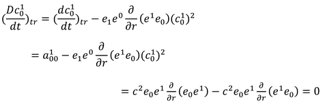
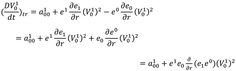
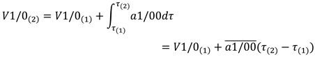
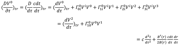
4.4. Derivatives on Matter’s Trajectory
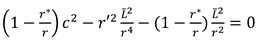
5. Theoretical Verifications on Gravitational Redshifts and Accelerations
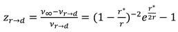
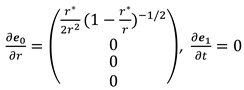
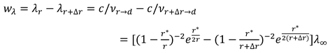
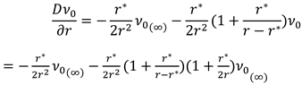
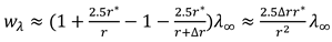
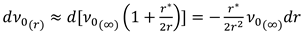
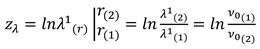
5.1. On Gravitational Redshifts
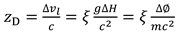
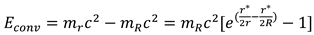
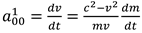
5.2. On Accelerations
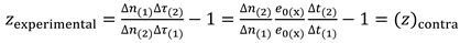
6. Experimental Verifications on Gravitational Redshifts and Accelerations
6.1. On Measurable Experiments
6.2. Measurable Verifications for Gravitational Redshift
6.3. Measurable Verifications for Acceleration
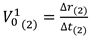
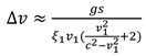
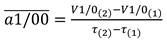
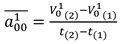
6.3.1. Measurable Quantities and Measurable Acceleration
6.3.2. Examples
7. Conclusions and Inferences and Their Applications
7.1. Conclusions
7.2. Inferences
7.3. Applications
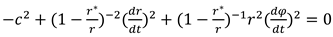
8. Kinematics and Dynamics
8.1. The Most Important
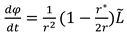
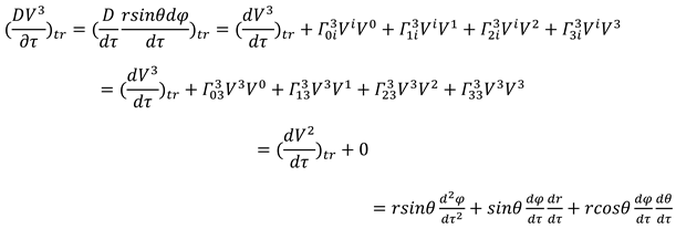
8.2. Discussions on Geodesic Equation
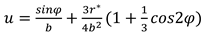
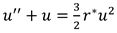
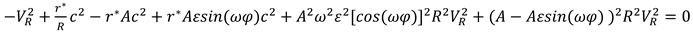
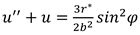
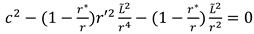
8.3. Classical Equations of Light Ray Deflection
8.4. Revisit Equations of Light Ray Deflection
8.4.1. Errors Hidden in Classical Equations
8.4.2. Momentum, Energy and Angular Momentum Conservation
8.4.3. Revisit Equations for Light Ray Trajectory
8.5. More Discussions
8.5.1. Detailed Discussions on the Coordinates of the Light Ray Trajectory
8.5.2. The Invalidity of Newtonian Second Law in Light Propagation
8.5.3. A Wrong Treatment for Light Propagations
8.5.4. Equations of Close-to-Light-Speed Massive Particles
8.5.5. Comparisons of Numerical Solutions and Algebraic Solutions
| coordinate angle | coordinate radius (m) of solution of light ray by method of | coordinate radius (m) of solution of close-to-light-speed massive particle by method ofmassive particle solution of coordinate radius | coordinate radius (m) of | |||||
| (degree) | analytical | difference | asymptotic line | analytical | difference | ballistic | asymptotic line | horizontal line |
| 90 | 695500000 | 695500000 | 695501477 | 695500000 | 695500000 | 695500000 | 695501477 | 695501477 |
| 80 | 706229140 | 706229166 | 706230180 | 706229186 | 706229216 | 706229226 | 706230444 | 706230708 |
| 70 | 740135345 | 740135367 | 740136069 | 740135540 | 740135570 | 740135590 | 740136641 | 740137212 |
| 60 | 803093469 | 803093487 | 803093961 | 803093961 | 803093991 | 803094020 | 803094945 | 803095929 |
| 50 | 907909142 | 907909153 | 907909463 | 907910181 | 907910213 | 907910251 | 907911080 | 907912699 |
| 40 | 1082002548 | 1082002549 | 1082002744 | 1082004645 | 1082004679 | 1082004738 | 1082005482 | 1082008219 |
| 30 | 1390992617 | 1390992592 | 1390992723 | 1390997047 | 1390997085 | 1390997170 | 1390997839 | 1391002954 |
| 20 | 2033486508 | 2033486403 | 2033486554 | 2033497655 | 2033497694 | 2033497838 | 2033498416 | 2033510279 |
| 10 | 4005136911 | 4005136314 | 4005136922 | 4005184405 | 4005184395 | 4005184750 | 4005185149 | 4005233377 |
| 0.26 | 153123772603 | 153122660623 | 153123772604 | 153195382906 | 153195143112 | 153195397701 | 153195383644 | 153267061697 |
| 0.01 | 3890278441952 | 3889557122200 | 3890278441977 | 3937035389754 | 3936873242381 | 3937033549851 | 3937035390479 | 3984929947953 |
| 0 | 163784893532900 | 162515766173612 | 163784893516163 | 327569787065801 | 326450054739264 | 327616498942582 | 327569787031587 | ∞ |
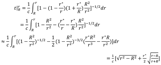
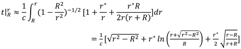
8.6. Time Delay of Radar Echoes
8.6.1. Classical Solution
8.6.2. Errors in
8.6.3. Revisit Solution for Radar Echoes
8.6.4. Solution for Close-to-Light-Speed Particles
8.6.5. Equations of Time Delay
8.7. Equations for Un-Close-to-Light-Speed Massive Particles
9. Relativistic Release and Relativistic Frequency Shift
9.1. Dynamics of Active Galactic Nuclei Accretions
9.1.1. Galactic Nuclei Accretions and Planet Rings
9.1.2. The Structure of Fluid Rings
9.1.3. Shearing Dissipation in Fluid Rings
9.1.4. On Particle Rings
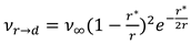
9.2. Relativistic Release
9.3. Relativistic Emission Lines and Relativistic Redshift
9.4. Broad Lines and Narrow Lines
9.5. Relativistic Absorption
Acknowledgements
References
- A. Einstein, Die Grundlage der allgemeinen Relativitätstheorie, Annalen der Phys., 49,769(1916). [CrossRef]
- J. Jost, Riemannian Geometry and Geometric Analysis, Springer –Verlag Berlin Heidelberg, Sixth Edition 2011, (1965).
- T. P. Cheng, Relativity, Gravitation,and Cosmology, Oxford University Press (2005).
- N. Straumann, General Relativity, Springer Science + Business Media Dordrecht( 2004, 2013).
- L. P. Eisenhart, Riemannian geometry, Princeton University Press, Eighth Printing 1997, (1925).
- П.К.Рашевский, Riemannian Geometry and Tensor Analysis, Technique and Theory Press, (1953).
- C. Huang, General Relativity Lecture Sheet, China Science Press (2023).
- A. Einstein, Zur Elektrodynamik bewegter Körper, Ann. Physik, 17,891(1905).
- H. Minkowski, Nachr. Ges. Wiss. Göttn Math.-Phys. Kl. 53 (1908).
- Y. Yu, General Relativity, Peking University Press (1997).
- H. Jin, Introduction to General Theory of Relativity, Zhejiang University Press (2022).
- B. Chen, General Relativity, Peking University Press (2018).
- C. E. Weatherburn, An Introduction to Riemannian Geometry and the Tensor Calculus, Cambridge University Press, (1942).
- R. Pound, G. Rebka, Gravitational Red-shift in Nuclear Resonance, Physical Review Letters. 3 (9): 439–441 (1959). [CrossRef]
- R. Vessot, M. Levine; E. Mattison et al., Test of Relativistic Gravitation with a Space-Borne Hydrogen Maser, Physical Review Letters. 45 (26): 2081–2084(1980). [CrossRef]
- T. Do, et al., Relativistic Redshift of the Star S0-2 Orbiting the Galactic Center Supermassive Black Hole, Science. 365 (6454) (2019). [CrossRef]
- S. Weinberg, Gravitation and Cosmology, Principles and Applications of the General Theory of Relativity, John Wiley (1972).
- R. Peierls, More Surprises in Theoretical Physics, Princeton Univ. Press (1991).
- H. Minkowski, Nachr. Ges. Wiss. Göttn Math.-Phys. Kl. 53 (1908).
- M. Abraham, Rend. Circ. Matem. Palermo 28, 1 (1909).
- A. Einstein, A centenary volume letter to M. Besso, 1951(p.138).
- U. Leonhardt, Optics: Momentum in an Uncertain Light, Nature, 444:823–824 (2006).
- M. Froeschle, F. Miguard, F. Arenon, in Proceedings of the Happarcos Venice 1997 Symposium, ESA Publications Division, Noordwijk (1997).
- I. I. Shapiro, Fourth Test of General Relativity. Physical Review Letters. 13 (26): 789–791 (1964). [CrossRef]
- I. I. Shapiro, M. E. Ash, R. P. Ingalls etc., Fourth Test of General Relativity: New Radar Result. Physical Review Letters. 26 (18): 1132–1135 (1971). [CrossRef]
- J. Roche, What is mass? European Journal of Physics, 26:1–18(2005). [CrossRef]
- Q, Xu, Z. Liu, Ordinary Differential Equations Analytical Methods and Numerical Methods, Publishing House of Electronics Industry, China (2022).
- B. B. Perera, M. A. McLaughlin, M. Kramer etc., The Evolution of PSR J0737-3039B and a Model for Relativistic Spin Precession, the Astrophysical Journal, 721: 1193-1205(2010). [CrossRef]
- P. Landry, B. Kumar, Constraints on the Moment of Inertia of PSR J0737-3039A from GW170817, arxive: 1807. 04727v2 [gr-qc] 10 Oct 2018. [CrossRef]
- C. W. F. Everitt etc., Gravity Probe B: Final Result of a Space Experiment to Text General Relativity, Phys. Rev. Lett., 106(22): 221101(2011). [CrossRef]
- R. Abuter, A. Amorim, N.Anugu etc., Detection of the Gravitational Redshift in the Orbit of the Star S2 Near the Galactic Centre Massive Black Hole, Astronomy & Astrophysics, 615, L15:1-10(2018). [CrossRef]
- J.H. Taylor, L.A. Fowler, and P.M. McCulloch, Measurements of General Relativistic Effects in the Binary Pulsar PSR1913+16, Nature, 277:437 (1978). [CrossRef]
- E. E. Salpeter, Accretion of interstellar matter by massive objects. Astrophys. J., 1964, 140, 796–800. [CrossRef]
- Y. B. Dovich, and I. D. Novikov, The radiation of gravity waves by bodies moving in the field of a collapsing star. Sov. Phys. Dokl., 9, 246 (1964).
- S. Kato, J. Fukue, S. Mineshige, Black-hole Accretion Disks, Kyoto University Press (2008).
- R. D. Blandford, H. Netzer, L. Woltjer, Active galactic nuclei, Saas-Fee Advanced Course 20,Lecture Notes 1990, Swiss Society for Astrophysics and Astronomy, Springer-Verlag Berlin Heidelber (1990).
- N. I. Shakura, R. A. Sunyaev, Black holes in binary systems. Observational appearance. Astron. Astrophys., 24, 337–355 (1973).
- S. L. Shapiro, A. P. Lightman, and D. M. Eardley: Astrophys. J. 204 187 (1976).
- B. Sicardy, Dynamics of planetary rings, Lect. Notes Phys. 682, 183–200 (2006).
- J. C. Maxwell, On the Stability of the Motions of Saturn’s Rings, Cambridge and London: MacMillan and Company. Reprinted in Scientific Papers of James Clerk Maxwell, Vol. 1, Cambridge University Press (1890).
- S. Charnoz, A. Croda, R. Hyodo, Rings in the Solar System: a Short Review, arxiv, 201805.08963 (2018).
- L. W. Esposito, Composition, Structure, Dynamics, and Evolution of Saturn’s Rings, Annu. Rev. Earth Planet. Sci. 38,383-410 (2010). [CrossRef]
- E. D. Miner, R. R. Wessen, J. N. Cuzzi, Planetary Ring Systems, Praxis Publishing Ltd, Chichester, UK (2007).
- B. Lee, R. Chary, Insights into Physical Conditions and Magnetic Fields from High Redshift Quasars, arxive: 2207. 07290v1 [astro-ph.GA] 15 Jul 2022.
- Event Horizon Telescope Collaboration, First M87 event horizon telescope results. I. The shadow of the supermassive black hole, ApJ, 875, L1, 17 (2019).
- C.T. Donnan, D.J. Mcleod, J.S. Dulop ect., The Evolution of the Galaxy UV Luninosity Function at Reshift z≈8-15 from Deep JWST and Ground-based Near-infrared Imaging, arxive: 2207. 12356v3 [astro-ph.GA] 24 Nov 2022.
- L.Y. Yung, R.S. Somerville, S.L. Finkelstein ect., Are the Ultra-high-redshift Galaxies at z>10 Surprising in the Context of Standard Galaxy Formation Models? arxive: 2304. 04348v2 [astro-ph.GA] 11 Nov 2023.
- V. Beckmann, Chris shrader, Active galactic nuclei, WILEY-VCH Verlag GmbH & Co. KGaA, Boschstr. 12, 69469, Weinheim, Germany (2012).
- K. Huang, Quasars and Active Galactic Nuclei, China Science and Technology Press, (2005).
- D. E. Osterbrock, Emission-line spectra and the nature of active galactic nuclei, proceedings of a conference held at the Georgia State University, Springer-Verlag, 1-18 (1987).
- M.C. Bentz, P.R. Williams, T. Treu, The Broad Line Region and Black Hole Mass of NGC 4151, arxive: 2206. 03513v1 [astro-ph.GA] 7 Jun 2022. [CrossRef]
- R. Serafinelli, A. Marinucci, A.D. Rosa etc., A Remarkably Stable Accretion Disk in the Sefert Galaxy, arxive: 2309. 06092v1 [astro-ph.HE] 12 Sep 2023.
- V. Liu, A. Zoghbi, J.M. Miller, Dectection of Asymmetry in the Narrow Fe Kα Line in MCG-5-23-16 with Chandra, arxive: 2312. 16354v2 [astro-ph.HE] 4 Jan 2024.
- B. M. Peterson, An introduction to active galactic nuclei, Cambridge University Press (1997).
- H. Netzer, The Physics and Evolution of Active Galactic Nuclei, Cambridge University Press (2013).
- R. Lynds, The Absorption-line spectrum of 4c 05.34, Astrophysical Journal, vol. 164, p.L73 (1971). [CrossRef]
- K. Hirata et al., Observation of a Neutrino Burst from the Supernova SN1987a, Phys. Rev. Lett., 58:1490-1493(1987). [CrossRef]
- B. P. Abbott et al., GW170817: Observation of Gravitational Waves from a Binary Neutron Star Inspiral, Phys. Rev. Lett., 119:161101(2017). [CrossRef]
























| 6372.393 | 1.00000000069582045 | 0.99999999930417955 | 9.81377376 | 2.183859184×10-16 |
| 6371.493 | 1.00000000069591874 | 0.99999999930408126 | 9.81654643 | 2.184476187×10-16 |
| 6371.393 | 1.00000000069592966 | 0.99999999930407034 | 9.81685457 | 2.184544758×10-16 |
| Analysis method | Theoretical analysis | Measurable analysis | ||||
| Positions | r(1)=6371.493 | r(2)=6371.393 | From r(1) to r(2) | |||
| Initial velocity | Contra variant acceleration |
Covariant acceleration |
Contra variant acceleration |
Covariant acceleration |
measured time intervals |
Covariant acceleration |
| (m/s) | (m/s2) | (m/s2) | (m/s2) | (m/s2) | (s) | (m/s2) |
| 0 | 9.8165464 | 9.8165464 | 9.8168546 | 9.8168546 | 4.5137 | 9.8165 |
| 100000 | 9.8165453 | 9.8165453 | 9.8168535 | 9.8168535 | 1.0×10-3 | 9.8165 |
| 10000000 | 9.8056240 | 9.8058425 | 9.8059318 | 9.8061503 | 1.0×10-5 | 9.8275 |
| 100000000 | 8.7243083 | 10.908784 | 8.7245822 | 10.909127 | 1.0×10-6 | 10.908 |
| 200000000 | 5.4475940 | 14.185499 | 5.4477651 | 14.185944 | 5.0×10-7 | 14.184 |
| 250000000 | 2.9900583 | 16.643034 | 2.9901522 | 16.643557 | 4.0×10-7 | 16.640 |
| 299792458 | 0 | 19.633093 | 0 | 19.633709 | 3.3356×10-7 | 19.629 |
| Analysis method | Theoretical analysis | Measurable analysis | ||||
| Positions | r(1)=6372.393 | r(2)=6371.393 | From r(1) to r(2) | |||
| Initial velocity | Contra variant acceleration |
Covariant acceleration |
Contra variant acceleration |
Covariant acceleration |
measured time intervals |
Covariant acceleration |
| (m/s) | (m/s2) | (m/s2) | (m/s2) | (m/s2) | (s) | (m/s2) |
| 0 | 9.8137738 | 9.8137738 | 9.8168546 | 9.8168546 | 14.276 | 9.8138 |
| 100000 | 9.8137730 | 9.8137751 | 9.8168535 | 9.8168535 | 1.0×10-2 | 9.8138 |
| 10000000 | 9.8028548 | 9.8246934 | 9.8059318 | 9.8061503 | 1.0×10-4 | 9.8247 |
| 100000000 | 8.7218446 | 10.905704 | 8.7245822 | 10.909127 | 1.0×10-5 | 10.906 |
| 200000000 | 5.4460559 | 14.181493 | 5.4477651 | 14.185944 | 5.0×10-6 | 14.182 |
| 250000000 | 2.9892144 | 16.383343 | 2.9901522 | 16.643557 | 4.0×10-6 | 16.639 |
| 299792458 | 0 | 19.627547 | 0 | 19.633709 | 3.3356×10-6 | 19.629 |
| Emission positions | Relativistic frequency shifts | Detectable frequency shifts |
| 17.778 | 26.585 | |
| 11.250 | 16.508 | |
| 8.000 | 11.561 | |
| 3.000 | 4.136 | |
| 1.250 | 1.658 | |
| 0.235 | 0.298 | |
| 0.108 | 0.136 |
| Emission positions | Exciting widths | km/s | km/s | ||
| 0.02327 | 87681 | 2.8408 | 67850 | ||
| 0.01158 | 43634 | 1.5949 | 38093 | ||
| 0.01433 | 11425 | 0.09752 | 11006 | ||
| 0.007239 | 5772 | 0.05018 | 5663 | ||
| 0.002079 | 809 | 0.003492 | 807 | ||
| 0.001044 | 406 | 0.001756 | 406 | ||
| 0.0005706 | 194 | 0.0007360 | 194 | ||
| 0.0002860 | 97 | 0.0003690 | 97 | ||
| 0.00002455 | 7.6 | 0.00002582 | 7.6 | ||
| 0.00001228 | 3.8 | 0.00001291 | 3.8 |
Disclaimer/Publisher’s Note: The statements, opinions and data contained in all publications are solely those of the individual author(s) and contributor(s) and not of MDPI and/or the editor(s). MDPI and/or the editor(s) disclaim responsibility for any injury to people or property resulting from any ideas, methods, instructions or products referred to in the content. |
© 2025 by the authors. Licensee MDPI, Basel, Switzerland. This article is an open access article distributed under the terms and conditions of the Creative Commons Attribution (CC BY) license (http://creativecommons.org/licenses/by/4.0/).







