Submitted:
01 May 2025
Posted:
08 May 2025
You are already at the latest version
Abstract
Keywords:
1. Introduction
2. Theory and Methods
2.1. Continuum Single-Particle Model
2.2.1. Scalable Parameters at Galvanostatic Conditions
2.2. Lattice Kinetic Monte Carlo Simulations
2.2.1. Kinetic Monte Carlo Scheme
2.2.2. Slab Model and kMC Events
- The electrode was set in contact with a reservoir of ions at the x-z plane located at y = 0, so lithium ions can be intercalated (marked with 2 in Figure 3a) or deintercalated (marked with 3) at the boundary sites of this plane. The concentration of ions in the electrolyte was constant.
- Diffusion of ions was allowed to the first neighboring lattice sites (marked with 4).
- Periodic boundary conditions (PBC) were imposed in the x-direction (marked with 4) and the z-axis (marked with 6).
- The diffusional motion of ions was restricted to the length of the simulation box along the y-axis (marked with 7).
- A metal lithium reference electrode was considered, so that the potential of the working electrode is given by [38].
2.2.3. Rate of Events and Potential Calculation in Galvanostatic kMC Simulations
- 1)
- Set an initial configuration and define a constant current signal (or C-rate).
- 2)
- Estimate the chemical potential with a root-finding method using Eqn. (18) or (19).
- 3)
- Calculate all rate constant events with Eqn. 12.
- 4)
- Generate a random number .
- 5)
- Choose one event using .
- 6)
- Perform the selected event.
- 7)
- Generate a second random number .
- 8)
- Calculate the time increment with Eqn. 11.
- 9)
- Update the time.
- 10)
- Repeat steps from 2 to 9 until reaching the cut-off electrode potential.
2.3. Calculating Continuum Parameters from Microscopic Quantities
2.3.1. Diffusion Coefficient
2.3.2. Charge Transfer Rate Constant
3. Results and Discussion
3.1. Number of Samples and Simulation Box Size
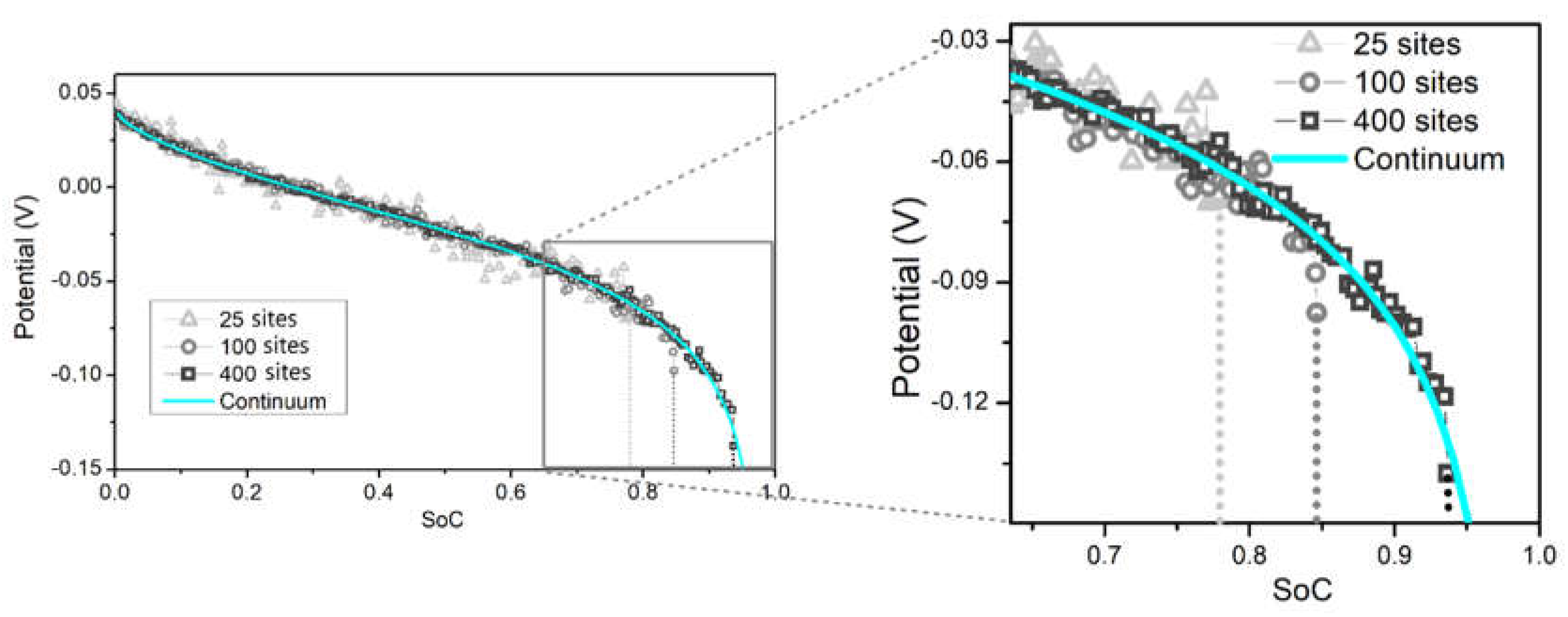
3.2. Limitation by the Number of Surface Sites

3.3. Limitation by Finite-Size Diffusion
| [Å] | [C] | [cm2 / s] | [cm / s] | [eV] | [eV] | |||
|---|---|---|---|---|---|---|---|---|
| 5x20x5 | 20 | 22454 | 8.01x10-17 | 3.5x10-12 | 3.02x10-6 | 0.5 | 0.62 | [-0.19, -1.147 |
| 10x20x10 | 20 | 22454 | 3.2x10-16 | 3.5x10-12 | 3.02x10-6 | 0.5 | 0.62 | [-0.19, -1.147 |
| 20x20x20 | 20 | 22454 | 1.15x10-15 | 3.5x10-12 | 3.02x10-6 | 0.5 | 0.62 | [-0.19, -1.147 |
| 60x20x60 | 20 | 203381 | 1.15x10-14 | 3.5x10-12 | 2.23x10-5 | 0.5 | 0.57 | [-0.19, 0.2 |
| 60x40x60 | 40 | 50845 | 2.31x10-14 | 3.5x10-12 | 1.14x10-5 | 0.5 | 0.59 | [-0.19, 0.2 |
| 60x60x60 | 60 | 22597 | 3.46x10-14 | 3.5x10-12 | 7.42x10-6 | 0.5 | 0.60 | [-0.19, 0.2 |

3.3. Validation of kMC with the Galvanostatic Map

4. Conclusions and Perspectives
Supplementary Materials
Author Contributions
Data Availability Statement
Acknowledgments
Conflicts of Interest
Abbreviations
| kMC | Kinetic Monte Carlo |
| LIBs | Lithium-ion batteries |
| SPM | Single-particle model |
| SoC | State-of-Charge |
| SI | Supplementary Information |
References
- M.P. Mercer, S. Affleck, E.M. Gavilán-Arriazu, A.A. Zülke, P.A. Maughan, S. Trivedi, M. Fichtner, A. Reddy Munnangi, E.P.M. Leiva, H.E. Hoster, Sodiation Of Hard Carbon: How Separating Enthalpy And Entropy Contributions Can Find Transitions Hidden In The Voltage Profile, ChemPhysChem 23 (2022). [CrossRef]
- M.P. Mercer, M. Nagarathinam, E.M. Gavilán-Arriazu, A. Binjrajka, S. Panda, H. Au, M. Crespo-Ribadeneyra, M.M. Titirici, E.P.M. Leiva, H.E. Hoster, Sodiation energetics in pore size controlled hard carbons determined via entropy profiling, J Mater Chem A Mater 11 (2023) 6543–6555. [CrossRef]
- H. Au, H. Alptekin, A.C.S. Jensen, E. Olsson, C.A. O’keefe, T. Smith, M. Crespo-Ribadeneyra, T.F. Headen, C.P. Grey, Q. Cai, A.J. Drew, M.-M. Titirici, A revised mechanistic model for sodium insertion in hard carbons Electronic Supplementary Material (ESI) for Energy, 2020.
- E.M. Gavilán-Arriazu, A. Ruderman, F. Fernandez, I. Baskin, R.G. Fedorov, J. Schlaier, S. Maletti, C. Heubner, A. Michaelis, Y. Ein-Eli, E.P.M. Leiva, Towards a universal model for assessing the performance of battery materials at the level of single-particle behavior, Electrochim Acta 523 (2025). [CrossRef]
- E.M. Gavilán-Arriazu, D.E. Barraco, E.P.M. Leiva, On how interactions influence kinetic limitations in alkali-ion batteries. Application to Li-ion intercalation into graphite through voltammetric experiments, Journal of Solid State Electrochemistry 25 (2021) 2793–2806. [CrossRef]
- E.M. Gavilán-Arriazu, D.E. Barraco, Y. Ein-Eli, E.P.M. Leiva, Fast charging of alkali-ion batteries at the single-particle level: the impact of particle geometry on diffusional and kinetic bottlenecks in voltammetry, Journal of Solid State Electrochemistry 26 (2022) 1995–2003. [CrossRef]
- E.M. Gavilán-Arriazu, D.E. Barraco, Y. Ein-Eli, E.P.M. Leiva, Galvanostatic Fast Charging of Alkali-Ion Battery Materials at the Single-Particle Level: A Map-Driven Diagnosis, ChemPhysChem 24 (2023). [CrossRef]
- F. Fernandez, E.M. Gavilán-Arriazu, A. Ruderman, D. Barraco, Y. Ein-Eli, E.P.M. Leiva, On the influence of ion interactions on the predictions of a non-interacting model applied to evaluate lithium-ion battery materials, Journal of Solid State Electrochemistry (2024). [CrossRef]
- F. Fernandez, E.M. Gavilán-Arriazu, D.E. Barraco, A. Visintin, Y. Ein-Eli, E.P.M. Leiva, Towards a fast-charging of LIBs electrode materials: a heuristic model based on galvanostatic simulations, Electrochim Acta 464 (2023) 142951. [CrossRef]
- E.M. Gavilán-Arriazu, M.P. Mercer, O.A. Pinto, O.A. Oviedo, D.E. Barraco, H.E. Hoster, E.P.M. Leiva, Numerical simulations of cyclic voltammetry for lithium-ion intercalation in nanosized systems: finiteness of diffusion versus electrode kinetics, Journal of Solid State Electrochemistry 24 (2020) 3279–3287. [CrossRef]
- E.M. Gavilán-Arriazu, M.P. Mercer, D.E. Barraco, H.E. Hoster, E.P.M. Leiva, Voltammetric Behaviour of LMO at the Nanoscale: A Map of Reversibility and Diffusional Limitations, ChemPhysChem 23 (2022). [CrossRef]
- Ruderman, E.M. Gavilán Arriazu, F. Fernández, Y. Ein Eli, E. Leiva, Galvanostatic performance of single-particle Li-ion battery materials: a rapid diagram diagnosis assisted by a Python / C++ software, Phys Scr (2024). [CrossRef]
- E.M. Gavilán-Arriazu, M.P. Mercer, D.E. Barraco, H.E. Hoster, E.P.M. Leiva, Kinetic Monte Carlo simulations applied to Li-ion and post Li-ion batteries: A key link in the multi-scale chain, Progress in Energy 3 (2021). [CrossRef]
- F. Fernandez, E.M. Gavilán-Arriazu, M. Otero, Material design modelling for optimisation of lithium battery fast charging, Journal of Solid State Electrochemistry (2024). [CrossRef]
- L. Morgan, M. Mercer, A. Bhandari, C. Peng, M.M. Islam, H. Yang, J.O. Holland, S.W. Coles, R. Sharpe, A. Walsh, B.J. Morgan, D. Kramer, S.M. Islam, H. Hoster, J.S. Edge, C.-K. Skylaris, Pushing the boundaries of lithium battery research with atomistic modelling on different scales, Progress in Energy (2021). [CrossRef]
- F. Röder, R.D. Braatz, U. Krewer, Multi-Scale Simulation of Heterogeneous Surface Film Growth Mechanisms in Lithium-Ion Batteries, J Electrochem Soc 164 (2017) E3335–E3344. [CrossRef]
- M. Gerasimov, F.A. Soto, J. Wagner, F. Baakes, N. Guo, F. Ospina-Acevedo, F. Röder, P.B. Balbuena, U. Krewer, Species Distribution During Solid Electrolyte Interphase Formation on Lithium Using MD/DFT-Parameterized Kinetic Monte Carlo Simulations, Journal of Physical Chemistry C 127 (2023) 4872–4886. [CrossRef]
- L. Katzenmeier, M. Gößwein, A. Gagliardi, A.S. Bandarenka, Modeling of Space-Charge Layers in Solid-State Electrolytes: A Kinetic Monte Carlo Approach and Its Validation, Journal of Physical Chemistry C 126 (2022) 10900–10909. [CrossRef]
- G. Blanquer, Y. Yin, M.A. Quiroga, A.A. Franco, Modeling Investigation of the Local Electrochemistry in Lithium-O 2 Batteries: A Kinetic Monte Carlo Approach , J Electrochem Soc 163 (2016) A329–A337. [CrossRef]
- V. Thangavel, O.X. Guerrero, M. Quiroga, A.M. Mikala, A. Rucci, A.A. Franco, A three dimensional kinetic Monte Carlo model for simulating the carbon/sulfur mesostructural evolutions of discharging lithium sulfur batteries, Energy Storage Mater 24 (2020) 472–485. [CrossRef]
- C. Hin, Kinetic monte carlo simulations of anisotropic lithium intercalation into LixFePO4 electrode nanocrystals, Adv Funct Mater 21 (2011) 2477–2487. [CrossRef]
- T.O. Drews, R.D. Braatz, R.C. Alkire, Monte Carlo simulation of kinetically limited electrodeposition on a surface with metal seed clusters, Zeitschrift Fur Physikalische Chemie 221 (2007) 1287–1305. [CrossRef]
- X. He, F. Cheng, Z.X. Chen, The Lattice Kinetic Monte Carlo Simulation of Atomic Diffusion and Structural Transition for Gold, Sci Rep 6 (2016). [CrossRef]
- L. Kunz, F.M. Kuhn, O. Deutschmann, Kinetic Monte Carlo simulations of surface reactions on supported nanoparticles: A novel approach and computer code, Journal of Chemical Physics 143 (2015). [CrossRef]
- H.J. Chun, V. Apaja, A. Clayborne, K. Honkala, J. Greeley, Atomistic Insights into Nitrogen-Cycle Electrochemistry: A Combined DFT and Kinetic Monte Carlo Analysis of NO Electrochemical Reduction on Pt(100), ACS Catal 7 (2017) 3869–3882. [CrossRef]
- V.I. Tokar, H. Dreyssé, Accelerated kinetic Monte Carlo algorithm for diffusion-limited kinetics, Phys Rev E Stat Nonlin Soft Matter Phys 77 (2008). [CrossRef]
- F.M. Bulnes, V.D. Pereyra, J.L. Riccardo, Collective surface diffusion: n-fold way kinetic Monte Carlo simulation, 1998.
- C. Uebing, R. Gomer, Diffusion of Interacting Lattice Gases on Homogeneous Surfaces, n.d.
- C. Uebing, R. Gomer, A Monte Carlo study of surface diffusion coefficients in the presence of adsorbate-adsorbate interactions. I. Repulsive interactions, J Chem Phys 95 (1991) 7626–7635. [CrossRef]
- C. Uebing, R. Gomer, Surface diffusion in the presence of phase transitions Monte Carlo studies of a simple lattice gas model, 1995.
- E.M. Gavilán-Arriazu, M.P. Mercer, O.A. Pinto, O.A. Oviedo, D.E. Barraco, H.E. Hoster, E.P.M. Leiva, Effect of Temperature on The Kinetics of Electrochemical Insertion of Li-Ions into a Graphite Electrode Studied by Kinetic Monte Carlo, J Electrochem Soc 167 (2020) 013533. [CrossRef]
- E.M. Gavilán-Arriazu, O.A. Pinto, B.A. López de Mishima, D.E. Barraco, O.A. Oviedo, E.P.M. Leiva, Kinetic Monte Carlo applied to the electrochemical study of the Li-ion graphite system, Electrochim Acta 331 (2020) 135439. [CrossRef]
- E.M. Gavilán-Arriazu, O.A. Pinto, B.A. López de Mishima, D.E. Barraco, O.A. Oviedo, E.P.M. Leiva, The kinetic origin of the Daumas-Hérold model for the Li-ion/graphite intercalation system, Electrochem Commun 93 (2018) 133–137. [CrossRef]
- C. Montella, Discussion of the potential step method for the determination of the diffusion coefficients of guest species in host materials Part I. Influence of charge transfer kinetics and ohmic potential drop, 2002. www.elsevier.com/locate/jelechem.
- K. Aoki, K. Tokuda, H. Matsuda, Theory of linear sweep voltammetry with finite diffusion space. Part II. Totally irreversible and quasi-reversible cases, Journal of Electroanalytical Chemistry 160 (1984) 33–45.
- N. Kuwata, M. Nakane, T. Miyazaki, K. Mitsuishi, J. Kawamura, Lithium diffusion coefficient in LiMn2O4 thin films measured by secondary ion mass spectrometry with ion-exchange method, Solid State Ion 320 (2018) 266–271. [CrossRef]
- K.A. Fichthorn, W.H. Weinberg, Theoretical Foundations of Dynamical Monte Carlo Simulations, J. Chem. Phys. 95 (1991) 1090–1096. [CrossRef]
- Van Der Ven, Z. Deng, S. Banerjee, S.P. Ong, Rechargeable Alkali-Ion Battery Materials: Theory and Computation, Chem Rev 120 (2020) 6977–7019. [CrossRef]
- S.J. Mitchell, G. Brown, P.A. Rikvold, Dynamics of Br electrosorption on single-crystal Ag(100): a computational study, 2000. www.elsevier.nl/locate/jelechem.
- R.P. Brent, Algorithms for minimization without derivatives, Courier Corporation, 2013.
- H. Mehrer, Diffusion in Solids, Springer Berlin Heidelberg, Berlin, Heidelberg, 2007. [CrossRef]
- D.A. Reed, G. Ehrlich, Surface diffusion, atomic jump rates and thermodynamics, Surf Sci 102 (1981) 588–609. [CrossRef]
- A.J. Bard, L.R. Faulkner, Electrochemical methods : fundamentals and applications, n.d.
- E.J.F. Dickinson, A.J. Wain, The Butler-Volmer equation in electrochemical theory: Origins, value, and practical application, Journal of Electroanalytical Chemistry 872 (2020). [CrossRef]
- K. Toyoura, Y. Koyama, A. Kuwabara, F. Oba, I. Tanaka, First-principles approach to chemical diffusion of lithium atoms in a graphite intercalation compound, Phys Rev B Condens Matter Mater Phys 78 (2008). [CrossRef]









| Material | [C] | [Å] | [cm2 / s] | [cm / s] | |||||
|---|---|---|---|---|---|---|---|---|---|
| A | 1.282x10-15 | 20 | 31500 | 3.5 x 10-12 | 0.5 | 0.636 | -0.5 | -1 | |
| B | 4.325x10-15 | 30 | 9980 | 3.5 x 10-12 | 0.5 | 0.640 | -0.19 | -1.147 |
| samples/size | 20x20x20 | 30x30x30 | 40x40x40 |
|---|---|---|---|
| 1 | 4.11 | 2.22 | 1.45 |
| 16 | 1.35 | 0.68 | 0.51 |
| 32 | 1.05 | 0.52 | 0.41 |
| 64 | 0.96 | 0.42 | 0.37 |
Disclaimer/Publisher’s Note: The statements, opinions and data contained in all publications are solely those of the individual author(s) and contributor(s) and not of MDPI and/or the editor(s). MDPI and/or the editor(s) disclaim responsibility for any injury to people or property resulting from any ideas, methods, instructions or products referred to in the content. |
© 2025 by the authors. Licensee MDPI, Basel, Switzerland. This article is an open access article distributed under the terms and conditions of the Creative Commons Attribution (CC BY) license (http://creativecommons.org/licenses/by/4.0/).