Submitted:
07 May 2025
Posted:
08 May 2025
You are already at the latest version
Abstract
Keywords:
1. Introduction
2. Materials and Methods
2.1. Essential Oils Purchase and Chemical Characterization
2.2. Chitosan and Essential Oils-Enriched Chitosan Solutions
1.3. Insects Rearing
1.4. Two-Choices Behavioral Test
1.5. Tomato Consumption by Larvae
1.6. Behavioral Tests on Larvae Aged and Weighted
1.7. Statistical Analyses
3. Results
3.1. Essential Oil (EO) Compositions
3.2. Two-Choices Behavioral Test
1.3. Tomato Consumption by Larvae
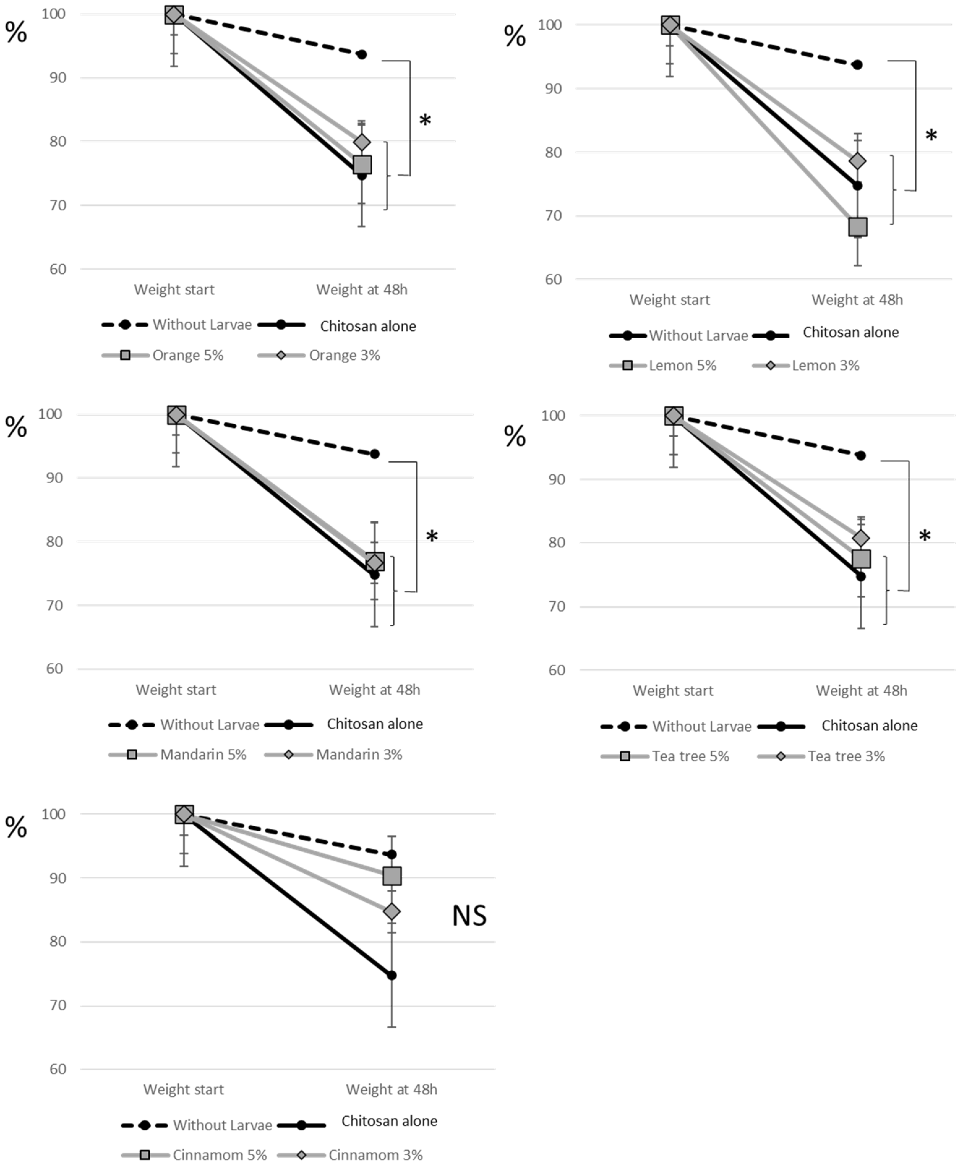
2.4. Behavioral Tests on Larvae Aged and Weighted
4. Discussion
The Repellent Effect of Cinnamon EO
Lack of overall effect of the compound (E)-cinnamaldehyde
Age- and weight-dependent effects of cinnamon EO and (E)-cinnamaldehyde
Time-dependent effect of cinnamon EO and (E)-cinnamaldehyde
5. Conclusions
Author Contributions
Funding
Data Availability Statement
Conflicts of Interest
References
- Abenaim, L.; Conti, B. Chitosan as a Control Tool for Insect Pest Management: A Review. Insects 2023, 14, 949. [Google Scholar] [CrossRef] [PubMed]
- Adams, R.P. (2007). Identification of essential oil components by gas chromatography/mass spectroscopy. Allured Pub. Corp, Carol Stream, IL, USA.
- Adenuga A., H. , Muhammad-Lawal A., Rotimi O. A (2013). Economics and Technical Efficiency of Dry Season Tomato Production in Selected Areas in Kwara State, Nigeria. Agris on-line Papers in Economics and Informatics. 1.
- Ascrizzi, R. , Flamini G., Bedini S., Tani C., Giannotti P., Lombardi T., Conti B., Fraternale D (2021). Ferulago campestris Essential Oil as Active Ingredient in Chitosan Seed-Coating: Chemical Analyses, Allelopathic Effects, and Protective Activity against the Common Bean Pest Acanthoscelides obtectus. Agronomy. ;11:1578. [CrossRef]
- Badeke, E.; Haverkamp, A.; Hansson, B.S. ; Sachse, S (2016). A challenge for a male noctuid moth? Discerning the female sex pheromone against the background of plant volatiles. Front. Physiol., 7, 143.
- Bagni, T. , Siaussat D. ( 2024). The effect of developmental temperature on olfaction in a moth revealed by its interaction with body mass. Communications Biology 7, 1133. [CrossRef]
- Burdock, G. A (2009). Fenaroli’s Handbook of Flavor Ingredients; VI.; CRC Press: Boca Raton, FL (USA), ISBN 9781420090772.
- CABI (2020). Spodoptera littoralis (cotton leafworm), in: CAB International. Wallingford, UK.
- Casariego, A.; Souza, B.W.S.; Vicente, A.A.; Teixeira, J.A.; Cruz, L. ; Díaz, R (2008). Chitosan coating surface properties as affected by plasticizer, surfactant and polymer concentrations in relation to the surface properties of tomato and carrot. Food Hydrocoll. 1452; 22. [Google Scholar]
- Conchou L, Lucas P, Deisig N, Demondion E, Renou M (2021). Effects of Multi-Component Backgrounds of Volatile Plant Compounds on Moth Pheromone Perception Insects ;12(5):409. 1 May. [CrossRef]
- Deletre, E. , Chandre F. ( Cuminum cyminum and Cinnamomum zeylanicum essential oils against Anopheles gambiae and prospects for their use as bednet treatments. Parasites Vectors 8, 316. [CrossRef]
- Djebbi, T. , Ascrizzi R., Bedini S., Farina P., Sanmartin C., Mediouni Ben Jemâa J., Bozzini M.F., Flamini G., Conti B. (2024). Physicochemical and repellent properties of chitosan films loaded with essential oils for producing an active packaging effective against the food pest Sitophilus oryzae. Journal of Stored Products Research 106, 102297. [CrossRef]
- EFSA (European Food Safety Authority), Barthélémy E, Bolognesi C, Castle L, Crebelli R, Di Consiglio E, Franz R, Grob K, Hellwig N, Lambré C, Lampi E, Merkel S, Milana MR and Rivière G (2023). Principles that could be applicable to the safety assessment of the use of mixtures of natural origin to manufacture food contact materials. EFSA supporting publication 2023:EN-8409. 32 pp. [CrossRef]
- FAO1-https://www.fao.
- FAO2-https://www.fao.org/3/I8167EN/i8167en.
- FAO3-https://www.fao.org/fileadmin/user_upload/sap/docs/Post-harvest%20losses%20along%20value%20and%20supply%20chains%20in%20the%20Pacific%20Island%20Countries.
- Farag SM, Moustafa MAM, Fónagy A, Kamel OMHM, Abdel-Haleem DR (2024). Chemical composition of four essential oils and their adulticidal, repellence, and field oviposition deterrence activities against Culex pipiens L. (Diptera: Culicidae). Parasitol Res. Jan 25;123(1):110. [CrossRef]
- Farina, P.; Ascrizzi, R.; Bedini, S.; Castagna, A.; Flamini, G.; Macaluso, M.; Mannucci, A.; Pieracci, Y.; Ranieri, A.; Sciampagna, M.C.; et al. (2022). Chitosan and Essential Oils Combined for Beef Meat Protection against the Oviposition of Calliphora vomitoria,Water Loss, Lipid Peroxidation, and Colour Changes. Foods 11, 3994. [CrossRef]
- Fouad, H.A. , da Camara C.A.G. (2017). Chemical composition and bioactivity of peel oils from Citrus aurantiifolia and Citrus reticulata and enantiomers of their major constituent against Sitophilus zeamais (Coleoptera: Curculionidae). Journal of Stored Products Research 73, 30-36. [CrossRef]
- FrEsh fooD sustainable pacKaging In The circular economy https://fedkito.agr.unipi.
- Goka, M. G. , Dufrechou, M. ( 3(5), 40–45. [CrossRef]
- Guesmi, F. , Amari R., Ajmi I.S., Athmouni K., Hfaiedh N., Allagui M.S., Mediouni Ben Jemâa J., Landouls A. (2024). Promising bioinsecticidal effect of Tunisian Anethum graveolens L. (dill) (Umbelliferae) essential oil against confused flour beetle, Tribolium confusum Jaquelin du Val. 1863 (Coleoptera: Tenebrionidae), Journal of Stored Products Research 106, 102273. [CrossRef]
- Hansson, B.S.; Stensmyr, M. C (2011). Evolution of insect olfaction. 72.
- Khan, A.A., G. Qadar, A.A. Abro and M. Awais. (2023). Tomato yield losses due to attack of Hinks, C.F., Byers, J.R., 1976. Biosystematics of the genus Euxoa (Lepidoptera: Noctuidae): V. Rearing procedures, and life cycles of 36 species. Can. Entomol. 108, 1345–1357. 10.4039/Ent1081345-12 insects/pests in Pakkhal Valley of District Mansehra Khyber Pakhtunkhwa, Pakistan. Sarhad Journal of Agriculture, 39(1): 21-28.
- Malbert-Colas, A. , Drozdz T., Massot M., Bagni T. Chertemps T., Maria A., Maïbèche M., Siaussat D. (2020). Effects of low concentrations of deltamethrin are dependent on developmental stages and sexes in the pest moth Spodoptera littoralis. Environmental Science and Pollution Research 27, 41893-41901. [CrossRef]
- Naika, S. , de Jeude, J., de Goffau, M., Hilmi, M. and van Dam, B. (2005) Cultivation of tomato: Production, processing and marketing. Agromisa Foundation and CTA, Wageningen, Netherlands.
- Narayanankutty A, Kunnath K, Alfarhan A, Rajagopal R, Ramesh V (2021). Chemical Composition of Cinnamomum verum Leaf and Flower Essential Oils and Analysis of Their Antibacterial, Insecticidal, and Larvicidal Properties. Molecules. Oct 19;26(20):6303. [CrossRef]
- National Institute of Standards and Technology, NIST (2014). NIST/EPA/NIH Mass Spectral Library, NIST Standard Reference Database Number 69. The NIST Mass Spectrometry Data Center, Gaithersburg, MD, USA.
- Nerio, L. S. , Olivero-Verbel, J., & Stashenko, E. (2010). Repellent activity of essential oils: A review. Bioresource Technology, 101(1), 372-378.
- Parichanon, P. , Ascrizzi, R. ( Current Opinion in Green and Sustainable Chemistry, 103132. [CrossRef]
- Peng, Y. ; Li, Y (2014). Combined effects of two kinds of essential oils on physical, mechanical and structural properties of chitosan films. Food Hydrocoll., 36, 287–293.
- Pineda, M. , Alves E.L.d.A., Antunes J.A., Carvalho V.d.C., Haddi K. (2023). Low concentrations of eucalyptus essential oil induce age, sex, and mating status-dependent stimulatory responses in drosophila suzukii. Agriculture 13, 404. [CrossRef]
- Ren Y, Wang T, Jiang Y, Chen D, Zuo W, Guo J, Jin D (2022). Behavioral Response, Fumigation Activity, and Contact Activity of Plant Essential Oils Against Tobacco Beetle (Lasioderma serricorne (F.). Front Chem. Mar 24:10:880608. eCollection 2022. [CrossRef]
- Revadi SV, Giannuzzi VA, Rossi V, Hunger GM, Conchou L, Rondoni G, Conti E, Anderson P, Walker WB, Jacquin-Joly E, Koutroumpa F, Becher PG (2021). Stage-specific expression of an odorant receptor underlies olfactory behavioral plasticity in Spodoptera littoralis larvae. BMC Biol. Oct 28;19:231. [CrossRef]
- Soltani A, Haouel-Hamdi S, Sadraoui Ajmi I, Djebbi T, Ben Abada M, Yangui I, Chouachi N, Hassine K, Majdoub H, Messaoud C, Mediouni Ben Jemâa (2023). Insights for the control of dried-fruit beetle Carpophilus hemipterus (Nitidulidae) using rosemary essential oil loaded in chitosan nanoparticles. J. Int J Environ Health Res. Dec;33(12):1243-1253. Epub 2022 Jun 2. [CrossRef]
- Szelényi, M. O, Erdei A.L, Jósvai J.K, Radványi D, Sümegi B, Vétek G, Molnár B.P, Kárpáti Z (2020). Essential Oil Headspace Volatiles Prevent Invasive Box Tree Moth (Cydalima perspectalis) Oviposition-Insights from Electrophysiology and Behaviour Insects. Jul 23;11(8):465. [CrossRef]
- Yang Y, Isman M, Tak JH (2020). Insecticidal Activity of 28 Essential Oils and a Commercial Product Containing Cinnamomum cassia Bark Essential Oil against Sitophilus zeamais Motschulsky. Insects. Jul 27;11(8):474. [CrossRef]






| Compounds | l.r.i.1 | Relative abundance (%)2 | ||||
|---|---|---|---|---|---|---|
| Cinnamomum verum J.Presl | Citrus limon (L.) Osbeck | Citrus reticulata Blanco | Citrus sinensis (L.) Osbeck | Melaleuca alternifolia Cheel | ||
| α-thujene | 931 | -3 | 0.2 | 0.5 | - | 0.3 |
| α-pinene | 941 | - | 1.4 | 1.5 | 0.4 | 1.0 |
| benzaldehyde | 959 | 0.4 | - | - | - | - |
| sabinene | 976 | - | 1.1 | 0.1 | 0.2 | 0.2 |
| β-pinene | 982 | - | 10.1 | 1.4 | - | 0.3 |
| myrcene | 993 | - | 1.0 | 0.9 | 1.2 | - |
| octanal | 1001 | - | - | - | 0.2 | - |
| α-terpinene | 1018 | - | 0.2 | 0.2 | - | 0.9 |
| p-cymene | 1027 | - | 0.8 | 0.4 | - | 9.6 |
| limonene | 1032 | - | 64.2 | 71.6 | 93.7 | 0.5 |
| 1,8-cineole | 1034 | - | - | - | - | 2.5 |
| salicylaldehyde | 1047 | 0.2 | - | - | - | - |
| γ-terpinene | 1062 | - | 10.5 | 19.1 | - | 3.5 |
| terpinolene | 1088 | - | 0.3 | 0.4 | - | 0.8 |
| trans-sabinene hydrate | 1095 | - | - | - | - | 0.3 |
| linalool | 1101 | - | - | - | 0.4 | - |
| phenylethyl alcohol | 1112 | 0.2 | - | - | - | - |
| trans-p-mentha-2,8-dien-1-ol | 1121 | - | - | - | 0.4 | - |
| cis-p-mentha-2,8-dien-1-ol | 1122 | - | - | - | 0.5 | 0.2 |
| cis-p-menth-2-en-1-ol | 1124 | - | - | - | - | 0.3 |
| cis-limonene oxide | 1134 | - | - | - | 0.4 | - |
| trans-p-menth-2-en-1-ol | 1140 | - | - | - | - | 0.3 |
| trans-limonene oxide | 1141 | - | - | - | 0.4 | - |
| hydrocinnamaldehyde | 1161 | 0.3 | - | - | - | - |
| borneol | 1165 | 0.1 | - | - | - | - |
| 4-terpineol | 1178 | - | - | - | - | 42.7 |
| p-cymen-8-ol | 1183 | - | - | - | - | 0.4 |
| α-terpineol | 1189 | - | - | 0.1 | - | 4.4 |
| decanal | 1204 | - | - | - | 0.5 | - |
| (Z)-cinnamaldehyde | 1217 | 0.2 | - | - | - | - |
| trans-carveol | 1218 | - | - | - | 0.6 | - |
| cis-carveol | 1229 | - | - | - | 0.2 | - |
| neral | 1240 | - | 1.6 | - | - | - |
| carvone | 1244 | - | - | - | 0.9 | - |
| (E)-ascaridol glycol | 1266 | - | - | - | - | 2.3 |
| (E)-cinnamaldehyde | 1268 | 70.1 | - | - | - | - |
| geranial | 1273 | - | 3.3 | - | - | - |
| neryl acetate | 1366 | - | 1.1 | - | - | - |
| α-copaene | 1376 | 1.2 | - | - | - | 0.2 |
| geranyl acetate | 1385 | - | 1.5 | - | - | - |
| methyl N-methyl anthranilate | 1406 | - | - | 2.6 | - | - |
| α-gurjunene | 1410 | - | - | - | - | 0.7 |
| β-caryophyllene | 1420 | 0.3 | 0.2 | 0.2 | - | 0.6 |
| trans-α-bergamotene | 1438 | - | 0.4 | - | - | - |
| α-guaiene | 1439 | - | - | - | - | 0.2 |
| (E)-cinnamyl acetate | 1444 | 2.1 | - | - | - | - |
| aromadendrene | 1445 | - | - | - | - | 2.6 |
| alloaromadendrene | 1461 | 0.3 | - | - | - | 1.3 |
| trans-cadina-1(6),4-diene | 1470 | - | - | - | - | 0.5 |
| γ-muurolene | 1477 | 0.4 | - | - | - | - |
| ar-curcumene | 1483 | 0.2 | - | - | - | - |
| β-selinene | 1485 | - | - | - | - | 0.2 |
| δ-selinene | 1490 | - | - | - | - | 0.4 |
| valencene | 1492 | 0.2 | - | - | - | - |
| viridiflorene | 1496 | - | - | - | - | 3.3 |
| α-muurolene | 1498 | 0.3 | - | - | - | 0.4 |
| (E,E)-α-farnesene | 1507 | - | - | 0.2 | - | - |
| β-bisabolene | 1509 | 0.3 | 2.1 | - | - | - |
| trans-γ-cadinene | 1513 | 0.3 | - | - | - | - |
| (E)-o-methoxy cinnamaldehyde | 1525 | 15.2 | - | - | - | - |
| δ-cadinene | 1526 | 0.8 | - | - | - | 5.0 |
| cadina-1,4-diene | 1534 | - | - | - | - | 0.5 |
| α-calacorene | 1546 | 0.3 | - | - | - | - |
| germacrene B | 1554 | - | - | - | - | 0.3 |
| (E)-nerolidol | 1565 | 0.3 | - | - | - | - |
| palustrol | 1568 | - | - | - | - | 0.3 |
| spathulenol | 1576 | 0.4 | - | - | - | 3.1 |
| caryophyllene oxide | 1581 | 0.5 | - | - | - | - |
| globulol | 1583 | - | - | - | - | 1.8 |
| viridiflorol | 1590 | - | - | - | - | 0.7 |
| guaiol | 1595 | - | - | - | - | 0.7 |
| rosifoliol | 1602 | - | - | - | - | 0.6 |
| tetradecanal | 1614 | 0.3 | - | - | - | - |
| 1-epi-cubenol | 1628 | - | - | - | - | 1.0 |
| isospathulenol | 1639 | - | - | - | - | 0.7 |
| epi-α-cadinol | 1641 | - | - | - | - | 0.7 |
| α-bisabolol | 1683 | 0.3 | - | - | - | - |
| α-sinensal | 1752 | - | - | 0.7 | - | - |
| benzyl benzoate | 1764 | 0.3 | - | - | - | - |
| phenylethyl benzoate | 1860 | 0.2 | - | - | - | - |
| rimuene | 1930 | 0.4 | - | - | - | - |
| pimaradiene | 1941 | 0.3 | - | - | - | - |
| m-camphorene | 1960 | - | - | 0.2 | - | - |
| 13-epi-manoyl oxide | 2010 | 0.1 | - | - | - | - |
| -----------------------------Monoterpene hydrocarbons | - | 89.8 | 96.1 | 95.5 | 17.1 | |
| Oxygenated monoterpenes | 0.1 | 7.5 | 0.1 | 3.8 | 53.3 | |
| Sesquiterpene hydrocarbons | 4.6 | 2.7 | 0.3 | - | 16.2 | |
| Oxygenated sesquiterpenes | 1.5 | - | 0.7 | - | 9.6 | |
| Diterpene hydrocarbons | 0.7 | - | 0.2 | - | - | |
| Oxygenated diterpenes | 0.1 | - | - | - | - | |
| Phenylpropanoids | 87.9 | - | - | - | - | |
| Non-terpene derivatives | 1.6 | - | 2.6 | 0.7 | - | |
| Total identified (%): | 96.5 | 100.0 | 100.0 | 100.0 | 96.2 | |
| 1 Linear retention index on a HP-5MS capillary column; 2 Detection threshold ≥0.1%; 3 Not detected. | ||||||
Disclaimer/Publisher’s Note: The statements, opinions and data contained in all publications are solely those of the individual author(s) and contributor(s) and not of MDPI and/or the editor(s). MDPI and/or the editor(s) disclaim responsibility for any injury to people or property resulting from any ideas, methods, instructions or products referred to in the content. |
© 2025 by the authors. Licensee MDPI, Basel, Switzerland. This article is an open access article distributed under the terms and conditions of the Creative Commons Attribution (CC BY) license (http://creativecommons.org/licenses/by/4.0/).