Submitted:
05 May 2025
Posted:
07 May 2025
You are already at the latest version
Abstract
Keywords:
Introduction
Methods
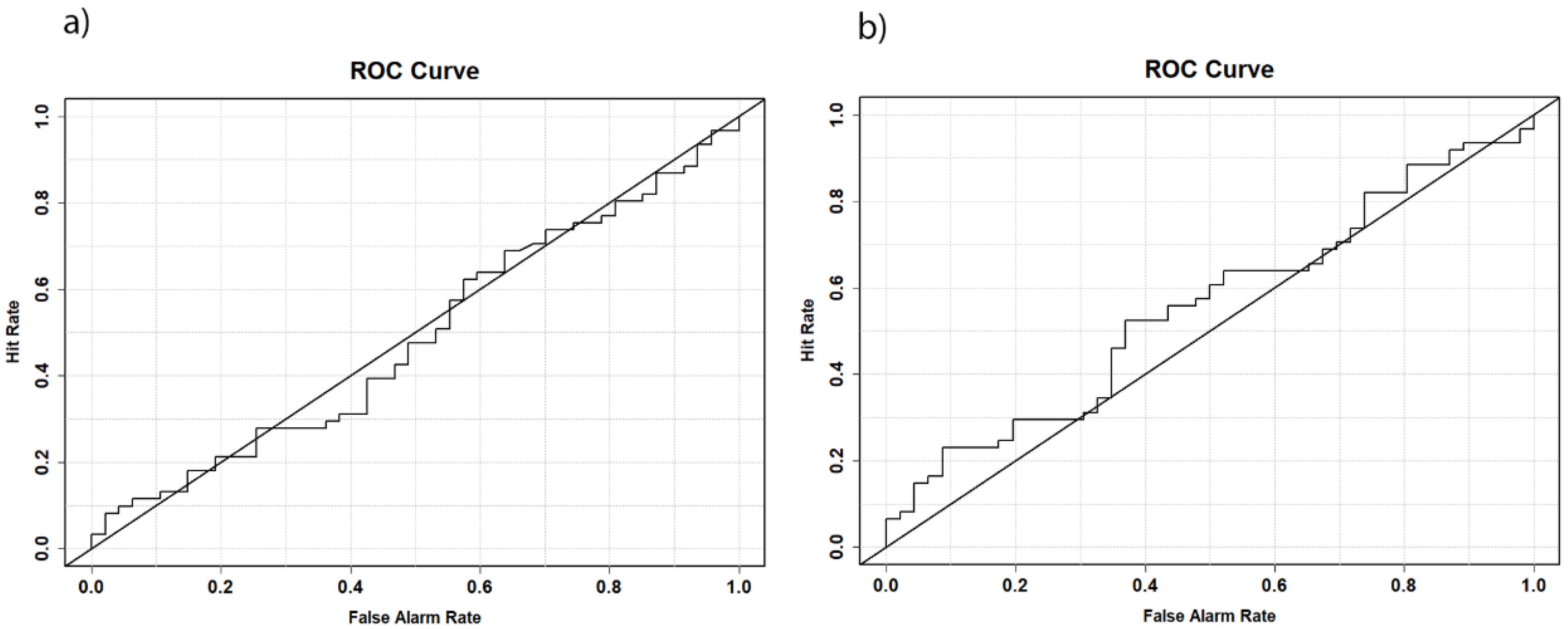
Results
Discussion
The Development of the Lateral Angle During Childhood
Reproducibility of Studies
Limitations of This Study
Conclusions
Supplementary Materials
Funding
Authors’ contributions
Institutional Review Board Statement
Data availability statement
Conflicts of Interest
References
- Afacan, G. O., Onal, T., Akansel, G., & Arslan, A. S. (2017). Is the lateral angle of the internal acoustic canal sexually dimorphic in non-adults? An investigation by routine cranial magnetic resonance imaging. Homo, 68(5), 393-397. [CrossRef]
- Akansel, G., Inan, N., Kurtas, O., Sarisoy, H. T., Arslan, A., & Demirci, A. (2008). Gender and the lateral angle of the internal acoustic canal meatus as measured on computerized tomography of the temporal bone. Forensic Science International, 178(2-3), 93-95. [CrossRef]
- Berner, M. (1988). Das frühbronzezeitliche Gräberfeld von Franzhausen I: demographische und metrische Analyse. (Dissertation). Universität Wien, Wien.
- Bigoni, L., Velemínská, J., & Brůžek, J. (2010). Three-dimensional geometric morphometric analysis of cranio-facial sexual dimorphism in a Central European sample of known sex. Homo, 61(1), 16-32. [CrossRef]
- Bonczarowska, J. H., McWhirter, Z., & Kranioti, E. F. (2021). Sexual dimorphism of the lateral angle: Is it really applicable in forensic sex estimation? Arch Oral Biol, 124, 105052. [CrossRef]
- Breheny, P., & Burchett, W. (2017). Visualization of Regression Models Using visreg. The R Journal, 9(2), 56-71.
- Canty, A., & Ripley, B. D. (2024). boot: Bootstrap R (S-Plus) Functions (Version 1.3-31).
- da Silva, J. C., Strazzi-Sahyon, H. B., Nunes, G. P., Andreo, J. C., Spin, M. D., & Shinohara, A. L. (2023). Cranial anatomical structures with high sexual dimorphism in metric and morphological evaluation: A systematic review. J Forensic Leg Med, 99, 102592. [CrossRef]
- Davison, A. C., & Hinkley, D. V. (1997). Bootstrap Methods and Their Applications. Cambridge: Cambridge University Press.
- Doden, E., & Halves, R. (1984). On the functional morphology of the human petrous bone. American Journal of Anatomy, 169(4), 451-462. [CrossRef]
- Drake, R. L., & Mitchell, A. W. M. (2007). Gray's Anatomie für Studenten (F. Paulsen, Trans. 1st ed.). Munich: Elsevier GmbH.
- Duquesnel Mana, M., Adalian, P., & Lynnerup, N. (2016). Lateral angle and cranial base sexual dimorphism: a morphometric evaluation using computerised tomography scans of a modern documented autopsy population from Denmark. Anthropol Anz, 73(2). [CrossRef]
- Edgar, H. J. H., Daneshvari Berry, S., Moes, E., Adolphi, N. L., Bridges, P., & Nolte, K. B. (2020). New Mexico Decedent Image Database.
- El-sherbeney, S. A.-e. A.-e., Ahmed, E. A., & Ewis, A. A.-e. (2012). Estimation of sex of Egyptian population by 3D computerized tomography of the pars petrosa ossis temporalis. Egyptian Journal of Forensic Sciences, 2(1), 29-32. [CrossRef]
- Frisch, T., Overgaard, S., Sørensen, M. S., & Bretlau, P. (2000). Estimation of Volume Referent Bone Turnover in the Otic Capsule after Sequential Point Labeling. Annals of Otology, Rhinology & Laryngology, 109(1), 33-39. [CrossRef]
- Gilleland, E., Pocernich, M., Wahl, S., & Frenette, R. (2004). verification: Weather Forecast Verification Utilities (Version 1.44).
- Gonçalves, D., Campanacho, V., & Cardoso, H. F. (2011). Reliability of the lateral angle of the internal auditory canal for sex determination of subadult skeletal remains. J Forensic Leg Med, 18(3), 121-124. [CrossRef]
- Gonçalves, D., Thompson, T. J., & Cunha, E. (2015). Sexual dimorphism of the lateral angle of the internal auditory canal and its potential for sex estimation of burned human skeletal remains. Int J Legal Med, 129(5), 1183-1186. [CrossRef]
- Graw, M., Wahl, J., & Ahlbrecht, M. (2005). Course of the meatus acusticus internus as criterion for sex differentiation. Forensic Science International, 147(2-3), 113-117. [CrossRef]
- Holm, S. (1979). A Simple Sequentially Rejective Multiple Test Procedure. Scandinavian Journal of Statistics, 6(2), 65-70.
- Horn, S. (1997). Das Museum des Anatomischen Instituts der Universität Wien - Abschließender Teilbericht zum Projekt "Anatomische Wissenschaften an der Universität Wien 1938-1945. Retrieved from Vienna:.
- Howells, W. W. (1973). Cranial Variation in Man. A Study by Multivariate Analysis of Patterns of Differences Among Recent Human Populations. Papers of the Peabody Museum of Archeology and Ethnology. Cambridge, Mass.: Peabody Museum.
- Howells, W. W. (1989). Skull Shapes and the Map. Craniometric Analyses in the Dispersion of Modern Homo. Papers of the Peabody Museum of Archaeology and Ethnology, 79, 189.
- Howells, W. W. (1995). Who’s Who in Skulls. Ethnic Identification of Crania from Measurements. Papers of the Peabody Museum of Archaeology and Ethnology,, 82, 108.
- Inskip, S., Scheib, C. L., Wohns, A. W., Ge, X., Kivisild, T., & Robb, J. (2019). Evaluating macroscopic sex estimation methods using genetically sexed archaeological material: The medieval skeletal collection from St John's Divinity School, Cambridge. American Journal of Physical Anthropology, 168(2), 340-351. [CrossRef]
- Kozerska, M., Szczepanek, A., Tarasiuk, J., & Wroński, S. (2020). Micro-CT analysis of the internal acoustic meatus angles as a method of sex estimation in skeletal remains. Homo, 71(2), 121-128. [CrossRef]
- Lynnerup, N., Schulz, M., Madelung, A., & Graw, M. (2006). Diameter of the human internal acoustic meatus and sex determination. International Journal of Osteoarchaeology, 16(2), 118-123. [CrossRef]
- Martin, R. (1957). Lehrbuch der Anthropologie in Systematischer Darstellung (3rd edition ed.). Stuttgart: Gustav Fischer Verlag.
- Masotti, S., Pasini, A., & Gualdi-Russo, E. (2019). Sex determination in cremated human remains using the lateral angle of the pars petrosa ossis temporalis: is old age a limiting factor? Forensic Sci Med Pathol, 15(3), 392-398. [CrossRef]
- Masotti, S., Succi-Leonelli, E., & Gualdi-Russo, E. (2013). Cremated human remains: is measurement of the lateral angle of the meatus acusticus internus a reliable method of sex determination? Int J Legal Med, 127(5), 1039-1044.
- Meindl, R. S., Lovejoy, C. O., Mensforth, R. P., & Don Carlos, L. (1985). Accuracy and direction of error in the sexing of the skeleton: implications for paleodemography. American Journal of Physical Anthropology, 68(1), 79-85. [CrossRef]
- Morgan, J., Lynnerup, N., & Hoppa, R. D. (2013). The lateral angle revisited: a validation study of the reliability of the lateral angle method for sex determination using computed tomography (CT). Journal of Forensic Sciences, 58(2), 443-447. [CrossRef]
- Nikita, E. (2014). Age-associated Variation and Sexual Dimorphism in Adult Cranial Morphology: Implications in Anthropological Studies. International Journal of Osteoarchaeology, 24(5), 557-569. [CrossRef]
- Norén, A., Lynnerup, N., Czarnetzki, A., & Graw, M. (2005). Lateral angle: a method for sexing using the petrous bone. American Journal of Physical Anthropology, 128(2), 318-323. [CrossRef]
- Pawlowsky, V. (2001). Mutter ledig - Vater Staat: Das Gebär- und Findelhaus in Wien 1784-1910. . Innsbruck: Studien Verlag.
- Pezo-Lanfranco, L. N., & Haetinger, R. G. (2021). Tomographic-cephalometric evaluation of the pars petrosa of temporal bone as sexing method. Forensic Science International: Reports, 3, 100174. [CrossRef]
- Rösing, F. W., Graw, M., Marré, B., Ritz-Timme, S., Rothschild, M. A., Rötzscher, K., Schmeling, A., Schröder, I., & Geserick, G. (2007). Recommendations for the forensic diagnosis of sex and age from skeletons. Homo, 58, 75-89.
- Schindelin, J., Arganda-Carreras, I., Frise, E., Kaynig, V., Longair, M., Pietzsch, T., Preibisch, S., Rueden, C., Saalfeld, S., Schmid, B., Tinevez, J.-Y., White, D. J., Hartenstein, V., Eliceiri, K., Tomancak, P., & Cardona, A. (2012). Fiji: an open-source platform for biological-image analysis. Nature Methods, 9(7), 676-682. [CrossRef]
- Schutkowski, H., & Herrmann, B. (1983). Zur Möglichkeit der metrischen Geschlechtsdiagnose an der Pars petrosa ossis temporalis. Zeitschrift für Rechtsmedizin, 90(3), 219-227. [CrossRef]
- Stiebitz, R. (1997). Die Schädelsammlung des Valentin Terzer. Österreichische Zahnärzte Zeitung, 6, 32-34.
- Stock, M. K. (2020). Analyses of the postcranial skeleton for sex estimation. In A. R. Klales (Ed.), Sex Estimation of the Human Skeleton - History, Methods, and Emerging Techniques (pp. 113-130). London, Oxford, Boston, New York, San Diego: Academic Press.
- Thermo Fisher Scientific. (2018). Amira 3D Software: Thermo Fisher Scientific.
- Thomas, R. M., Parks, C. L., & Richard, A. H. (2016). Accuracy Rates of Sex Estimation by Forensic Anthropologists through Comparison with DNA Typing Results in Forensic Casework. Journal of Forensic Sciences, 61(5), 1307-1310. [CrossRef]
- Thompson, J. E., Inskip, S. A., Scheib, C. L., Bates, J., Ge, X., Griffith, S. J., Wohns, A. W., & Robb, J. E. (2024). Test of the lateral angle method of sex estimation on Anglo-Saxon and medieval archaeological populations with genetically estimated sex. Archaeometry, 66(2), 445-457. [CrossRef]
- Wahl, J. (1981). Ein Beitrag zur metrischen Geschlechtsdiagnose verbrannter und unverbrannter menschlicher Knochenreste—ausgearbeitet an der Pars petrosa ossis temporalis. Zeitschrift für Rechtsmedizin, 86(2), 79-101. [CrossRef]
- Wahl, J., & Graw, M. (2001). Metric sex differentiation of the pars petrosa ossis temporalis. Int J Legal Med, 114(4-5), 215-223. [CrossRef]
- Waltenberger, L., Heimel, P., Skerjanz, H., Tangl, S., Verdianu, D., & Rebay-Salisbury, K. (2024). Lateral angle: A landmark-based method for the sex estimation in human cremated remains and application to an Austrian prehistoric sample. American Journal of Biological Anthropology, 184(1), e24874. [CrossRef]
- Wickham, H. (2016). ggplot2: Elegant Graphics for Data Analysis. New York: Springer-Verlag.




| Sample composition | |||||||
| Age at death | |||||||
| sex | n | mean | sd | median | min | max | |
| Vienna | male | 30 | 3.8 | 2.6 | 3.3 | 0.1 | 11.0 |
| female | 20 | 4.6 | 3.3 | 4.0 | 0.1 | 17.0 | |
| Graz | male | 23 | 11.7 | 6.2 | 11.0 | 3.0 | 21.0 |
| female | 18 | 9.3 | 4.3 | 8.5 | 3.0 | 18.0 | |
| Terzer | male | 8 | 2.0 | 3.7 | 0.8 | 0.1 | 11.0 |
| female | 9 | 0.7 | 0.5 | 0.5 | 0.2 | 1.5 | |
| NMDID | male | 45 | 20.8 | 5.3 | 21.0 | 12.0 | 30.0 |
| female | 51 | 20.9 | 5.5 | 21.0 | 12.0 | 30.0 | |
| Lateral angle | |||||||
| sex | n | mean | sd | median | min | max | |
| Vienna | male | 30 | 40.3 | 7.1 | 39.9 | 26.7 | 53.3 |
| female | 20 | 41.5 | 6.0 | 42.4 | 31.9 | 50.5 | |
| Graz | male | 23 | 37.1 | 5.7 | 37.5 | 25.8 | 48.0 |
| female | 18 | 35.4 | 5.7 | 34.6 | 27.0 | 46.2 | |
| Terzer | male | 8 | 45.1 | 9.2 | 48.6 | 29.3 | 56.0 |
| female | 9 | 45.9 | 5.2 | 47.8 | 35.3 | 53.2 | |
| Biauricular breadth | |||||||
| sex | n | mean | sd | median | min | max | |
| Vienna | male | 30 | 98.2 | 13.0 | 100.0 | 58.9 | 114.1 |
| female | 20 | 100.7 | 9.4 | 100.0 | 70.0 | 116.6 | |
| Graz | male | 23 | 114.8 | 11.5 | 114.5 | 95.7 | 134.4 |
| female | 18 | 108.9 | 8.8 | 109.8 | 94.4 | 125.6 | |
| Terzer | male | 8 | 79.2 | 14.2 | 76.6 | 62.0 | 110.7 |
| female | 9 | 73.6 | 7.6 | 71.7 | 65.0 | 90.4 | |
| NMDID | male | 45 | 124.5 | 5.4 | 123.6 | 114.3 | 140.3 |
| female | 51 | 118.9 | 3.4 | 118.6 | 110.3 | 129.2 | |
Disclaimer/Publisher’s Note: The statements, opinions and data contained in all publications are solely those of the individual author(s) and contributor(s) and not of MDPI and/or the editor(s). MDPI and/or the editor(s) disclaim responsibility for any injury to people or property resulting from any ideas, methods, instructions or products referred to in the content. |
© 2025 by the authors. Licensee MDPI, Basel, Switzerland. This article is an open access article distributed under the terms and conditions of the Creative Commons Attribution (CC BY) license (http://creativecommons.org/licenses/by/4.0/).