Submitted:
02 May 2025
Posted:
06 May 2025
You are already at the latest version
Abstract
Keywords:
Background
Materials and Methods
Data Acquisition
Preprocessing
Quality Control and Data Visualization
Differential Expression Analysis
Selection of Top miRNAs
Biological Function Analysis
Statistical Analysis
Results
Differential miRNA Expression Between HCC and Other Biopsies
Limma Analysis
Heatmap Analysis
Volcano Plot Interpretation
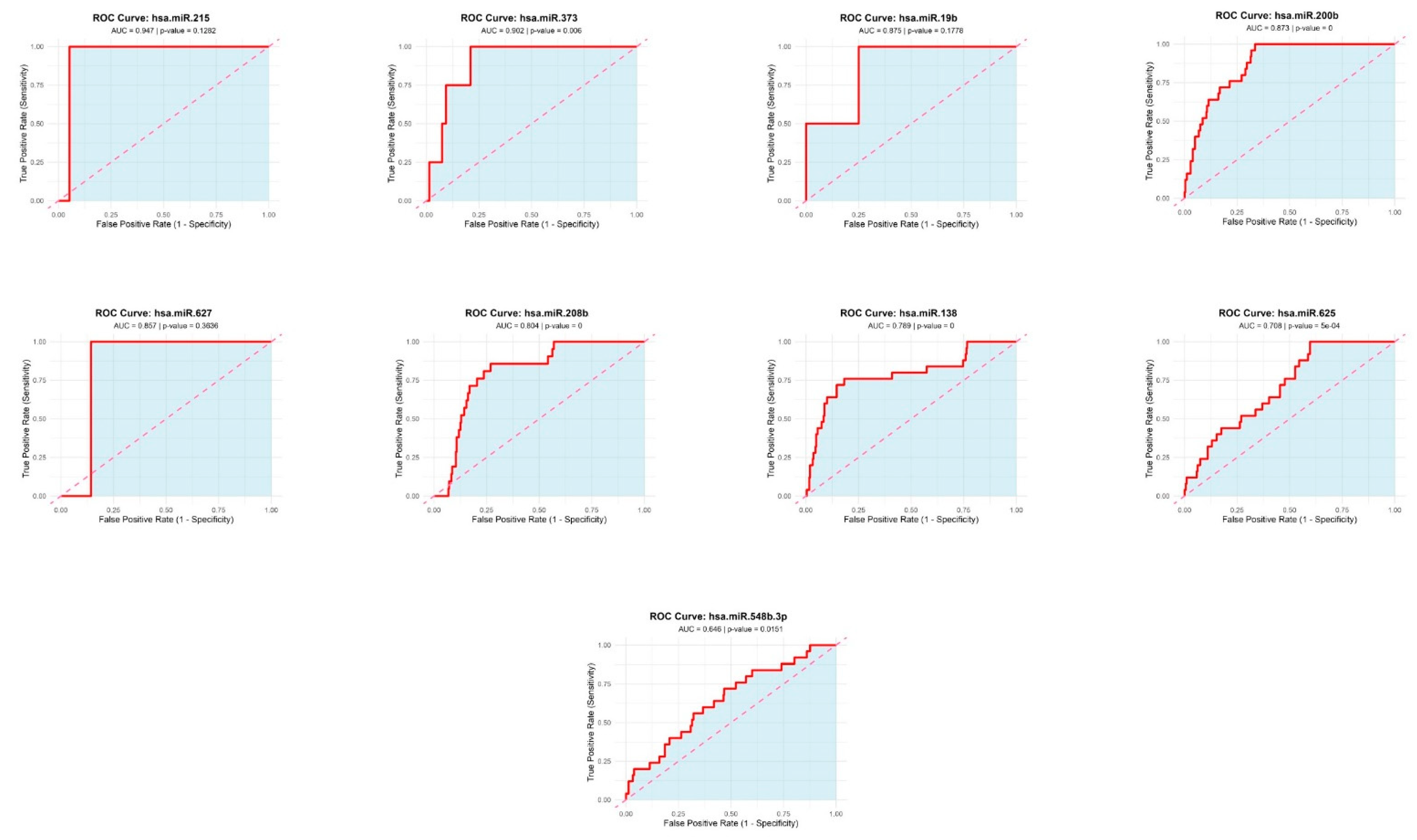
Feature Selection and Biomarker Identification
Diagnostic Performance of Candidate miRNAs
Differential miRNA Expression between HCC and Cirrhosis
Limma Analysis
Heatmap Analysis
Volcano Plot Interpretation
Discussion
Funding
Conflict of Interest
Data Availability
Animal Studies
Acknowledgments
Authors’ Contributions
References
- D’Abundo L, Bassi C, Callegari E, Moshiri F, Guerriero P, Michilli A, et al. Circulating microRNAs as biomarkers for stratifying different phases of liver cancer progression and response to therapy. Scientific Reports. 2024;14:18551. [CrossRef]
- Alemayehu E, Belete MA, Walle M, Getu F, Mulatie Z, Teshome M, et al. Diagnostic accuracy of circulating miRNAs to discriminate hepatocellular carcinoma from liver cirrhosis: a systematic review and meta-analysis. Frontiers in Medicine. 2024;11:1359414. [CrossRef]
- Colaianni F, Zelli V, Compagnoni C, Miscione MS, Rossi M, Vecchiotti D, et al. Role of Circulating microRNAs in Liver Disease and HCC: Focus on miR-122. Genes. 2024;15:1313. [CrossRef]
- Jang JW, Kim JM, Kim HS, Kim JS, Han JW, Lee SK, et al. Diagnostic performance of serum exosomal miRNA-720 in hepatocellular carcinoma. Journal of liver cancer. 2022;22:30-9. [CrossRef]
- Wang S, Yang Y, Sun L, Qiao G, Song Y, Liu B. Exosomal microRNAs as liquid biopsy biomarkers in hepatocellular carcinoma. OncoTargets and therapy. 2020:2021-30. [CrossRef]
- Yang J, Dong W, Zhang H, Zhao H, Zeng Z, Zhang F, et al. Exosomal microRNA panel as a diagnostic biomarker in patients with hepatocellular carcinoma. Frontiers in Cell and Developmental Biology. 2022;10:927251. [CrossRef]
- Sharafeldin MA, Suef RA, Mousa AA, Ziada DH, Farag MM. Serum miRNA-101 expression signature as non-invasive diagnostic biomarker for Hepatitis C virus—associated hepatocellular carcinoma in Egyptian patients. Scientific Reports. 2025;15:645. [CrossRef]
- Eldosoky MA, Hammad R, Elmadbouly AA, Aglan RB, AbdelHamid SG, Alboraie M, et al. Diagnostic significance of hsa-miR-21-5p, hsa-miR-192-5p, hsa-miR-155-5p, hsa-miR-199a-5p panel and ratios in hepatocellular carcinoma on top of liver cirrhosis in HCV-infected patients. International journal of molecular sciences. 2023;24:3157. [CrossRef]
- Mallela VR, Rajtmajerová M, Trailin A, Liška V, Hemminki K, Ambrozkiewicz F. miRNA and lncRNA as potential tissue biomarkers in hepatocellular carcinoma. Non-coding RNA research. 2024;9:24-32. [CrossRef]
- Lv Y, Sun X. Role of miRNA in pathogenesis, diagnosis, and prognosis in hepatocellular carcinoma. Chemical Biology & Drug Design. 2024;103:e14352.
- Vincent M, Perell K, Nielsen FC, Daugaard G, Hansen NR. Modeling tissue contamination to improve molecular identification of the primary tumor site of metastases. Bioinformatics. 2014;30:1417-23. [CrossRef]
- Zhou X, Zhang C, Lu S, Chen G, Li L, Liu L, et al. miR-625 suppresses tumour migration and invasion by targeting IGF2BP1 in hepatocellular carcinoma. Oncogene. 2015;34:965-77. [CrossRef]
- Liu C, Zhu J, Liu F, Wang Y, Zhu M. MicroRNA-138 targets SP1 to inhibit the proliferation, migration and invasion of hepatocellular carcinoma cells. Oncology Letters. 2018;15:1279-86.
- Qiu H, Zhang G, Song B, Jia J. MicroRNA-548b inhibits proliferation and invasion of hepatocellular carcinoma cells by directly targeting specificity protein 1. Experimental and therapeutic medicine. 2019;18:2332-40. [CrossRef]
- Fu X, Calin GA. miR-122 and hepatocellular carcinoma: from molecular biology to therapeutics. EBioMedicine. 2018;37:17-8. [CrossRef]
- Guo X, Lv X, Lv X, Ma Y, Chen L, Chen Y. Circulating miR-21 serves as a serum biomarker for hepatocellular carcinoma and correlated with distant metastasis. Oncotarget. 2017;8:44050. [CrossRef]
- Koustas E, Trifylli E-M, Sarantis P, Papadopoulos N, Papanikolopoulos K, Aloizos G, et al. An insight into the arising role of MicroRNAs in hepatocellular carcinoma: future diagnostic and therapeutic approaches. International Journal of Molecular Sciences. 2023;24:7168. [CrossRef]
- Yu P, Wu D, You Y, Sun J, Lu L, Tan J, et al. miR-208-3p promotes hepatocellular carcinoma cell proliferation and invasion through regulating ARID2 expression. Experimental cell research. 2015;336:232-41. [CrossRef]
- Zhai H, Zhong S, Wu R, Mo Z, Zheng S, Xue J, et al. Suppressing circIDE/miR-19b-3p/RBMS1 axis exhibits promoting-tumour activity through upregulating GPX4 to diminish ferroptosis in hepatocellular carcinoma. Epigenetics. 2023;18:2192438. [CrossRef]
- Cho HJ, Eun JW, Baek GO, Seo CW, Ahn HR, Kim SS, et al. Serum exosomal microRNA, miR-10b-5p, as a potential diagnostic biomarker for early-stage hepatocellular carcinoma. Journal of Clinical Medicine. 2020;9:281. [CrossRef]
- Zhao X-F, Li N, Lin D-D, Sun L-B. Circulating MicroRNA-122 for the Diagnosis of Hepatocellular Carcinoma: A Meta-Analysis. BioMed research international. 2020;2020:5353695.
- Bharali D, Banerjee BD, Bharadwaj M, Husain SA, Kar P. Expression analysis of MicroRNA-21 and MicroRNA-122 in hepatocellular carcinoma. Journal of clinical and experimental hepatology. 2019;9:294-301.
- Shi T, Morishita A, Kobara H, Masaki T. The role of long non-coding RNA and microRNA networks in hepatocellular carcinoma and its tumor microenvironment. International journal of molecular sciences. 2021;22:10630. [CrossRef]
- Mjelle R, Dima SO, Bacalbasa N, Chawla K, Sorop A, Cucu D, et al. Comprehensive transcriptomic analyses of tissue, serum, and serum exosomes from hepatocellular carcinoma patients. BMC cancer. 2019;19:1-13. [CrossRef]
- Zhang H, Lan X, Cai L, Gao X, Gao F, Yu D, et al. miR-215-5p plays a key role in suppressing vascular invasion and recurrence in hepatocellular carcinoma by blocking vasculogenic mimicry. Frontiers in Bioscience-Elite. 2024;16:6. [CrossRef]
- Li H, Wang N, Xu Y, Chang X, Ke J, Yin J. Upregulating microRNA-373-3p promotes apoptosis and inhibits metastasis of hepatocellular carcinoma cells. Bioengineered. 2022;13:1304-19. [CrossRef]
- Mao Y, Chen W, Wu H, Liu C, Zhang J, Chen S. Mechanisms and functions of MiR-200 family in hepatocellular carcinoma. OncoTargets and therapy. 2021:13479-90. [CrossRef]
- Malik J, Klammer M, Rolny V, Chan HL-Y, Piratvisuth T, Tanwandee T, et al. Comprehensive evaluation of microRNA as a biomarker for the diagnosis of hepatocellular carcinoma. World journal of gastroenterology. 2022;28:3917. [CrossRef]












| miRNA | t | P-Value | Adjusted P-Value | B | logFC |
| hsa-miR-625 | -9.44 | <0.0001 | <0.0001 | 32.22 | -0.67 |
| hsa-miR-208b | 5.92 | <0.0001 | <0.0001 | 9.84 | 0.64 |
| hsa-miR-138 | -4.82 | <0.0001 | 0.0003 | 4.56 | -0.71 |
| hsa-miR-122 | 4.74 | <0.0001 | 0.0003 | 3.94 | 0.29 |
| hsa-miR-548b-3p | 4.59 | <0.0001 | 0.0005 | 3.44 | 0.14 |
| LASSO | |
| hsa-miR-381 | |
| hsa-miR-10a | hsa-miR-411 |
| hsa-miR-10b | hsa-miR-425 |
| hsa-miR-126 | hsa-miR-450a |
| hsa-miR-133b | hsa-miR-452 |
| hsa-miR-141 | hsa-miR-494 |
| hsa-miR-146a | hsa-miR-500 |
| hsa-miR-148b | hsa-miR-502-3p |
| hsa-miR-149 | hsa-miR-517b |
| hsa-miR-155 | hsa-miR-518a-3p |
| hsa-miR-187 | hsa-miR-518b |
| hsa-miR-193a-3p | hsa-miR-518d-3p |
| hsa-miR-200a | hsa-miR-518e |
| hsa-miR-200c | hsa-miR-526b |
| hsa-miR-210 | hsa-miR-532-3p |
| hsa-miR-214 | hsa-miR-548b-3p |
| hsa-miR-223 | hsa-miR-548b-5p |
| hsa-miR-224 | hsa-miR-582-5p |
| hsa-miR-331-5p | hsa-miR-589 |
| hsa-miR-337-5p | hsa-miR-628-5p |
| hsa-miR-379 | hsa-miR-885-5p |
| ROC-AUC | |||||
| AUC | P-value | miRNA | AUC | P | miRNA |
| 0.947 | 0.1282 | hsa-miR-215 | 0.769 | 0.2593 | hsa-miR-145 |
| 0.902 | 0.0060 | hsa-miR-373 | 0.767 | <0.0001 | hsa-miR-10a |
| 0.875 | 0.1778 | hsa-miR-19b | 0.752 | <0.0001 | hsa-miR-885-3p |
| 0.873 | <0.0001 | hsa-miR-200b | 0.750 | 0.8000 | hsa-miR-191 |
| 0.857 | 0.3636 | hsa-miR-627 | 0.748 | 0.0002 | hsa-miR-148a |
| 0.846 | 0.4286 | hsa-miR-17 | 0.745 | 0.0001 | hsa-miR-31 |
| 0.840 | <0.0001 | hsa-miR-429 | 0.737 | 0.0407 | hsa-miR-222 |
| 0.835 | 0.1093 | hsa-miR-194 | 0.734 | 0.0001 | hsa-miR-199b-5p |
| 0.833 | <0.0001 | hsa-miR-141 | 0.730 | 0.0001 | hsa-miR-455-3p |
| 0.820 | <0.0001 | hsa-miR-199a-3p | 0.725 | 0.0002 | hsa-miR-642 |
| 0.814 | <0.0001 | hsa-miR-135b | 0.725 | 0.0688 | hsa-miR-875-3p |
| 0.814 | <0.0001 | hsa-miR-708 | 0.724 | 0.0379 | hsa-miR-618 |
| 0.811 | <0.0001 | hsa-miR-214 | 0.723 | 0.0002 | hsa-miR-147b |
| 0.804 | <0.0001 | hsa-miR-208b | 0.722 | 0.0002 | hsa-miR-187 |
| 0.797 | <0.0001 | hsa-miR-27a | 0.715 | 0.0004 | hsa-miR-148b |
| 0.793 | <0.0001 | hsa-miR-200a | 0.714 | 0.0005 | hsa-miR-216b |
| 0.793 | 0.3178 | hsa-miR-885-5p | 0.714 | 0.0029 | hsa-miR-551b |
| 0.790 | <0.0001 | hsa-miR-107 | 0.708 | 0.0005 | hsa-miR-625 |
| 0.789 | <0.0001 | hsa-miR-138 | 0.708 | 0.0007 | hsa-miR-346 |
| 0.781 | <0.0001 | hsa-miR-149 | 0.706 | 0.0006 | hsa-miR-492 |
| 0.770 | <0.0001 | hsa-miR-365 | 0.700 | 0.5714 | hsa-miR-628-5p |
| miRNA | logFC | t | P-Value | Adjusted P-Value | B |
| hsa-miR-196b | -1.31 | -5.91 | <0.0001 | 0.0001 | 6.83 |
| hsa-miR-570 | -0.49 | -5.72 | <0.0001 | 0.0001 | 6.15 |
| hsa-miR-138 | 0.82 | 5.72 | <0.0001 | 0.0001 | 6.21 |
| hsa-miR-187 | 0.70 | 5.53 | <0.0001 | 0.0001 | 5.54 |
| hsa-miR-492 | -1.00 | -4.95 | <0.0001 | 0.0006 | 3.55 |
| hsa-miR-183 | -0.81 | -4.81 | <0.0001 | 0.0007 | 3.00 |
| hsa-miR-615-3p | -0.81 | -4.81 | <0.0001 | 0.0007 | 3.00 |
| hsa-miR-501-5p | -1.07 | -4.37 | 0.0001 | 0.0026 | 1.76 |
| hsa-miR-369-3p | -1.08 | -4.32 | 0.0001 | 0.0028 | 1.61 |
| hsa-miR-18b | -0.69 | -4.23 | 0.0001 | 0.0034 | 1.33 |
| hsa-miR-515-3p | -0.60 | -4.14 | 0.0001 | 0.0042 | 1.00 |
| hsa-miR-519d | -1.02 | -4.03 | 0.0002 | 0.0050 | 0.73 |
| hsa-miR-548d | -0.31 | -4.04 | 0.0002 | 0.0050 | 0.47 |
| hsa-miR-520a | -0.75 | -3.85 | 0.0003 | 0.0084 | 0.00 |
| hsa-miR-301b | -0.80 | -3.78 | 0.0004 | 0.0100 | 0.01 |
| hsa-miR-133b | -0.87 | -3.44 | 0.0011 | 0.0266 | -0.98 |
| hsa-miR-579 | -0.66 | -3.29 | 0.0018 | 0.0399 | -1.35 |
| hsa-miR-485 | -0.86 | -3.19 | 0.0024 | 0.0411 | -1.60 |
| hsa-miR-589 | -0.45 | -3.19 | 0.0024 | 0.0411 | -1.78 |
| hsa-miR-625 | 0.30 | 3.19 | 0.0023 | 0.0411 | -1.79 |
| hsa-miR-450a | 0.30 | 3.19 | 0.0023 | 0.0411 | -1.79 |
| hsa-miR-517a | -0.21 | -3.20 | 0.0023 | 0.0411 | -1.93 |
| hsa-miR-520b | -0.82 | -3.15 | 0.0026 | 0.0433 | -1.67 |
| hsa-miR-654-3p | -0.82 | -3.13 | 0.0028 | 0.0441 | -1.78 |
Disclaimer/Publisher’s Note: The statements, opinions and data contained in all publications are solely those of the individual author(s) and contributor(s) and not of MDPI and/or the editor(s). MDPI and/or the editor(s) disclaim responsibility for any injury to people or property resulting from any ideas, methods, instructions or products referred to in the content. |
© 2025 by the author. Licensee MDPI, Basel, Switzerland. This article is an open access article distributed under the terms and conditions of the Creative Commons Attribution (CC BY) license (https://creativecommons.org/licenses/by/4.0/).