Submitted:
05 May 2025
Posted:
06 May 2025
You are already at the latest version
Abstract
Keywords:
1. Introduction
2. Geological Settings and Geotechnical Parameters
2.1. Geographical Location
2.2. Interburden and Overburden Layer Characteristics

2.3. Geological Structure of Lignite Layers
2.4. Geotechnical Investigations and Stability Calculations
3. Methodology
3.1. Methodology of Correlation Analysis

3.1. Methodology of the Statistical Analysis

4. Statistical Analysis Results for Soil Physical and Strength Parameters
4.1. Correlation Analysis of Soil Physical Parameters
| Soil type | Wet bulk density - void ratio | Dry bulk density - void ratio | Wet bulk density - dry bulk density | ||||||
|---|---|---|---|---|---|---|---|---|---|
| no. samples (basic) | no. samples (simple filtered) | no. samples (dynamical filtered) | no. samples (basic) | no. samples (simple filtered) | no. samples (dynamical filtered) | no. samples (basic) | no. samples (simple filtered) | no. samples (dynamical filtered) | |
| Sand (Sa) | 60 | 58 | 56 | 59 | 57 | 28 | 59 | 57 | 56 |
| sandy Silt (saSi) | 206 | 197 | 164 | 206 | 197 | 159 | 206 | 196 | 195 |
| Silt (Si) | 67 | 64 | 63 | 67 | 65 | 56 | 67 | 65 | 64 |
| silty Sand (siSa) | 113 | 107 | 99 | 113 | 108 | 91 | 113 | 105 | 100 |
| high plasticity Clay | 429 | 413 | 396 | 428 | 414 | 374 | 428 | 421 | 396 |
| medium plasticity Clay | 189 | 186 | 175 | 188 | 185 | 179 | 188 | 186 | 176 |
| low plasticity Clay | 68 | 64 | 65 | 68 | 64 | 59 | 68 | 62 | 61 |
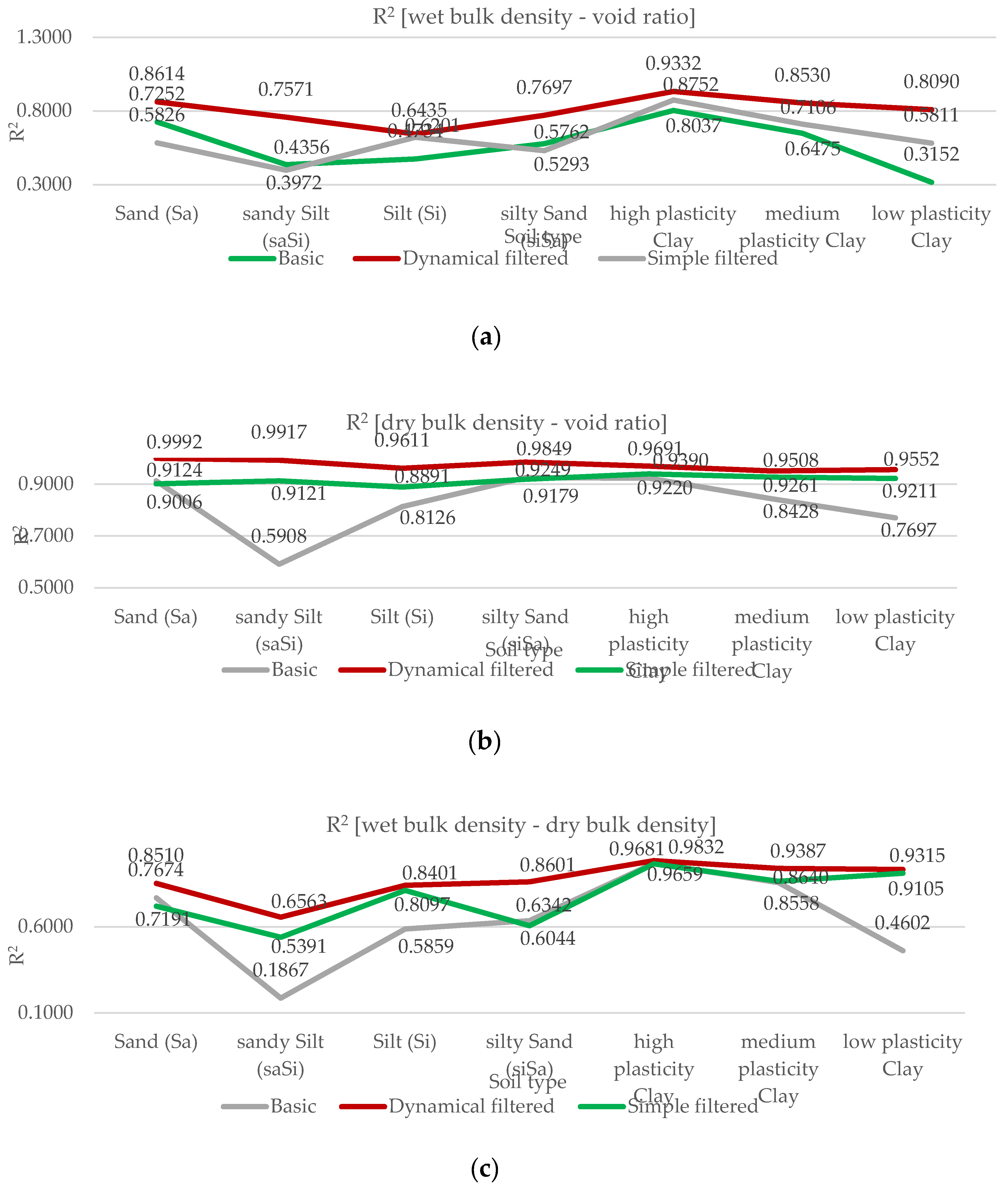
4.1.1. Wet density –void ratio
4.1.2. Dry density – void ratio
4.1.3. Wet bulk density – dry bulk density
4.1.4. Plasticity Index – Liquid Limit
4.1. Statistical Analysis of Shear Strength Parameters
5. Application of the Statistical Analyses of the Investigated Soils for Probabilistic Slope Stability Calculations
5.1. Input Data
5.1.1. Characteristic Soil Properties
5.1.2. Probabilistic Soil Properties
5.2. Results of the Slope Stability Analysis
5.2.1. Deterministic Calculation Results
| Section 1 | Section 2 | Section 3 | Section 4 | Section 5 | Section 6 | Section 7 | |
|---|---|---|---|---|---|---|---|
| FS [-] | 1.951 | 1.379 | 1.305 | 1.226 | 1.653 | 1.583 | 1.334 |
5.1.2. Probabilistic Calculation Results
6. Discussion
7. Conclusions
Author Contributions
Data Availability Statement
Acknowledgments
Conflicts of Interest
References
- Duncan, J. M., & Wright, S. G. (2005). Soil Strength and Slope Stability. John Wiley & Sons.
- Harr, M. E. (1987). Reliability-Based Design in Civil Engineering. McGraw-Hill.
- Fenton, G. A., & Griffiths, D. V. (2008). Risk Assessment in Geotechnical Engineering. John Wiley & Sons.
- Griffiths, D. V., & Lane, P. A. (1999). Slope stability analysis by finite elements. Geotechnique, 49(3), 387-403.
- Selby, M. J. (1993). Hillslope Materials and Processes. Oxford University Press.
- Bate, B., & McMahon, B. T. (2017). Numerical analysis of anisotropy in geotechnical engineering. Journal of Geotechnical Research, 12(2), 45-60.
- Christian, J. T., & Baecher, G. B. (2003). Probabilistic analysis in geotechnical engineering. Journal of Geotechnical and Geoenvironmental Engineering, 129(4), 307-317.
- Hammah, R., Yacoub, T. and Curran, J. (2009). Probabilistic Slope Analysis with the Finite Element Method. Proc. 43rd US Symp. on Rock Mechanics & 4th US-Canada Rock Mechanics Symp., Asheville.
- Chiwaye, Henry & Stacey, T.R.. (2010). A comparison of limit equilibrium and numerical modelling approaches to risk analysis for open pit mining. Journal of the Southern African Institute of Mining and Metallurgy. 110. 571-580.
- Gibson, William. (2011). Probabilistic Methods for Slope Analysis and Design. Australian Geomechanics Journal. 46. 29. 46(3):1–11.
- Chuaiwate, P.; Jaritngam, S.; Panedpojaman, P.; Konkong, N. Probabilistic Analysis of Slope against Uncertain Soil Parameters. Sustainability 2022, 14, 14530. [CrossRef]
- He, Y., Li, Z., Wang, W. et al. Slope stability analysis considering the strength anisotropy of c-φ soil. Sci Rep 12, 18372 (2022). [CrossRef]
- Teng L, He Y, Wang Y, Sun C and Yan J (2024) Numerical stability assessment of a mining slope using the synthetic rock mass modeling approach and strength reduction technique. Front. Earth Sci. 12:1438277. [CrossRef]
- Horváth, Zoltán & Micheli, Erika & Mindszenty, A. & Berényi Üveges, Judit. (2005). Soft-sediment deformation structures in Late Miocene–Pleistocene sediments on the pediment of the Mátra Hills (Visonta, Atkár, Verseg): Cryoturbation, load structures or seismites?. Tectonophysics. 410. 81–95. [CrossRef]
- Erdei, B. & Hably, L. & Selmeczi, I. & Kordos, L. (2011). Palaeogene and Neogene localities in the North-Hungarian Mountain Range. Guide to the post-congress fieldtrip of the 8th EPPC, 2010, Budapest, Hungary. Studia Botanica Hungarica. 42. 153-183.
- Priest S. D., Brown E. T. Probabilistic stability analysis of variable rock slopes. Transactions of Institution of Mining and Metallurgy. Section A: Mining Industry. 1983. Vol. 92. pp. A1 A12.
- Pine RJ (1992) Risk analysis design application in mining geomechanics, transactions of institute of mining and metallurgy, (Section A: Mining Industry), pp A149–A158.
- Sullivan, T. 2006. Pit slope design and riskA view of the current state of the art. In Proceeding of International Symposium on Stability of Rock Slopes in Open Pit Mining and Civil Engineering Situations.
- Silva, F., Lambe, T. W., & Marr, W. A. (2008). Probability and risk of slope failure. Journal of Geotechnical and Geoenvironmental Engineering, 134(12), 1691–1699. [CrossRef]
- Read, J., and Stacey, P. 2009. Guidelines for open-pit slope design. Collingwood, CSIRO, Australia.
- Wesseloo J, Read J (2009) Chapter 9 - acceptance criteria. In: Read J, Stacey P (eds) Guidelines for open pit slope design. CIRSO publishing, Clayton, pp 221–236.
- Hormazabal, E., Tapia, M., Fuenzalida, R., and Zuniga, G. 2011. Slope optimization for the Hypogene Project at Carmen de Andacollo Pit, Chile. In Proceedings of Slope Stability 2011, International Symposium on Rock Slope Stability in Open Pit Mining and Civil Engineering, Vancouver, B.C., Canada.
- Adams, Brian. (2015). Slope Stability Acceptance Criteria for Opencast Mine Design.
- Hawley, M., & Cunning, J. (2017). Guidelines for mine waste dump and stockpile design. CRC Press.
- 25. Chakraborty, Rubi & Dey, Arindam. (2022). Probabilistic Slope Stability Analysis: State-of-the-Art Review and Future Prospects. Innovative Infrastructure Solutions. 7. 1-19. [CrossRef]
- Che, Wei & Chang, Pengfei & Wang, Wenhao. (2023). Optimal Intensity Measures for Probabilistic Seismic Stability Assessment of Large Open-Pit Mine Slopes under Different Mining Depths. Shock and Vibration. 2023. 1-23. [CrossRef]
- Idris, Musa & A.S, Kolade. (2024). Probabilistic Slope Stability Assessment For Sustainable Mining At Ankpa Coal Mine, Nigeria. Futa Journal Of Engineering And Engineering Technology. 18. 93 - 100.
- Ferreira Filho, Flávio & Bacellar, Luis & Marques, Eduardo Antonio & Assis, Andre & Gomes, Romero & Costa, Teófilo. (2025). Failure Susceptibility Analysis of Open Pit Slopes: A Case Study from the Quadrilátero Ferrífero Mine, Brazil. Geotechnical and Geological Engineering. 43. [CrossRef]
- Ng, Kok Shien. (2005). Reliability analysis on the stability of slope.
- Peñalba, R. F., Luo, Z., & Juang, C. H. (2009). Framework for probabilistic assessment of landslide: A case study of El Berrinche. Environmental Earth Sciences, 59(3), 489-499. https://doi.org/10.1007/s12665-009-0046-0.
- Bi, R., Ehret, D., Xiang, W. et al. Landslide reliability analysis based on transfer coefficient method: A case study from Three Gorges Reservoir. J. Earth Sci. 23, 187–198 (2012). [CrossRef]
- Moradi, Ali & Morteza, Osanloo. (2014). Determination and stability analysis of ultimate open-pit slope under geomechanical uncertainty. International Journal of Mining Science and Technology. 24. [CrossRef]
- Wang, Lei & Hwang, Jin-Hung & Luo, Zhe & Juang, C.Hsein & Xiao, Junhua. (2013). Probabilistic back analysis of slope failure – A case study in Taiwan. Computers and Geotechnics. 51. 12–23. [CrossRef]
- Hamedifar, Hamed & Bea, Robert & Pestana, Juan & Roe, Emery. (2014). Role of Probabilistic Methods in Sustainable Geotechnical Slope Stability Analysis. Procedia Earth and Planetary Science. 9. 132–142. [CrossRef]
- Kulatilake, Pinnaduwa & Shu, Biao & Sherizadeh, Taghi & Jh, Deng. (2014). Probabilistic block theory analysis for a rock slope at an open pit mine in USA. Computers and Geotechnics. 61. 254–265. [CrossRef]
- Chaulagai, Rabindra & Osouli, Abdolreza & Clemente, Jose. (2017). Probabilistic Slope Stability Analyses - A Case Study. 444-452. [CrossRef]
- Mandal, Jagriti & Narwal, Sruti & Gupte, Dr. (2017). Back Analysis of Failed Slopes - A Case Study. International Journal of Engineering Research and. V6. 10.17577/IJERTV6IS050366. Preprints.org (www.preprints.org) | NOT PEER-REVIEWED | Posted: 6 May 2025. [CrossRef]
- Neman, N & Zakaria, Zufialdi & Sophian, Irvan & Adriansyah, Yan. (2018). Probability of Failure and Slope Safety Factors Based on Geological Structure of Plane failure on Open Pit Batu Hijau Nusa Tenggara Barat. IOP Conference Series: Earth and Environmental Science. 145. 012077. [CrossRef]
- Obregon, Christian & Mitri, Hani. (2019). Probabilistic approach for open pit bench slope stability analysis – A mine case study. International Journal of Mining Science and Technology. 29. [CrossRef]
- Sitharam T.G. & Amarnath M. Hegde, 2019. "A Case Study of Probabilistic Seismic Slope Stability Analysis of Rock Fill Tailing Dam," International Journal of Geotechnical Earthquake Engineering (IJGEE), IGI Global, vol. 10(1), pages 43-60, January.
- Sjöberg, J. (1999). Analysis of large scale rock slopes (PhD dissertation, Luleå tekniska universitet). Retrieved from https://urn.kb.se/resolve?urn=urn:nbn:se:ltu:diva-18773.
- Rafiei Renani, Hossein & Martin, Derek & Varona, Pedro & Lorig, Loren. (2019). Stability Analysis of Slopes with Spatially Variable Strength Properties. Rock Mechanics and Rock Engineering. 52. 1-18. [CrossRef]
- Mathe, Lewis & Ferentinou, Maria. (2021). Rock slope stability analysis adopting Eurocode 7, a limit state design approach for an open pit. IOP Conference Series: Earth and Environmental Science. 833. 012201. [CrossRef]
- Sachpazis, D.C. (2019, October 06). Probabilistic Slope Stability Evaluation. In Encyclopedia. https://encyclopedia.pub/entry/116.
- Sdvyzhkova, Olena & Moldabayev, Serik & Bascetin, Atac & Babets, Dmytro & Kuldeyev, Erzhan & Sultanbekova, Zhanat & Amankulov, Maxat & Issakov, Bakhytzhan. (2022). Probabilistic assessment of slope stability at ore mining with steep layers in deep open pits. Mining of Mineral Deposits. 16. 11-18. Do et al. [CrossRef]
- Do, Van & The, Viet & Tran, The Viet & Nguyen, Ha & Pham, Huy & Nguyen, Van. (2023). Integrating Soil Property Variability In Sensitivity And Probabilistic Analysis Of Unsaturated Slope: A Case Study. International Journal of GEOMATE. 25. 132-139.However, in the 2024 article by Li et al.
- Li, Tianzheng & Gong, Wenping & Zhu, Chun & Tang, Huiming. (2024). Stability evaluation of gentle slopes in spatially variable soils using discretized limit analysis method: a probabilistic study. Acta Geotechnica. 19. 6319-6335. Nguyen et al.'s. [CrossRef]
- Nguyen, Phu Minh Vuong & Marciniak, Michał. (2024). Stochastic Rock Slope Stability Analysis: Open Pit Case Study with Adjacent Block Caving. Geotechnical and Geological Engineering. 42. 5827-5845. 10.1007/s10706-024-02862-w. In their 2024 article, Abhijith et al.
- A., Abhijith & Pillai, Rakesh. (2024). TRIGRS-FOSM: probabilistic slope stability tool for rainfall-induced landslide susceptibility assessment. Natural Hazards. 121. 3401-3430. [CrossRef]
- US Army Corps of Engineers (1997) Engineering and design: introduction to probability and reliability methods for use in geotechnical engineering. Engineer Technical Letter 1110-2-547. Washington, DC: Department of the Army.
- Ferreira Filho, Flávio & Bacellar, Luis & Marques, Eduardo Antonio & Assis, Andre & Gomes, Romero & Costa, Teófilo. (2025). Failure Susceptibility Analysis of Open Pit Slopes: A Case Study from the Quadrilátero Ferrífero Mine, Brazil. Geotechnical and Geological Engineering. 43. [CrossRef]
- Zeng, X., Khajehzadeh, M., Iraji, A., Keawsawasvong, S. “Probabilistic Slope Stability Evaluation Using Hybrid Metaheuristic Approach”, Periodica Polytechnica Civil Engineering, 66(4), pp. 1309–1322, 2022. [CrossRef]


















| Borehole | 28 | |
| Drilling Depth (m) | 3305 | |
| Grain Size Distribution | 1205 | |
| Shear Testing | Internal Friction Angle f (deg) | 237 |
| Cohesion c (kPa) | 238 | |
| Residual Internal Friction frez (deg) | 264 | |
| Residual Cohesion crez (kPa) | 265 | |
| Triaxial Compression Test | Water Content W (%) | 196 |
| Saturated Bulk Density rs (g/cm3) | 155 | |
| Void Ratio e | 184 | |
| Degree of Saturation Sr | 188 | |
| Wet Bulk Density rn (g/cm3) | 205 | |
| Dry Bulk Density rd (g/cm3) | 197 | |
| Internal Friction Angle f (deg) | 166 | |
| Cohesion c (kPa) | 166 | |
| Natural Water Content - Wn (%) | 1265 | |
| Median Grain Size - Dm (mm) | 1206 | |
| Coefficient of Uniformity - Cu | 816 | |
| Grain Size Corresponding to 10% Finer - D10 (mm) | 1206 | |
| Grain Size Corresponding to 20% Finer- D20 (mm) | 1008 | |
| Grain Size Corresponding to 60% Finer (mm) | 1171 | |
| Liquid Limit - WL (%) | 653 | |
| Plastic Limit - Wp (%) | 654 | |
| Consistency Index Ic | 360 | |
| Plasticity Index - Ip (%) | 1046 | |
| Water Content - W (%) | 1225 | |
| Void Ratio - e (-) | 1258 | |
| Porosity - n (-) | 121 | |
| Degree of Saturation - Sr (-) | 1221 | |
| Dry Unit Weight - rd (g/cm3) | 1286 | |
| Wet Unit Weight - rn (g/cm3) | 1291 | |
| Undrained Shear Strength (kPa) | 471 | |
| Number of Samples | 3307 | |
| Unit Weight (kN/m3) | Cohesion (kPa) | Phi (°) | |
|---|---|---|---|
| Quarternary Fat clay (high plasticity Clay) | 19.1 | 103 | 13 |
| Quarternary clayey Silt (clSi) | 20.0 | 56 | 22 |
| Quaternary Pannonian sandstone formation | 20.0 | 30 | 33 |
| Silt (Silt) (Si) | 20.0 | 45 | 22 |
| silty Clay (clayey Silt) (clSi) | 20.0 | 67 | 16 |
| Lignite seam | 13.0 | 100 | 26 |
| Silt (Silt) (Si) | 20.0 | 42 | 23 |
| sandy Clay (low plasticity Clay) | 19.5 | 56 | 22 |
| cover fat Clay (high plasticity Clay) | 19.5 | 103 | 13 |
| intermediate organic fat Clay (high plasticity Clay) | 20.0 | 87 | 7 |
| clayey Silt (clSi) | 20.0 | 56 | 22 |
| organic silty fat Clay (high plasticity Clay) | 20.3 | 87 | 7 |
| medium Clay (medium plasticity Clay) | 20.0 | 56 | 23 |
| bentonite fat Clay (high plasticity Clay) | 20.0 | 103 | 13 |
| sandy Silt (saSi) | 20.3 | 42 | 23 |
| aquifer (Sand) (Sa) | 20.3 | 20 | 20 |
| waste material | 17.3 | 11 | 28 |
| Distribution | Mean | Std.dev. | Abs.max. | Rel.max. | Abs.min. | Rel.min. | |
|---|---|---|---|---|---|---|---|
| Quarternary Fat clay (high plasticity Clay) | Normal | 18.57 | 1.48 | 21.90 | 3.33 | 14.90 | 3.67 |
| Quarternary clayey Silt (clSi) | 20.00 | ||||||
| Quaternary Pannonian sandstone formation | 20.00 | ||||||
| Silt (Silt) (Si) | Normal | 19.56 | 0.83 | 21.64 | 2.08 | 17.54 | 2.02 |
| silty Clay (clayey Silt) (clSi) | 20.00 | ||||||
| Lignite seam | 13.00 | ||||||
| Silt (Silt) (Si) | Normal | 19.56 | 0.83 | 21.64 | 2.08 | 17.54 | 2.02 |
| sandy Clay (low plasticity Clay) | Lognormal | 19.78 | 0.62 | 21.40 | 1.62 | 18.60 | 1.18 |
| cover fat Clay (high plasticity Clay) | Normal | 18.57 | 1.48 | 21.90 | 3.33 | 14.90 | 3.67 |
| intermediate organic fat Clay (high plasticity Clay) | Normal | 18.57 | 1.48 | 21.90 | 3.33 | 14.90 | 3.67 |
| clayey Silt (clSi) | 20.00 | ||||||
| organic silty fat Clay (high plasticity Clay) | Normal | 18.57 | 1.48 | 21.90 | 3.33 | 14.90 | 3.67 |
| medium Clay (medium plasticity Clay) | Lognormal | 19.70 | 0.88 | 21.99 | 2.29 | 17.36 | 2.34 |
| bentonite fat Clay (high plasticity Clay) | Normal | 18.57 | 1.48 | 21.90 | 3.33 | 14.90 | 3.67 |
| sandy Silt (saSi) | Normal | 19.04 | 0.70 | 20.70 | 1.66 | 17.34 | 1.70 |
| aquifer (Sand) (Sa) | Lognormal | 18.99 | 0.68 | 20.33 | 1.34 | 17.56 | 1.43 |
| waste material | 17.30 |
| Distribution | Mean | Std.dev. | Abs.max. | Rel.max. | Abs.min. | Rel.min. | |
|---|---|---|---|---|---|---|---|
| Quarternary fat clay (high plasticity Clay) | Normal | 91.4 | 43.1 | 207.4 | 116 | 1.7 | 89.7 |
| Quarternary clayey Silt (clSi) | 56.0 | ||||||
| Quaternary Pannonian sandstone formation | 30.0 | ||||||
| Silt (Silt) (Si) | Gamma | 46.1 | 31 | 87.1 | 41 | 6.6 | 39.5 |
| silty Clay (clayey Silt) (clSi) | 67.0 | ||||||
| Lignite seam | 100.0 | ||||||
| Silt (Silt) (Si) | Gamma | 46.1 | 31 | 87.1 | 41 | 6.6 | 39.5 |
| sandy Clay (low plasticity Clay) | Normal | 58.3 | 28.7 | 110.6 | 52.3 | 10.9 | 47.4 |
| cover fat Clay (high plasticity Clay) | Normal | 91.4 | 43.1 | 207.4 | 116 | 1.7 | 89.7 |
| intermediate organic fat Clay (high plasticity Clay) | Normal | 91.4 | 43.1 | 207.4 | 116 | 1.7 | 89.7 |
| clayey Silt (clSi) | 56.0 | ||||||
| organic silty fat Clay (high plasticity Clay) | Normal | 91.4 | 43.1 | 207.4 | 116 | 1.7 | 89.7 |
| medium Clay (medium plasticity Clay) | Gamma | 86.3 | 49.9 | 207 | 120.7 | 1.7 | 84.6 |
| bentonite fat Clay (high plasticity Clay) | Normal | 91.4 | 43.1 | 207.4 | 116 | 1.7 | 89.7 |
| sandy Silt (saSi) | Normal | 30.9 | 17.2 | 70 | 39.1 | 1.3 | 29.6 |
| aquifer (Sand) (Sa) | Lognormal | 21.3 | 8.4 | 32.3 | 11 | 13.5 | 7.8 |
| waste material | 11.0 |
| Distribution | Mean | Std.dev. | Abs.max. | Rel.max. | Abs.min. | Rel.min. | |
|---|---|---|---|---|---|---|---|
| Quarternary fat clay (high plasticity Clay) | Gamma | 11.00 | 5.80 | 23.50 | 12.50 | 0.00 | 11.00 |
| Quarternary clayey Silt (clSi) | 22.00 | ||||||
| Quaternary Pannonian sandstone formation | 33.00 | ||||||
| Silt (Silt) (Si) | Lognormal | 15.20 | 10.40 | 36.00 | 20.80 | 1.60 | 13.60 |
| silty Clay (clayey Silt) (clSi) | 16.00 | ||||||
| Lignite seam | 26.00 | ||||||
| Silt (Silt) (Si) | Lognormal | 15.20 | 10.40 | 36.00 | 20.80 | 1.60 | 13.60 |
| sandy Clay (low plasticity Clay) | Lognormal | 22.71 | 1.72 | 25.80 | 3.09 | 21.10 | 1.61 |
| cover fat Clay (high plasticity Clay) | Gamma | 11.00 | 5.80 | 23.50 | 12.50 | 0.00 | 11.00 |
| intermediate organic fat Clay (high plasticity Clay) | Gamma | 11.00 | 5.80 | 23.50 | 12.50 | 0.00 | 11.00 |
| clayey Silt (clSi) | 22.00 | ||||||
| organic silty fat Clay (high plasticity Clay) | Gamma | 11.00 | 5.80 | 23.50 | 12.50 | 0.00 | 11.00 |
| medium Clay (medium plasticity Clay) | Normal | 17.70 | 6.69 | 33.30 | 15.60 | 4.00 | 13.70 |
| bentonite fat Clay (high plasticity Clay) | Gamma | 11.00 | 5.80 | 23.50 | 12.50 | 0.00 | 11.00 |
| sandy Silt (saSi) | Normal | 26.22 | 3.52 | 30.00 | 3.78 | 20.00 | 6.22 |
| aquifer (Sand) (Sa) | Normal | 25.80 | 3.10 | 28.80 | 3.00 | 21.50 | 4.30 |
| waste material | 28.00 |
| Section 1 | Section 2 | Section 3 | Section 4 | Section 5 | Section 6 | Section 7 | |
|---|---|---|---|---|---|---|---|
| FS [-] | 2.025 | 1.207 | 2.060 | 1.647 | 1.729 | 1.583 | 1.334 |
| FS (mean) | 1.523 | 1.019 | 1.542 | 1.216 | 1.243 | 1.579 | 1.334 |
| PF [%] | 11.1% | 46.7% | 9.0% | 28.6% | 23.3% | 0.0% | 0.0% |
| RI (normal) | 1.327 | 0.063 | 1.411 | 0.61 | 0.745 | 41.571 | - |
| RI (lognormal) | 1.526 | -0.079 | 1.643 | 0.542 | 0.714 | 51.781 | - |
Disclaimer/Publisher’s Note: The statements, opinions and data contained in all publications are solely those of the individual author(s) and contributor(s) and not of MDPI and/or the editor(s). MDPI and/or the editor(s) disclaim responsibility for any injury to people or property resulting from any ideas, methods, instructions or products referred to in the content. |
© 2025 by the authors. Licensee MDPI, Basel, Switzerland. This article is an open access article distributed under the terms and conditions of the Creative Commons Attribution (CC BY) license (http://creativecommons.org/licenses/by/4.0/).