Submitted:
29 April 2025
Posted:
29 April 2025
You are already at the latest version
Abstract
Keywords:
1. Introduction
2. Materials and Methods
2.1. Materials and Structure
2.2. Reflectance Spectrum
2.3. Calculation Condition
2.4. Gamut Area in Commission Internationale de l’Éclairage (CIE) Luv Color Space
3. Results
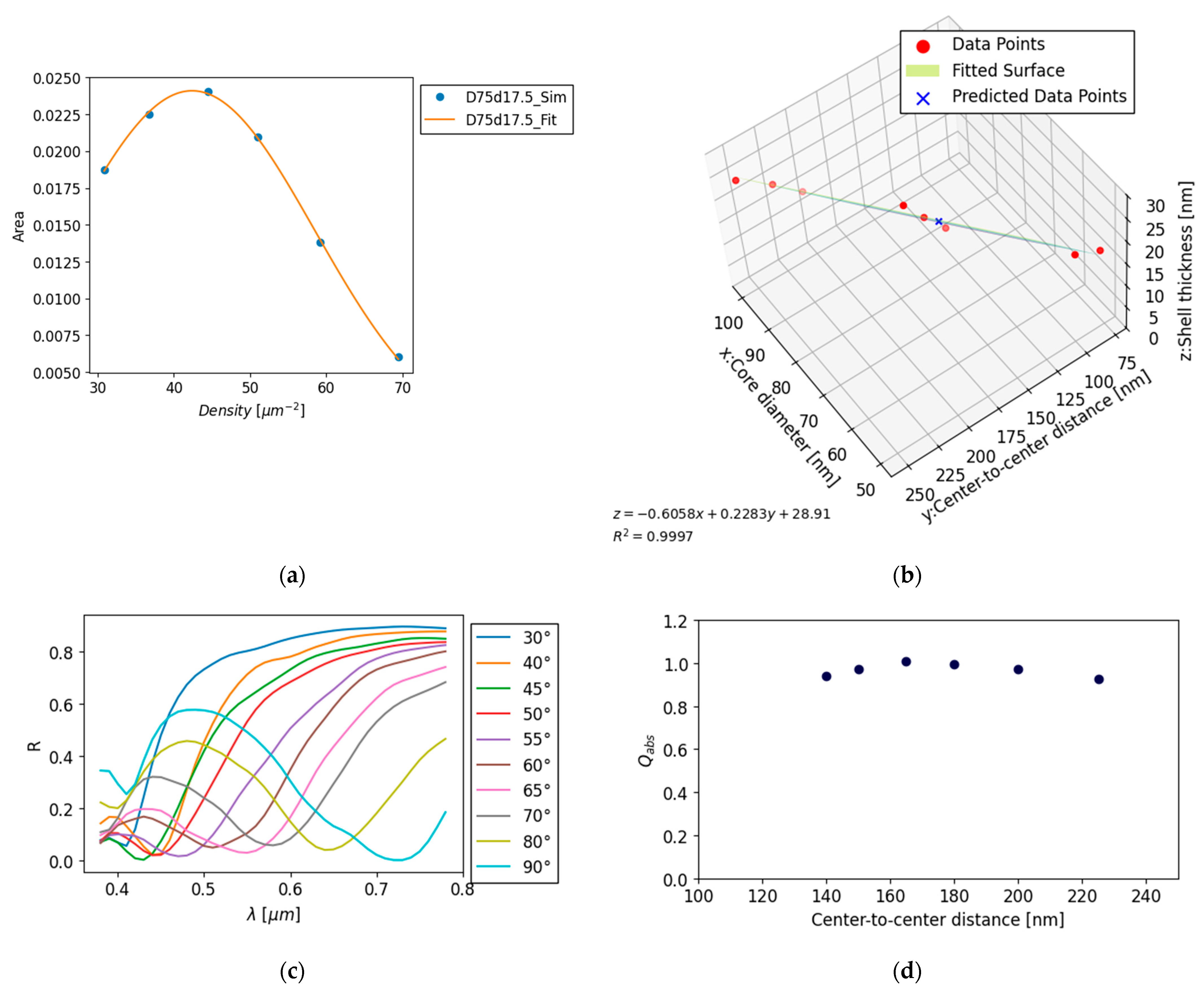
3.1. Gamut Areas in the CIE Luv Chromaticity Diagram
3.2. Density of the Maximum Gamut Area for Each Core Diameter and Shell Thickness
| Core diameter [nm] | Shell thickness [nm] | Density [µm−2] | Center-to-center distance [nm] |
|---|---|---|---|
| 50 | 17.5 | 163.325 ± 2.064 | 78.2 |
| 50 | 20 | 101.986 ± 0.663 | 99.0 |
| 75 | 15 | 48.396 ± 0.173 | 143.7 |
| 75 | 20 | 39.089 ± 0.048 | 159.9 |
| 75 | 25 | 32.759 ± 0.160 | 174.7 |
| 100 | 15 | 24.141 ± 0.053 | 203.5 |
| 100 | 20 | 19.734 ± 0.198 | 225.1 |
| 100 | 25 | 15.838 ± 0.052 | 251.3 |
4. Discussion
4.1. Validation of the Approximation Formula
4.2. Structure that Maximizes the Gamut Area
5. Conclusions
Author Contributions
Funding
Data Availability Statement
Acknowledgments
Conflicts of Interest
Abbreviations
| MDPI | Multidisciplinary Digital Publishing Institute |
References
- Ellenbogen, T.; Seo, K.; Crozier, K.B. Chromatic plasmonic polarizers for active visible color filtering and polarimetry. Nano Lett. 2012, 12, 1026–1031. [Google Scholar] [CrossRef] [PubMed]
- Song, M.; Li, X.; Pu, M.; Guo, Y.; Liu, K.; Yu, H.; Ma, X.; Luo, X. Color display and encryption with a plasmonic polarizing metamirror. Nanophotonics 2018, 7, 323–331. [Google Scholar] [CrossRef]
- Xiang, J.; Li, Y.; Li, Q.; Paterson, D.A.; Storey, J.M.-D.; Imrie, C.T.; Lavrentovich, O.D. Electrically tunable selective reflection of light from ultraviolet to visible and infrared by heliconical cholesterics. Adv. Mater. 2015, 27, 3014–3018. [Google Scholar] [CrossRef] [PubMed]
- Mirshafieyan, S.S.; Gregory, D.A. Electrically tunable perfect light absorbers as color filters and modulators. Sci. Rep. 2018, 8, 2635. [Google Scholar] [CrossRef] [PubMed]
- Shu, F.-Z.; Yu, F.-F.; Peng, R.-W.; Zhu, Y.-Y.; Xiong, B.; Fan, R.-H.; Wang, Z.-H.; Liu, Y.; Wang, M. Dynamic plasmonic color generation based on phase transition of vanadium dioxide. Adv. Opt. Mater. 2018, 6, 1700939. [Google Scholar] [CrossRef]
- Prezgot, D.; Tatarchuk, S.W.; Ianoul, A. Plasmonic color generation in silver nanocrystal-over-mirror films by thermal embedment into a polymer spacer. Nano Select 2022, 3, 1082–1090. [Google Scholar] [CrossRef]
- Duan, X.; Kamin, S.; Liu, N. Dynamic plasmonic colour display. Nat. Commun. 2017, 8, 14606. [Google Scholar] [CrossRef] [PubMed]
- Song, S.C.; Ma, X.L.; Pu, M.B.; Li, X.; Liu, K.P.; Gao, P.; Zhao, Z.Y.; Wang, Y.Q.; Wang, C.T.; Luo, X.G. Actively tunable structural color rendering with tensile substrate. Adv. Opt. Mater. 2017, 5, 1600829. [Google Scholar] [CrossRef]
- Magari, M.; Fujimura, R. Numerical investigation of dynamic plasmonic color generated via photothermal deformation of a metal semi-shell structure. Jpn. J. Appl. Phys 2024, 63, 082001. [Google Scholar] [CrossRef]
- Draine, B.T.; Flatau, J. Discrete-dipole approximation for scattering calculations. J. Opt. Soc. Am. A 1994, 11, 1491–1499. [Google Scholar] [CrossRef]
- Malitson, I.H. Interspecimen comparison of the refractive index of fused silica. J. Opt. Soc. Am. 1965, 55, 1205–1209. [Google Scholar] [CrossRef]
- Polyanskiy, M.N. Refractiveindex.info database of optical constants. Sci. Data 2024, 11, 94. [Google Scholar] [CrossRef] [PubMed]
- Rakic, A.D.; Djurisic, A.B.; Elazar, J.M.; Majewski, M.L. Optical properties of metallic films for vertical-cavity optoelectronic devices. Appl. Opt. 1998, 37, 5271–5283. [Google Scholar] [CrossRef] [PubMed]
- Fujimura, R.; Zhang, R.; Kitamoto, Y.; Shimojo, M.; Kajikawa, K. Modeling of semi-shell nanostructures formed by metal deposition on dielectric nanospheres and numerical evaluation of plasmonic properties. Jpn. J. Appl. Phys. 2014, 53, 03520. [Google Scholar] [CrossRef]
- Chevalier, P.; Bouchon, P.; Jaeck, J.; Lauwick, D.; Bardou, N.; Kattnig, A.; Pardo, F.; Haïdar, R. Absorbing metasurface created by diffractionless disordered arrays of nanoantennas. Appl. Phys. Lett. 2015, 107, 251108. [Google Scholar] [CrossRef]
- Smith, T.; Guild, J. The C.I.E. colorimetric standards and their use. Trans. Opt. Soc. 1931, 33, 73. [Google Scholar] [CrossRef]
- Ohta, N.; Robertson, A.R. CIE Standard Colorimetric System. In Colorimetry: Fundamentals and Applications; Kriss, M.A., Ed.; Wiley: England, 2005. [Google Scholar]
- CIE. CIE 1931 Colour-Matching Functions, 2 Degree Observer (Data Table). International Commission on Illumination (CIE): Vienna, Austria, 2018. [Google Scholar]
- Carter, E.C.; et al. CIE 015:2018 Colorimetry 4th edition. Commission Internationale de l'Eclairage: Vienna, Austria, 2018. [Google Scholar]
- Braden, B. The surveyor's area formula. College Math. J. 1986, 17, 326–337. [Google Scholar] [CrossRef]
- Jain, P.K.; Huang, W.; El-Sayed, M.A. On the universal scaling behavior of the distance decay of plasmon coupling in metal nanoparticle pairs: A plasmon ruler equation. Nano Lett. 2007, 7, 2080–2088. [Google Scholar] [CrossRef]



| Diameter of nanosphere [nm] | Density [µm−2] | Deposition thickness [nm] |
|---|---|---|
| 50 | 44.4–177.8 | 17.5, 20 |
| 75 | 19.8–59.2 | 15, 20, 25 |
| 100 | 11.1–32.7 | 15, 20, 25 |
| Core diameter [nm] | Shell thickness [nm] (a) | Center-to-center distance [nm] | Approximated thickness [nm] (b) | Difference between shell thickness and the approximated thickness [nm] (a)-(b) | |
|---|---|---|---|---|---|
| A | 50 | 17.5 | 78.2 | 16.473 | 1.027 |
| 50 | 20 | 99.0 | 21.222 | −1.222 | |
| 75 | 15 | 143.7 | 16.282 | −1.282 | |
| 75 | 20 | 159.9 | 19.980 | 0.020 | |
| 75 | 25 | 174.7 | 23.359 | 1.641 | |
| 100 | 15 | 203.5 | 14.789 | 0.211 | |
| 100 | 20 | 225.1 | 19.720 | 0.280 | |
| 100 | 25 | 251.3 | 25.702 | −0.702 | |
| B | 75 | 17.5 | 149.0 | 17.492 | 0.008 |
Disclaimer/Publisher’s Note: The statements, opinions and data contained in all publications are solely those of the individual author(s) and contributor(s) and not of MDPI and/or the editor(s). MDPI and/or the editor(s) disclaim responsibility for any injury to people or property resulting from any ideas, methods, instructions or products referred to in the content. |
© 2025 by the authors. Licensee MDPI, Basel, Switzerland. This article is an open access article distributed under the terms and conditions of the Creative Commons Attribution (CC BY) license (http://creativecommons.org/licenses/by/4.0/).