Submitted:
11 May 2025
Posted:
13 May 2025
You are already at the latest version
Abstract
Keywords:
1. Introduction
2. Methods
2.1. Model for Temperature Rise
2.2. Absorption Cross-Section of Small Spheres
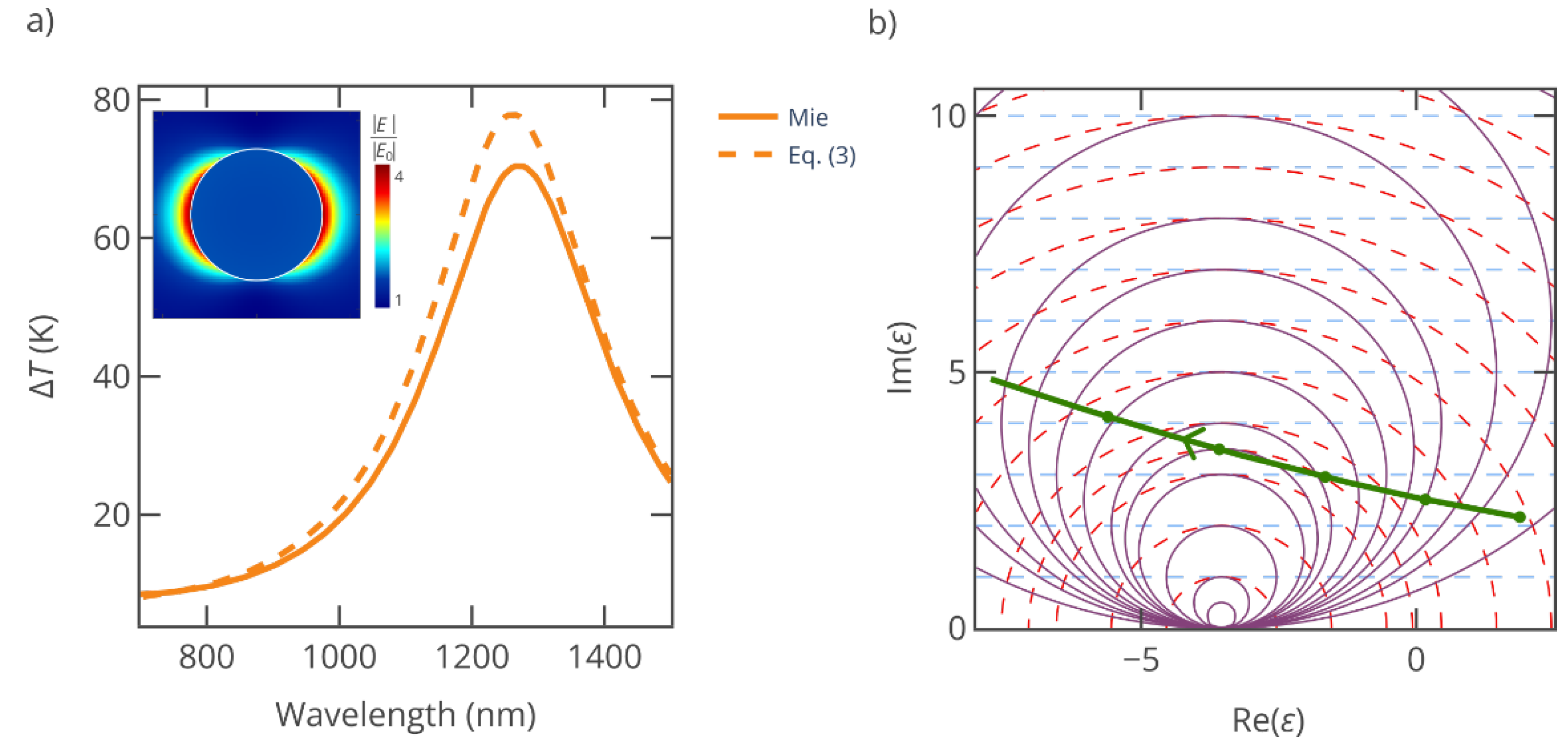
3. Results and Discussion
3.1. Optical Heating Patterns
3.2. Performance of 2D Materials for Photothermal Therapy and Imaging
3.3. In-Depth Study of S-NIR-II Zone
4. Conclusions
Supplementary Materials
Author Contributions
Funding
Data Availability Statement
Conflicts of Interest
References
- Sharma, S.; Batra, S.; Chauhan, M.K.; Kumar, V. Photothermal Therapy for Cancer Treatment. In Biological and Medical Physics, Biomedical Engineering; Biological and Medical Physics, Biomedical Engineering, Ed.; Springer Nature Singapore: Singapore, 2023; pp. 755–780. ISBN 9789811997853. [Google Scholar]
- Hong, F.; Geng, X.; Min, G.; Sun, X.; Zhang, B.; Yao, Y.; Li, R.; Wang, J.; Zhao, H.; Guo, P.; et al. Deep NIR-II Optical Imaging Combined with Minimally Invasive Interventional Photothermal Therapy for Orthotopic Bladder Cancer. Chem. Eng. J. 2022, 449, 137846. [Google Scholar] [CrossRef]
- Xie, X.; Gao, W.; Hao, J.; Wu, J.; Cai, X.; Zheng, Y. Self-Synergistic Effect of Prussian Blue Nanoparticles for Cancer Therapy: Driving Photothermal Therapy and Reducing Hyperthermia-Induced Side Effects. J. Nanobiotechnology 2021, 19, 126. [Google Scholar] [CrossRef]
- Jaque, D.; Martínez Maestro, L.; del Rosal, B.; Haro-Gonzalez, P.; Benayas, A.; Plaza, J.L.; Martín Rodríguez, E.; García Solé, J. Nanoparticles for Photothermal Therapies. Nanoscale 2014, 6, 9494–9530. [Google Scholar] [CrossRef]
- Duan, S.; Hu, Y.; Zhao, Y.; Tang, K.; Zhang, Z.; Liu, Z.; Wang, Y.; Guo, H.; Miao, Y.; Du, H.; et al. Nanomaterials for Photothermal Cancer Therapy. RSC Adv. 2023, 13, 14443–14460. [Google Scholar] [CrossRef] [PubMed]
- Liu, G.; Yan, C.; Kuang, D.; Song, L. Broadband Optical Absorption and Photothermal Properties of Partially Disordered MoSe2 Nanospheres. Mater. Chem. Phys. 2023, 293, 126948. [Google Scholar] [CrossRef]
- Yu, X.; Fan, S.; Zhu, B.; El-Hout, S.I.; Zhang, J.; Chen, C. Recent Progress on Photothermal Nanomaterials: Design, Mechanism, and Applications. Green Energy Environ. 2024. [Google Scholar] [CrossRef]
- Lamiel, C.; Hussain, I.; Warner, J.H.; Zhang, K. Beyond Ti-Based MXenes: A Review of Emerging Non-Ti Based Metal-MXene Structure, Properties, and Applications. Mater. Today 2023, 63, 313–338. [Google Scholar] [CrossRef]
- Wang, L.; Jiang, X.; Ji, Y.; Bai, R.; Zhao, Y.; Wu, X.; Chen, C. Surface Chemistry of Gold Nanorods: Origin of Cell Membrane Damage and Cytotoxicity. Nanoscale 2013, 5, 8384–8391. [Google Scholar] [CrossRef]
- Chen, D.; Miao, B.; Zhu, G.; Liang, Y.; Wang, C. Controllable Synthesis and Biomedical Applications of Bismuth-Based Nanospheres: Enhanced Photothermal Therapy and CT Imaging Efficiency. Nanoscale 2025, 17, 2281–2291. [Google Scholar] [CrossRef]
- Chithrani, B.D.; Ghazani, A.A.; Chan, W.C.W. Determining the Size and Shape Dependence of Gold Nanoparticle Uptake into Mammalian Cells. Nano Lett. 2006, 6, 662–668. [Google Scholar] [CrossRef]
- Foroozandeh, P.; Aziz, A.A. Insight into Cellular Uptake and Intracellular Trafficking of Nanoparticles. Nanoscale Res. Lett. 2018, 13, 339. [Google Scholar] [CrossRef] [PubMed]
- Lu, B.; Wang, J.; Hendriks, A.J.; Nolte, T.M. Clearance of Nanoparticles from Blood: Effects of Hydrodynamic Size and Surface Coatings. Environ. Sci. Nano 2024, 11, 406–417. [Google Scholar] [CrossRef]
- Rejman, J.; Oberle, V.; Zuhorn, I.S.; Hoekstra, D. Size-Dependent Internalization of Particles via the Pathways of Clathrin- and Caveolae-Mediated Endocytosis. Biochem J. 2004, 377, 159–169. [Google Scholar] [CrossRef]
- Tsai, M.-F.; Chang, S.-H.G.; Cheng, F.-Y.; Shanmugam, V.; Cheng, Y.-S.; Su, C.-H.; Yeh, C.-S. Au Nanorod Design as Light-Absorber in the First and Second Biological near-Infrared Windows for in Vivo Photothermal Therapy. ACS Nano 2013, 7, 5330–5342. [Google Scholar] [CrossRef] [PubMed]
- Hong, G.; Antaris, A.L.; Dai, H. Near-Infrared Fluorophores for Biomedical Imaging. Nat. Biomed. Eng. 2017, 1, 0010. [Google Scholar] [CrossRef]
- Zhang, Z.; Du, Y.; Shi, X.; Wang, K.; Qu, Q.; Liang, Q.; Ma, X.; He, K.; Chi, C.; Tang, J.; et al. NIR-II Light in Clinical Oncology: Opportunities and Challenges. Nat. Rev. Clin. Oncol. 2024, 21, 449–467. [Google Scholar] [CrossRef]
- He, S.; Song, J.; Qu, J.; Cheng, Z. Crucial Breakthrough of Second near-Infrared Biological Window Fluorophores: Design and Synthesis toward Multimodal Imaging and Theranostics. Chem. Soc. Rev. 2018, 47, 4258–4278. [Google Scholar] [CrossRef]
- Tselikov, G.I.; Ermolaev, G.A.; Popov, A.A.; Tikhonowski, G.V.; Panova, D.A.; Taradin, A.S.; Vyshnevyy, A.A.; Syuy, A.V.; Klimentov, S.M.; Novikov, S.M.; et al. Transition Metal Dichalcogenide Nanospheres for High-Refractive-Index Nanophotonics and Biomedical Theranostics. Proc. Natl. Acad. Sci. U. S. A. 2022, 119, e2208830119. [Google Scholar] [CrossRef]
- Chernikov, A.S.; Tselikov, G.I.; Gubin, M.Y.; Shesterikov, A.V.; Khorkov, K.S.; Syuy, A.V.; Ermolaev, G.A.; Kazantsev, I.S.; Romanov, R.I.; Markeev, A.M.; et al. Tunable Optical Properties of Transition Metal Dichalcogenide Nanoparticles Synthesized by Femtosecond Laser Ablation and Fragmentation. J. Mater. Chem. C 2023, 11, 3493–3503. [Google Scholar] [CrossRef]
- Tselikov, G.; Minnekhanov, A.; Ermolaev, G.; Tikhonowski, G.; Kazantsev, I.; Dyubo, D.; Panova, D.; Tselikov, D.; Popov, A.; Mazitov, A.; et al. Tunable Nanostructuring for van der Waals Materials. arXiv 2024, arXiv:2411.14060 2024. [Google Scholar]
- Ushkov, A.; Dyubo, D.; Belozerova, N.; Kazantsev, I.; Yakubovsky, D.; Syuy, A.; Tikhonowski, G.V.; Tselikov, D.; Martynov, I.; Ermolaev, G.; et al. Tungsten Diselenide Nanoparticles Produced via Femtosecond Ablation for SERS and Theranostics Applications. Nanomaterials 2024, 15, 4. [Google Scholar] [CrossRef] [PubMed]
- Vyshnevyy, A.A.; Ermolaev, G.A.; Grudinin, D.V.; Voronin, K.V.; Kharichkin, I.; Mazitov, A.; Kruglov, I.A.; Yakubovsky, D.I.; Mishra, P.; Kirtaev, R.V.; et al. Van der Waals Materials for Overcoming Fundamental Limitations in Photonic Integrated Circuitry. Nano Lett. 2023, 23, 8057–8064. [Google Scholar] [CrossRef] [PubMed]
- Ermolaev, G.A.; Stebunov, Y.V.; Vyshnevyy, A.A.; Tatarkin, D.E.; Yakubovsky, D.I.; Novikov, S.M.; Baranov, D.G.; Shegai, T.; Nikitin, A.Y.; Arsenin, A.V.; et al. Broadband Optical Properties of Monolayer and Bulk MoS2. npj 2D Mater. Appl. 2020, 4, 21. [Google Scholar] [CrossRef]
- Munkhbat, B.; Wróbel, P.; Antosiewicz, T.J.; Shegai, T.O. Optical Constants of Several Multilayer Transition Metal Dichalcogenides Measured by Spectroscopic Ellipsometry in the 300-1700 Nm Range: High Index, Anisotropy, and Hyperbolicity. ACS Photonics 2022, 9, 2398–2407. [Google Scholar] [CrossRef] [PubMed]
- Yang, X.; Stein, E.W.; Ashkenazi, S.; Wang, L.V. Nanoparticles for Photoacoustic Imaging. Wiley Interdiscip Rev. Nanomed. Nanobiotechnol. 2009, 1, 360–368. [Google Scholar] [CrossRef]
- Li, W.; Chen, X. Gold Nanoparticles for Photoacoustic Imaging. Nanomedicine 2015, 10, 299–320. [Google Scholar] [CrossRef]
- Fu, Q.; Sun, W. Mie Theory for Light Scattering by a Spherical Particle in an Absorbing Medium. Appl. Opt. 2001, 40, 1354–1361. [Google Scholar] [CrossRef]
- Rastinehad, A.R.; Anastos, H.; Wajswol, E.; Winoker, J.S.; Sfakianos, J.P.; Doppalapudi, S.K.; Carrick, M.R.; Knauer, C.J.; Taouli, B.; Lewis, S.C.; et al. Gold Nanoshell-Localized Photothermal Ablation of Prostate Tumors in a Clinical Pilot Device Study. Proc. Natl. Acad. Sci. U.S.A. 2019, 116, 18590–18596. [Google Scholar] [CrossRef]
- Yang, L.; Liu, Y.; Wang, Q.; Shi, H.; Li, G.; Zhang, L. The Plasmon Resonance Absorption of Ag/SiO2 Nanocomposite Films. Microelectron. Eng. 2003, 66, 192–198. [Google Scholar] [CrossRef]
- Barnes, W.L. Particle Plasmons: Why Shape Matters. Am. J. Phys. 2016, 84, 593–601. [Google Scholar] [CrossRef]
- Hale, G.M.; Querry, M.R. Optical Constants of Water in the 200-Nm to 200-Microm Wavelength Region. Appl. Opt. 1973, 12, 555–563. [Google Scholar] [CrossRef]
- Ermolaev, G.; Voronin, K.; Baranov, D.G.; Kravets, V.; Tselikov, G.; Stebunov, Y.; Yakubovsky, D.; Novikov, S.; Vyshnevyy, A.; Mazitov, A.; et al. Topological Phase Singularities in Atomically Thin High-Refractive-Index Materials. Nat. Commun. 2022, 13, 2049. [Google Scholar] [CrossRef] [PubMed]
- Panova, D.A.; Tselikov, G.I.; Ermolaev, G.A.; Syuy, A.V.; Zimbovskii, D.S.; Kapitanova, O.O.; Yakubovsky, D.I.; Mazitov, A.B.; Kruglov, I.A.; Vyshnevyy, A.A.; et al. Broadband Optical Properties of Ti3C2 MXene Revisited. Opt. Lett. 2024, 49, 25–28. [Google Scholar] [CrossRef] [PubMed]
- Pflüger, J.; Fink, J.; Weber, W.; Bohnen, K.P.; Crecelius, G. Dielectric Properties of TiCx,TiNx,VCx, and VNx from 1.5 to 40 eV Determined by Electron-Energy-Loss Spectroscopy. Phys. Rev. B 1984, 30, 1155–1163. [Google Scholar] [CrossRef]
- Zograf, G.P.; Petrov, M.I.; Makarov, S.V.; Kivshar, Y.S. All-Dielectric Thermonanophotonics. Adv. Opt. Photonics 2021, 13, 643–702. [Google Scholar] [CrossRef]
- Zhao, L.; Zhang, X.; Wang, X.; Guan, X.; Zhang, W.; Ma, J. Recent Advances in Selective Photothermal Therapy of Tumor. J Nanobiotechnology 2021, 19, 335. [Google Scholar] [CrossRef]
- Volkov, V.; Slavich, A.; Ermolaev, G.; Pak, N.; Grudinin, D.; Kravtsov, K.; Tatmyshevskiy, M.; Semkin, V.; Syuy, A.; Mazitov, A.; et al. All-in-One van der Waals Material for Light Detection, Guiding and Modulation. Research Square 2025.
- Naik, G.V.; Shalaev, V.M.; Boltasseva, A. Alternative Plasmonic Materials: Beyond Gold and Silver. Adv. Mater. 2013, 25, 3264–3294. [Google Scholar] [CrossRef]
- Jiang, W.; Fu, Q.; Wei, H.; Yao, A. TiN Nanoparticles: Synthesis and Application as near-Infrared Photothermal Agents for Cancer Therapy. J. Mater. Sci. 2019, 54, 5743–5756. [Google Scholar] [CrossRef]
- Grabowska-Jadach, I.; Kalinowska, D.; Drozd, M.; Pietrzak, M. Synthesis, Characterization and Application of Plasmonic Hollow Gold Nanoshells in a Photothermal Therapy-New Particles for Theranostics. Biomed. Pharmacother. 2019, 111, 1147–1155. [Google Scholar] [CrossRef]
- Oldenburg, S.J.; Averitt, R.D.; Westcott, S.L.; Halas, N.J. Nanoengineering of Optical Resonances. Chem. Phys. Lett. 1998, 288, 243–247. [Google Scholar] [CrossRef]
- VahidMohammadi, A.; Rosen, J.; Gogotsi, Y. The World of Two-Dimensional Carbides and Nitrides (MXenes). Science 2021, 372, eabf1581. [Google Scholar] [CrossRef]
- Jastrzębska, A.M.; Szuplewska, A.; Wojciechowski, T.; Chudy, M.; Ziemkowska, W.; Chlubny, L.; Rozmysłowska, A.; Olszyna, A. In Vitro Studies on Cytotoxicity of Delaminated TiC MXene. J. Hazard. Mater. 2017, 339, 1–8. [Google Scholar] [CrossRef] [PubMed]
- Gjerding, M.N.; Petersen, R.; Pedersen, T.G.; Mortensen, N.A.; Thygesen, K.S. Layered van der Waals Crystals with Hyperbolic Light Dispersion. Nat. Commun. 2017, 8, 320. [Google Scholar] [CrossRef] [PubMed]
- Gjerding, M.N.; Pandey, M.; Thygesen, K.S. Band Structure Engineered Layered Metals for Low-Loss Plasmonics. Nat. Commun. 2017, 8, 15133. [Google Scholar] [CrossRef]
- Black, J. Biological Performance of Tantalum. Clin. Mater. 1994, 16, 167–173. [Google Scholar] [CrossRef]
- Liu, Y.; Ji, X.; Liu, J.; Tong, W.W.L.; Askhatova, D.; Shi, J. Tantalum Sulfide Nanosheets as a Theranostic Nanoplatform for Computed Tomography Imaging-Guided Combinatorial Chemo-Photothermal Therapy. Adv. Funct. Mater. 2017, 27, 1703261. [Google Scholar] [CrossRef]
- Meier, M.; Wokaun, A. Enhanced Fields on Large Metal Particles: Dynamic Depolarization. Opt. Lett. 1983, 8, 581–583. [Google Scholar] [CrossRef]
- Rasskazov, I.L.; Zakomirnyi, V.I.; Utyushev, A.D.; Carney, P.S.; Moroz, A. Remarkable Predictive Power of the Modified Long Wavelength Approximation. J. Phys. Chem. C 2021, 125, 1963–1971. [Google Scholar] [CrossRef]
- Khurgin, J.B. How to Deal with the Loss in Plasmonics and Metamaterials. Nat Nanotechnol 2015, 10, 2–6. [Google Scholar] [CrossRef]
- Yakubovsky, D.I.; Arsenin, A.V.; Stebunov, Y.V.; Fedyanin, D.Y.; Volkov, V.S. Optical Constants and Structural Properties of Thin Gold Films. Opt Express 2017, 25, 25574–25587. [Google Scholar] [CrossRef] [PubMed]
- Hu, B.Y.-K. Kramers–Kronig in Two Lines. Am. J. Phys. 1989, 57, 821–821. [Google Scholar] [CrossRef]





Disclaimer/Publisher’s Note: The statements, opinions and data contained in all publications are solely those of the individual author(s) and contributor(s) and not of MDPI and/or the editor(s). MDPI and/or the editor(s) disclaim responsibility for any injury to people or property resulting from any ideas, methods, instructions or products referred to in the content. |
© 2025 by the authors. Licensee MDPI, Basel, Switzerland. This article is an open access article distributed under the terms and conditions of the Creative Commons Attribution (CC BY) license (https://creativecommons.org/licenses/by/4.0/).
