Submitted:
29 April 2025
Posted:
29 April 2025
You are already at the latest version
Abstract
Keywords:
1. Introduction
2. Materials and Methods
2.1. Equipment
Sensor for CH4 UAV Monitoring
UAV platform
Flux chamber and flux determination
| Sensor | Target | Measurable range | Resolution (ppm) |
|---|---|---|---|
| TD LAS | CH4 | 0.1 ppm – 10% vol | 0.1 |
| IR | CO2 | 0-4000 ppm | 1 |
| PID | VOCs | 0-50 ppm | 1 |
| EC | H2S | 0-100 ppm | 1 |
- 86.400 is the number of seconds in a day [sec d−1];
- 106 is the conversion factor from ppm (in α) to mol∙mol−1;
- Patm is the atmospheric pressure [Pa];
- Vc is the net volume of the chamber [m3];
- R = 8.314472 is the universal gas constant [ m3∙Pa∙K−1∙mol−1];
- T is the air temperature [°K];
- AC is the base area of the chamber [m2].
Weather data monitoring
2.2. Sampling Strategies
3. Results
- Descriptive statistics of raw data obtained from the drone sensor (CH4) and from flow chamber (CH4 and CO2) for each investigated area and the comparison between the dataset of each surveyed area
- Spatial distribution of raw data
- Organization of CH4 drone-derived data according to the following steps:
- Grouping of raw observations
- Definition of the statistical indicator to assign to the grouped observations.
- Definition of the threshold value (TV).
- Contiguity analysis of grouped observations exceeding the TV (clustering).
- Calculation of the probabilities that the clustering is random.
- Comparison between non-random clustering and measurements from the flow chamber
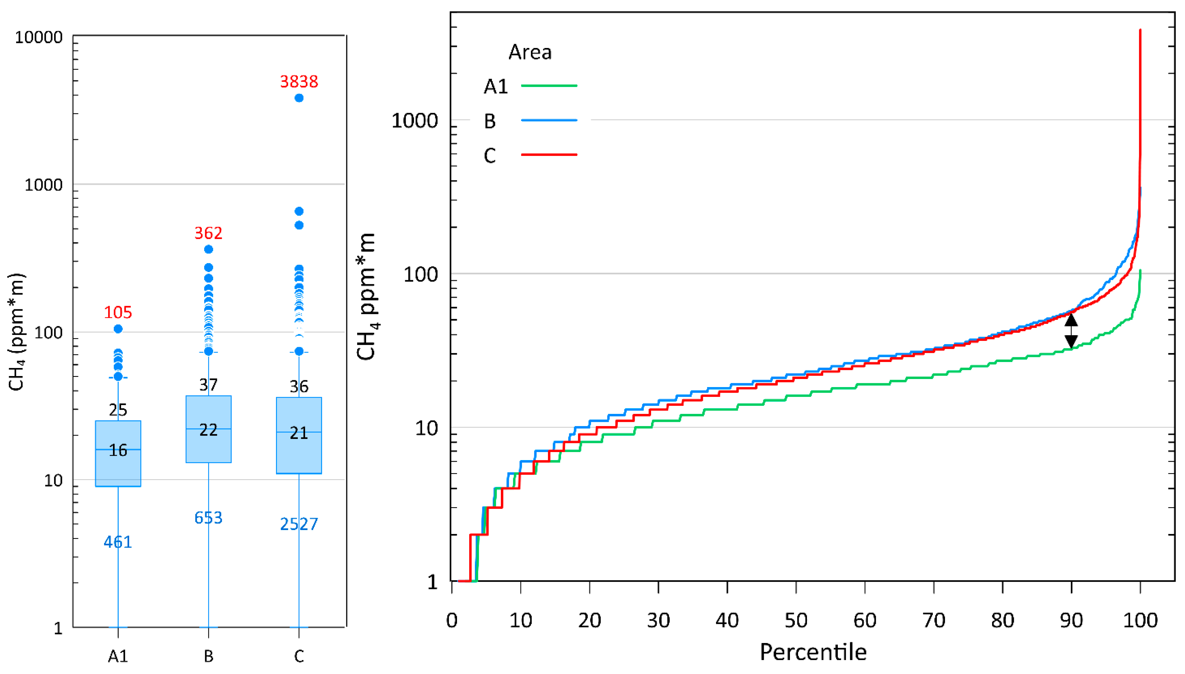
3.1. Descriptive Statistics of Raw Data
3.2. Spatial Distribution of Raw Data
- Values below the 25th percentile (P25)
- Values between the 25th and 90th percentiles (P25-P90)
- Values between the 90th and 100th percentiles (P90-max)
3.3. Organization and Results of CH4 Drone-Derived Data
- Spatial contiguity: the spatial structure is given by the contiguity of two or more points (or spatial elements) that show values above a certain threshold (binary approach).
- Low probability of randomness: the spatial contiguity of two or more elements, exceeding the threshold, must have a low probability of being random.
- ID number;
- num_obs: number ROs forming each AGO. Moreover, to ensure the reliability of the statistical attributes assigned to each AGO, a “percentage of coverage” is computed, given by the ratio between number of ROs in the i-AGO and maximum number of ROs in a AGO *100. In Figure 8, the percentage of coverage for each AGO is reported. As can be observed, some AGO consist only of 2 ROs, while others have up to a maximum of 90 ROs.
- main statistics of ROs falling in each single AGO (mean, st_dev, 25p, median, P75, P95, max).
4. Discussion
4.1. Field Results
4.2. Methods
- the identification of spatial structures (i.e. clusters of spatial entities exceeding a threshold value, TV);
- the evaluation that such spatial structures are not randomly distributed (i.e., the probability that they are random is extremely low).
- 4.
- Grouping of raw observations (ROs)
- 5.
- Defining the statistical indicator to assign to the grouped observations.
- 6.
- Setting the threshold value (TV).
- 7.
- Conducting a contiguity analysis of grouped observations exceeding the TV (clustering).
- 8.
- Calculating the probabilities that the observed clustering is random.
5. Conclusions
Supplementary Materials
| 1 | This type of system is defined as "non-stationary" because, assuming a constant emission flow from the soil, the concentration of analytes in the gas mixture within the chamber increases over time without remaining constant at any point in the chamber. It is termed 'static' because, unlike dynamic chambers where an inert gas flows through the chamber, this system recirculates the gas without any treatment and analyzes it directly in the field. |
References
- Abichou, T.; Bel Hadj Ali, N.; Amankwah, S.; Green, R.; Howarth, E.S. (2023). Using Ground- and Drone-Based Surface Emission Monitoring (SEM) Data to Locate and Infer Landfill Methane Emissions. Methane. Vol. 2, pp. 440-451. [CrossRef]
- Agency for Toxic Substances and Disease Registry (2024) WEB site: Landfill Gas Primer - AnOverview for Environmental Health Professionals. Chapter 4: Monitoring of Landfill Gas https://www.atsdr.cdc.gov/HAC/landfill/html/ch4.html.
- Allen G., Hollingsworth P., Kabbabe K., Pitt J.R., Mead M., Illingworth S., Roberts G., Bourn M., Shallcross D.E., Percival C.J. (2019): The development and trial of an unmanned aerial system for the measurement of methane flux from landfill and greenhouse gas emission hotspots. Waste Management 87 (2019) 883–892. [CrossRef]
- Anselin, L. (1995), Local Indicators of Spatial Association—LISA. Geographical Analysis, 27: 93-115. [CrossRef]
- Anselin L., Xun L. (2019): Operational local join count statistics for cluster detection. Journal of Geographical Systems (2019) 21:189–210. [CrossRef]
- Barchyn, T. E., Hugenholtz, C. H. e Fox,T.A., (2019). Plume detection modeling of a drone-based natural gas leak detection system. Elementa: Science of the Anthropocene. Vol. 7. [CrossRef]
- Barchyn, T., Hugenholtz, C. H., Myshak, S. e Bauer, J., (2017). A UAV-based system for detecting natural gas leaks. Journal of Unmanned Vehicle Systems. [CrossRef]
- Berisha, A. e Osmanaj, L., (2021). Determination of Methane Explosion Level in the Velekince Municipal Solid Waste Landfill. Ecological Engineering & Environmental Technology. Vol. 22 (5), pp. 82–88. [CrossRef]
- Cassini, F., Scheutz, C., Skov, B. H., Mou, Z. e Kjeldsen, P., (2017). Mitigation of methane emissions in a pilot-scale biocover system at the AV Miljø Landfill, Denmark: 1. System design and gas distribution. Waste Management. Vol. 63, pp. 213–225. [CrossRef]
- Castro Gámez, A. F., Rodríguez Maroto, J. M. e Vadillo Pérez, I., (2019). Quantification of methane emissions in a Mediterranean landfill (Southern Spain). A combination of flux chambers and geostatistical methods. Waste Management. Vol. 87, pp. 937–946. [CrossRef]
- Darynova,Z., Blanco,B., Juery,C., Donnat,L. e Duclaux,O., (2023). Data assimilation method for quantifying controlled methane releases using a drone and ground-sensors. Atmospheric Environment: X. 100210. [CrossRef]
- De Molfetta, M. Fosco, D., Renzulli P.A., Notarnicola, B. 2024. Identification and treatment of false methane values produced by the TDLAS technology equipped on UAVs. Integrated Environmental Assessment and Management (2024). Undergoing publication. [CrossRef]
- Di Trapani, D., Di Bella, G., Viviani, G., (2013). Uncontrolled methane emissions from a MSW landfill surface: Influence of landfill features and side slopes. Waste Management. Vol. 33 (10), 2108–2115. [CrossRef]
- Dullo, F. T. Dullo, F. T., Lindecrantz, S., Jágerská, J., Hansen, J. H., Engqvist, M., Solbø, S. A. e Hellesø, O. G., (2015). Sensitive on-chip methane detection with a cryptophane-A cladded Mach-Zehnder interferometer. Optics Express. Vol. 23 (24), 31564. [CrossRef]
- Emran, Bara J., Dwayne D. Tannant, and Homayoun Najjaran. (2017). "Low-Altitude Aerial Methane Concentration Mapping" Remote Sensing 9, no. 8: 823. [CrossRef]
- European Commission, DG Environment (2000): A Study on the Economic Valuation of Environmental Externalities from Landfill Disposal and Incineration of Waste. Final Appendix Report. https://circabc.europa.eu/ui/group/636f928d-2669-41d3-83db-093e90ca93a2/library/809ab9bf-4a37-4ae4-82c0-653115da237b/details.
- European Commission, (2016). http://ec.europa.eu/environment/waste/landfill/pdf/.
- guidance%20on%20landfill%20gas.pdf.
- Fosco, D., De Molfetta, M., Renzulli, P. e Notarnicola, B., (2024). Progress in monitoring methane emissions from landfills using drones: an overview of the last ten years. Science of The Total Environment. Vol. 945, 173981. [CrossRef]
- He, H.; Gao, S.; Hu, J.; Zhang, T.;Wu, T.; Qiu, Z.; Zhang, C.; Sun, Y.; He, S. (2021) . In-Situ Testing of Methane Emissions from Landfills Using Laser Absorption Spectroscopy. Appl. Sci. 2021, 11, 2117. [CrossRef]
- IPCC (Intergovernmental Panel on Climate Change). (2006). 2006 IPCC Guidelines for National Greenhouse Gas Inventories: Waste. Vol. 5, National Greenhouse Gas Inventories Programme.
- Ishigaki, T., Yamada, M., Nagamori, M., Ono, Y., Inoue, Y., (2005). Estimation of methane emission from whole waste landfill site using correlation between flux and ground temperature. Environmental Geology, Vol. 48 No. 7, pp. 845–853. https://ui.adsabs.harvard.edu/link_gateway/2005EnGeo.48..845I/doi:10.1007/s00254-005-0008-0. [CrossRef]
- Jeong, S., Park, J., Kim, Y. M., Park, M. H. e Kim, J. Y., (2019). Innovation of flux chamber network design for surface methane emission from landfills using spatial interpolation models. Science of The Total Environment. Vol. 688, 18–25. [CrossRef]
- Karanjekar, R. V., Bhatt, A., Altouqui, S., Jangikhatoonabad, N., Durai, V., Sattler, M. L., Hossain, M. D. S., & Chen, V. (2015). Estimating methane emissions from landfills based on rainfall, ambient temperature, and waste composition: The CLEEN model. Waste Management, Vol. 46, pp. 389–398. [CrossRef]
- Lando, A. T., Nakayama, H. e Shimaoka, T., (2016). Application of portable gas detector in point and scanning method to estimate spatial distribution of methane emission in landfill. Waste Management. Vol. 59, pp. 255–266. [CrossRef]
- Li, Y., Chen, H., Li, H., Liu, C., Li, J., Chen, Q., Li, K., Zhang, S. e Gu, M., (2023). Ultra-high sensitivity methane gas sensor based on vernier effect in double D-shaped and cryptophane-A film-coated photonic crystal fiber: Design and FEM simulation. Results in Physics. Vol. 52, 106840. [CrossRef]
- Liu, H., Wang, M., Wang, Q., Li, H., Ding, Y. e Zhu, C., (2018). Simultaneous measurement of hydrogen and methane based on PCF-SPR structure with compound film-coated side-holes. Optical Fiber Technology. Vol. 45, pp. 1–7. [CrossRef]
- Mackie, K. R. e Cooper, C. D., (2009). Landfill gas emission prediction using Voronoi diagrams and importance sampling. Environmental Modelling & Software. Vol. 24 (10), 1223–1232. [CrossRef]
- Martin, C. R., Zeng, N., Karion, A., Dickerson, R. R., Ren, X., Turpie, B. N., and Weber, K. J. (2017). Evaluation and environmental correction of ambient CO2 measurements from a low-cost NDIR sensor. Atmos. Meas. Tech., 10, 2383–2395. [CrossRef]
- Morales, R., Ravelid, J., Vinkovic, K., Korbeń, P., Tuzson, B., Emmenegger, L., Chen, H., Schmidt, M., Humbel, S., and Brunner, D., (2022). Controlled-release experiment to investigate uncertainties in UAV-based emission quantification for methane point sources. Atmos. Meas. Tech., 15, 2177–2198. [CrossRef]
- Mønster, J., Kjeldsen, P. e Scheutz, C., (2019). Methodologies for measuring fugitive methane emissions from landfills – A review. Waste Management. Vol. 87, pp. 835–859. [CrossRef]
- Ngwabie, N. M., Wirlen, Y. L., Yinda, G. S. e VanderZaag, A. C., (2019). Quantifying greenhouse gas emissions from municipal solid waste dumpsites in Cameroon. Waste Management. Vol. 87, pp. 947–953. [CrossRef]
- Obersky, L., Rafiee, R., Cabral, A. R., Golding, S. D. e Clarke, W. P., (2018). Methodology to determine the extent of anaerobic digestion, composting and CH4 oxidation in a landfill environment. Waste Management. Vol. 76, pp. 364–373. [CrossRef]
- Ozcan H. K., BORAT M., Sezgin N., Nemlioglu S., Demir G. (2006). Determination of seasonal variations of major landfill gas in Istanbul Kemerburgaz-Odayeri solid waste landfill. Fresenius Environmental bulletin, vol.15, no.4, pp.272-276. https://avesis.iuc.edu.tr/yayin/31e91822-0f70-4955-8c2d-39f3566485db/determination-of-seasonal-variations-of-major-landfill-gas-in-istanbul-kemerburgaz-odayeri-solid-waste-landfill.
- Pratt, C., Walcroft, A. S., Deslippe, J. e Tate, K. R., (2013). CH4/CO2 ratios indicate highly efficient methane oxidation by a pumice landfill cover-soil. Waste Management. Vol. 33 (2), 412–419. [CrossRef]
- Randazzo, A., Venturi, S. e Tassi, F., (2024). Soil processes modify the composition of volatile organic compounds (VOCs) from CO2- and CH4-dominated geogenic and landfill gases: A comprehensive study. Science of The Total Environment. Vol. 923, 171483. [CrossRef]
- Rusín, J., Chamrádová, K., Jastrzembski, T., & Skrínský, J. (2022). Explosion characteristics of a biogas/air mixtures. Chemical Engineering Transactions, 90, 271-276. [CrossRef]
- Scheutz, C., Cassini, F., De Schoenmaeker, J. e Kjeldsen, P., (2017). Mitigation of methane emissions in a pilot-scale biocover system at the AV Miljø Landfill, Denmark: 2. Methane oxidation. Waste Management. Vol. 63, 203–212. [CrossRef]
- Scheutz, C., Fredenslund, A. M., Nedenskov, J., Samuelsson, J. e Kjeldsen, P., (2011). Gas production, composition and emission at a modern disposal site receiving waste with a low-organic content. Waste Management. Vol. 31 (5), 946–955. [CrossRef]
- Shah, A.; Pitt, J.; Kabbabe, K.; Allen, G. (2019). Suitability of a Non-Dispersive Infrared Methane Sensor Package for Flux Quantification Using an Unmanned Aerial Vehicle. Sensors, 19, 4705. [CrossRef]
- Shi, J., Jiang, Y., Duan, Z., Li, J., Yuan, Z. e Tai, H., (2024). Designing an optical gas chamber with stepped structure for non-dispersive infrared methane gas sensor. Sensors and Actuators A: Physical. Vol. 367. 115052. [CrossRef]
- SNPA. Sistema Nazionale per la Protezione dell’Ambiente (2018). Progettazione del monitoraggio di vapori nei siti contaminati. Linea Guida SNPA 15/2018 Appendix B. ISBN: 978-88-448-0922-5. https://www.snpambiente.it/wp-content/uploads/2018/11/Appendice_B_linee_guida_snpa_15_2018.pdf.
- Virgili G., Continanza D., Coppo L. (2008). The FLUX-meter: a portable integrated instrumentation for the measurement of the biogas diffuse degassing from landfills. Giornale di Geologia Applicata 9:73–84.
- Yong, H.; Allen, G.; Mcquilkin, J.; Ricketts, H.; Shaw, J.T., (2024). Lessons learned from a UAV survey and methane emissions calculation at a UK landfill. Waste Management, Volume 180, Pages 47-54. ISSN 0956-053X. [CrossRef]
- You, R., Kang, H., Zhang, X., Zheng, S., Shao, L., Han, J. e Feng, G., (2024). Cubic nonlinear scanning for improved TDLAS-based methane concentration detection. International Journal of Hydrogen Energy.Vol. 86, 14–23. [CrossRef]
- Wong, C. L. Y. (2018). Analysis of the number of flux chamber samples and study area size on the accuracy of emission rate measurements. Journal of the Air & Waste Management Association, 68(10), 1103–1117. [CrossRef]
- Wu, T.; Cheng, J.;Wang, S.; He, H.; Chen, G.; Xu, H.; Wu, S. (2023). Hotspot Detection and Estimation of Methane Emissions from Landfill Final Cover. Atmosphere 2023, 14, 1598. [CrossRef]
- Haoqing Yang, Xiongzhu Bu, Yang Song, Yue Shen (2022): Methane concentration measurement method in rain and fog coexisting weather based on TDLAS, Measurement, Volume 204, 2022, 112091, ISSN 0263-2241. [CrossRef]
- Zhu, H., Letzel, M. O., Reiser, M., Kranert, M., Bächlin, W. e Flassak, T., (2013). A new approach to estimation of methane emission rates from landfills. Waste Management. Vol. 33 (12), 2713–2719. [CrossRef]













| Model | PERGAM Laser Falcon |
|---|---|
| Measurement Principle | Tunable Diode Laser Absorption Spectroscopy (TDLAS) |
| Data Acquisition Frequency | 10 Hz |
| Ports | MicroUSB (power), USB (data), microSD (data) |
| Calibration | Automatic at each start-up using internal reference cell |
| Laser Footprint (Diameter) | 0.08 m at 10 m AGL, 0.18 m at 20 m AGL, 0.27 m at 30 m AGL |
| Detectability Range | 1 - 50,000 ppm *m |
| Power Supply | 5 VDC - 3° |
| Measurement Laser | 10mW Class 2 infrared laser with 1653 nm wavelength (methane selective) |
| Guidance Laser | 5mW Class 2 red laser with 532 nm wavelength |
| Sensor Dimensions | 100 × 82.5 x 80 mm |
| Mass | 0.3 kg |
| Operating Temperature Range | -17°C - +50°C |
| Operating Humidity Range | 30 - 90% |
| Operating Frequency | 24 GHz |
|---|---|
| Measurement Accuracy | 0.1 m |
| Communication Interface | UART |
| Measurement Range | 200 m |
| Update Rate | 50 Hz |
| Weight | 95 g |
| Dimensions | 133 71 x 16.5 mm |
| Connections | 3 x UART, 1 x UART/RS232, 4 x GPIO pin pairs, 1 x Ethernet, 2 x USB 2.0, Bluetooth receiver |
|---|---|
| Operating Temperature Range | -25°C - +50°C |
| Input Current | 12V to 60V |
| Output Current | Selectable 9V - 12V - 15V - 18V |
| System Module | Raspberry Pi |
| RAM | 8 GB |
| Weight | 195 g |
| Dimensions | 112 x 84 x 34 mm |
| Type | Carbon fiber frame quadcopter |
|---|---|
| Power System | Dual 22.8V 6S LiPo batteries |
| Mass | 4.19 kg |
| Maximum Takeoff Weight (MTOW) | 6.14 kg |
| Propellers and Motors | 15" carbon fiber propellers |
| Dimensions | 883 × 886 × 398 mm |
| Onboard Sensors | Radar altimeter, RTK, multi-directional positioning sensors |
| Flight Software | Flight planner installed on PC and remote controller, communicating via WiFi network |
| Ingress Protection Rating | IP 43 |
| Maximum Allowable Wind Speed | 12 m/s |
|
Drone |
Site A1 (background) | CH4 (469 obs) |
|---|---|---|
| Site B (active sector) | CH4 (658 obs) | |
| Site C (capped sector) | CH4 (2552 obs) | |
|
Flux chamber |
Site A2(background) | CH4&CO2 (2 obs) |
| Site B (active sector) | CH4&CO2 (6 obs) | |
| Site C (capped sector) | CH4&CO2 (37 obs) |
| CH4(ppm*m) | N_Obs | Min | Max | Mean | P10 | P20 | P25 | P50 | P75 | P80 | P90 | P95 | P99 |
|---|---|---|---|---|---|---|---|---|---|---|---|---|---|
| A1_CH4 | 469 | 0 | 105 | 18.03 | 5 | 8 | 9 | 16 | 24 | 27 | 32 | 41 | 58 |
| B_CH4 | 658 | 0 | 362 | 30.28 | 6 | 11 | 12 | 22 | 36 | 42 | 57 | 87 | 161 |
| C_ CH4 | 2552 | 0 | 3838 | 29.04 | 5 | 9 | 11 | 21 | 35 | 40 | 56 | 73 | 126 |
| CH4 (mol/m2*d) | N_Obs | Min | Max | Mean | P10 | P20 | P25 | P50 | P75 | P80 | P90 | P95 | P99 |
| A2_ CH4_Fx | 2 (0) | 0 | 0 | 0 | n.a. | n.a. | n.a. | n.a. | n.a. | n.a. | n.a. | n.a. | n.a. |
| B_ CH4_Fx | 6 (2) | 0 | 9.235 | 2.494 | 0 | 0 | 0 | 0 | 4.298 | 5.73 | 7.483 | 8.359 | 9.06 |
| C_ CH4_Fx | 37 (2) | 0 | 3.259 | 0.132 | 0 | 0 | 0 | 0 | 0 | 0 | 0 | 0.327 | 2.673 |
| CO2 (mol/m2*d) | N_Obs | Min | Max | Mean | P10 | P20 | P25 | P50 | P75 | P80 | P90 | P95 | P99 |
| A2_CO2_Fx | 2(2) | 0.479 | 0.689 | 0.584 | 0.5 | 0.521 | 0.531 | 0.584 | 0.636 | 0.647 | 0.668 | 0.678 | 0.686 |
| B_CO2_Fx | 6 (2) | 0.264 | 6.274 | 2.244 | 0.335 | 0.406 | 0.467 | 0.985 | 3.743 | 4.551 | 5.413 | 5.843 | 6.188 |
| C_CO2_Fx | 37(35) | 0 | 1.51 | 0.238 | 0.042 | 0.071 | 0.08 | 0.172 | 0.306 | 0.333 | 0.525 | 0.639 | 1.199 |
| Area | n | h | x | Favorable cases |
Possibile cases |
p_val% |
|---|---|---|---|---|---|---|
| C | 232 | 22 | 2 | 231 | 26,796 | 0.86 |
| C | 232 | 22 | 4 | 7,315 | 117,612,110 | 0.0062 |
| B | 60 | 6 | 2 | 15 | 1770 | 0.84 |
| A1 | 44 | 5 | 2 | 10 | 946 | 1,05 |
| Id_exagon | JC | NN | pp_val% |
|---|---|---|---|
| 123 | 1 | 6 | 46.5 |
| 126 | 2 | 6 | 9.6 |
| 127 | 2 | 4 | 4.1 |
| 132 | 3 | 6 | 0.9 |
| 136 | 2 | 3 | 2.7 |
| 141 | 1 | 4 | 33.3 |
| 142 | 3 | 6 | 1.1 |
| 143 | 2 | 6 | 09.2 |
Disclaimer/Publisher’s Note: The statements, opinions and data contained in all publications are solely those of the individual author(s) and contributor(s) and not of MDPI and/or the editor(s). MDPI and/or the editor(s) disclaim responsibility for any injury to people or property resulting from any ideas, methods, instructions or products referred to in the content. |
© 2025 by the authors. Licensee MDPI, Basel, Switzerland. This article is an open access article distributed under the terms and conditions of the Creative Commons Attribution (CC BY) license (http://creativecommons.org/licenses/by/4.0/).