Submitted:
22 April 2025
Posted:
22 April 2025
You are already at the latest version
Abstract
Keywords:
1. Introduction
2. Mathematical Model of the of the Swing Drive of Excavators
2.1. Synthesis of the Drive System
2.2. Energy Analysis of the Efficiency of the Swing Drive Transmission
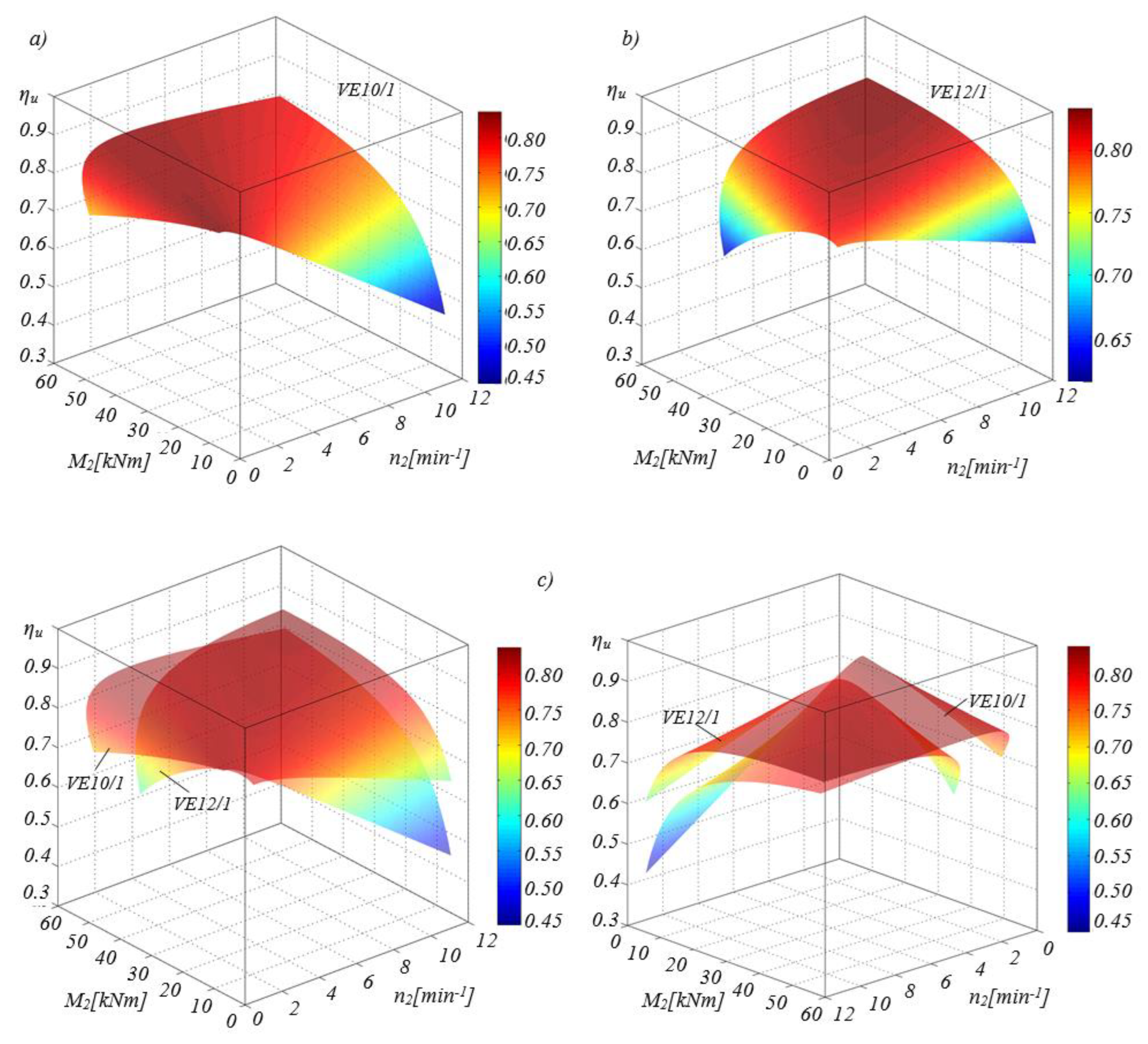
3. Example of Drive Efficiency Analysis
4. Conclusions
Author Contributions
Funding
Data Availability Statement
Conflicts of Interest
References
- Babaeimorad, S.; Fattahi, P.; Fazlollahtabar, H.; Shafiee, M. An integrated optimization of production and preventive maintenance scheduling in industry 4.0. Facta Univ. Ser. Mech. Eng. 2024, 22, 711–720. [Google Scholar] [CrossRef]
- Lodewyks, J.; Zurbrügg, P. Decentralized energy-saving hydraulic concepts for mobile working machines. 10th Int. Fluid Power Conf 2016, 1-2, 79–87. [Google Scholar]
- Do, T.C.; Dang, T.D.; Dinh, T.Q.; Ahn, K.K. Developments in energy regeneration technologies for hydraulic excavators: A review. Renew. Sustain. Energy Rev. 2021, 145, 111076. [Google Scholar] [CrossRef]
- Nguyen, V.H.; Do, T.C.; Dang, T.D.; Ahn, K.K. Improving the efficiency of hybrid hydraulic excavators with a novel powertrain and energy management system. Energy 2025, 323, 135766. [Google Scholar] [CrossRef]
- Singh S, Kumar A, Thakur S. Sustainable energy solutions for hydraulic excavators: A comprehensive review and novel energy regeneration approach. Proceedings of the Institution of Mechanical Engineers, Part E. 2025, 0. [Google Scholar]
- Ge, L.; Quan, L.; Zhang, X.; Zhao, B.; Yang, J. Efficiency improvement and evaluation of electric hydraulic excavator with speed and displacement variable pump. Energy Convers. Manag. 2017, 150, 62–71. [Google Scholar] [CrossRef]
- Li, Z.; Wang, C.; Quan, L.; Hao, Y.; Ge, L.; Xia, L. Study on energy efficiency characteristics of the heavy-duty manipulator driven by electro-hydraulic hybrid active-passive system. Autom. Constr. 2021, 125, 103646. [Google Scholar] [CrossRef]
- Huang, W.; Zhang, X.; Ge, L.; Quan, L. Dual Source Integrated Driving for Hydraulic Excavator Swing System. IEEE Access 2021, 9, 120755–120764. [Google Scholar] [CrossRef]
- Huang, W.; Quan, L.; Ge, L.; Xia, L. Combined velocity and position control of large inertial hydraulic swing mechanism considering energy balance of supply and demand. Autom. Constr. 2019, 106, 102899. [Google Scholar] [CrossRef]
- Nguyen, V.H.; Do, T.C.; Ahn, K.K. Hybrid powertrain with dual energy regeneration for boom cylinder movement in a hydraulic excavator. Automat. Constr. 2025, 171. [Google Scholar] [CrossRef]
- Tong, Z.; Jiang, Y.; Tong, S.; Zhang, Q.; Wu, J. Hybrid drivetrain with dual energy regeneration and collaborative control of driving and lifting for construction machinery. Automat. Constr. 2023, 150, 104806. [Google Scholar] [CrossRef]
- Yu, Y.; Do, T.C.; Yin, B.; Ahn, K.K. Improvement of energy saving for hybrid hydraulic excavator with novel powertrain. Int. J. Precis. Eng. Manuf.-Green Technol. 2023, 10, 521–534. [Google Scholar] [CrossRef]
- Nguyen, V.H.; Do, T.C.; Ahn, K.K. Investigation and optimization of energy consumption for hybrid hydraulic excavator with an innovative powertrain. Actuators 2023, 12, 382. [Google Scholar] [CrossRef]
- Truong, D.Q.; Marco, J.; Greenwood, D.; Harper, L.; Corrochano, D.G.; Yoon, J.I. Challenges of micro/mild hybridisation for construction machinery and applicability in UK. Renew. Sustain. Energy Rev. 2018, 91, 301–320. [Google Scholar] [CrossRef]
- Ge, L.; Quan, L.; Zhang, X.; Dong, Z.; Yang, J. Power matching and energy efficiency improvement of hydraulic excavator driven with speed and displacement variable power source. Chin. J. Mech. Eng. 2019, 32, 100. [Google Scholar] [CrossRef]
- Song, H.; Li, G.; Xiong, X.; Li, M.; Qin, Q.; Mitrouchev, P. A novel data fusion based intelligent identification approach for working cycle stages of hydraulic excavators. ISA Trans. 2024, 148, 78–91. [Google Scholar] [CrossRef]
- Precup,R. E.; Roman, R. C.; Hedrea, E. L.; Petriu, E. M.; Bojan-Dragos, C. A.; Szedlak-Stinean, A. I. Metaheuristic-based tuning of proportional-derivative learning rules for proportional-integral fuzzy controllers in tower crane system payload position control, Facta Univ. Ser. Mech. Eng. 2024, 22, 567 – 582.
- Kim, H.; Yoo, S.; Cho, S.; Yi, K. Hybrid control algorithm for fuel consumption of a compound hybrid excavator. Automat. Constr. 2016, 68, 1–10. [Google Scholar] [CrossRef]
- Zhang, S.; Minav, T.; Pietola, M.; Kauranne, H.; Kajaste, J. The effects of control methods on energy efficiency and position tracking of an electro-hydraulic excavator equipped with zonal hydraulics. Automat. Constr. 2019, 100, 129–144. [Google Scholar] [CrossRef]
- Kim, H.; Choi, J.; Yi, K. Development of supervisory control strategy for optimized fuel consumption of the compound hybrid excavator. Proc. Inst. Mech. Eng. D: J. Automob. Eng. 2012, 226, 1652–1666. [Google Scholar] [CrossRef]
- Jovanović, V.; Janošević, D.; Marinković, D.; Petrović, N.; Djokić, R. Analysis of Influential Parameters in the Dynamic Loading and Stability of the Swing Drive in Hydraulic Excavators. Machines 2024, 12, 737. [Google Scholar] [CrossRef]
- Modeling of Hydraulic Systems, Tutorial for the Hydraulics Library, Modelon 2013, https://uomosul.edu.iq/public/files/datafolder_2927/_20200216_095111_580.
- Arnaudov, K.; Karaivanov, D. The torque method used for studying coupled two-carrier planetary gear trains, Trans. of Famena 2013, XXXVII-1. [Google Scholar]
- Vrcan, Ž.; Troha, S.; Marković, K.; Marinković, D. Analysis of complex planetary gearboxes. Spectrum of Mechanical Engineering and Operational Research 2024, 1, 227–249. [Google Scholar] [CrossRef]
- Tica, M.; Vrcan, Ž.; Troha, S.; Marinković, D. Reversible planetary gearsets controlled by two brakes, for internal combustion railway vehicle transmission applications, Acta Polytec. Hung. 2023, 20, 95–108. [Google Scholar]
- C. Jodder, Dr. J. Saha: Structural analysis of three stage coupled planetary gear train and determination of efficiency, Int. Journal of Eng. Res. 2016, 5, 746–748.
- Bosch Rexroth, Available online: https://store.boschrexroth.com/Hidraulika?cclcl=en_HU, Available online: https://www.boschrexroth.com/en/hu/search.html?dnavs=DC_mediatype%3Adc_media_type_manual&q=79039-01-B&c=hu&lang=en&s=download.
- Jovanović, V.; Marinković, D.; Janošević, D.; Petrović, N. Influential Factors in the Loading of the Axial Bearing of the Slewing Platform Drive in Hydraulic Excavators. Tehnički Vjesnik - Tehnical Gazette 2023, 30, 158–168. [Google Scholar]
- Jovanović, V. , Marinković, D., Petrović, N., Stojanović, D. The Load Spectrum of Axial Bearing of Hydraulics Excavator with Shovel Attachment. J. Eng. Manag. Syst. Eng. 2024, 3, 175–182. [Google Scholar]
- Rothe Erde, Available online: https://www.thyssenkrupp-rotheerde.com/en/products/slewing-bearings.
- Janošević, D.; Pavlović, J.; Jovanović, V.; Petrović, G. A numerical and experimental analysis of the dynamic stability of hydraulic excavators, Facta Univ. Ser. Mech. Eng. 2018, 16, 157–170. [Google Scholar]





| Parameters | Symbol | Unit | Value |
| Maximum torque of the slewing platform | M2max | kNm | 50 |
| Maximum rotational speed of the slewing platform | n2max /(θ2max) | min-1/(rad/s) | 12/(1,25) |
| Number of swing drive mechanisms | nc2 | - | 1 |
| Number of teeth on the ring gear of the axial bearing | z26 | - | 93 |
| Efficiency between the gearbox and the axial bearing | ηl | - | 0,96 |
| Diesel engine max speed range at rated power | nenp,nenk | min-1 | 2000-2100 |
| Transmission ratio range of the power splitter | iep,iek | - | 0,50-1,20 |
| Pressure range of the hydraulic pump | pmin,pmax | MPa | 20-45 |
| Variant / Number of Drives | Hydraulic pump | Hydraulic motor | Gearbox | Slewing platform | |||
| Specific displacement qp [cm3] |
Pressure p [MPa] |
Rotational speed np [min-1] |
Specific displacement qm [cm3] |
Transmission ratio ir |
Rotational speed n2 [min-1] |
Torque M2 [kNm] |
|
| VE10/1 | 80.00 | 23.00 | 2433.09 | 32.00 | 91.13 | 12.06 | 50.02 |
| VE12/1 | 80.00 | 26.00 | 2141.33 | 80.40 | 31.36 | 12.07 | 50.45 |
| Specific displacement of the hydraulic motor |
Flow loss constants | Torque loss constants | |||
|
qm cm3 |
h1m m3/sPa |
h2m m3/rad |
kom Nm |
k1m Nm/Pa |
k2m Nm/(rad/s) |
| 35 | 1,0565e-12 | 3,0393e-8 | -2,8465e-1 | 3,7989e-7 | 2,1217e-2 |
| 75 | 1,8576e-12 | 5,1773e-8 | 3,4105 | 4,7974e-7 | 6.9763e-2 |
Disclaimer/Publisher’s Note: The statements, opinions and data contained in all publications are solely those of the individual author(s) and contributor(s) and not of MDPI and/or the editor(s). MDPI and/or the editor(s) disclaim responsibility for any injury to people or property resulting from any ideas, methods, instructions or products referred to in the content. |
© 2025 by the authors. Licensee MDPI, Basel, Switzerland. This article is an open access article distributed under the terms and conditions of the Creative Commons Attribution (CC BY) license (http://creativecommons.org/licenses/by/4.0/).