Submitted:
22 April 2025
Posted:
24 April 2025
You are already at the latest version
Abstract
Keywords:
1. Introduction
2. Results and Discussions
2.1. Characterization of Nanoparticles
2.1.1. Visual Observation and UV-Vis Spectra
2.1.2. Fourier Transform Infrared (FT-IR) Spectra
2.1.3. Size and Zeta Potential
2.1.4. Rutin-G Amount
2.1.5. Hydrogen Peroxide Released from RutinG-TiOx NPs
2.2. Cell Assays
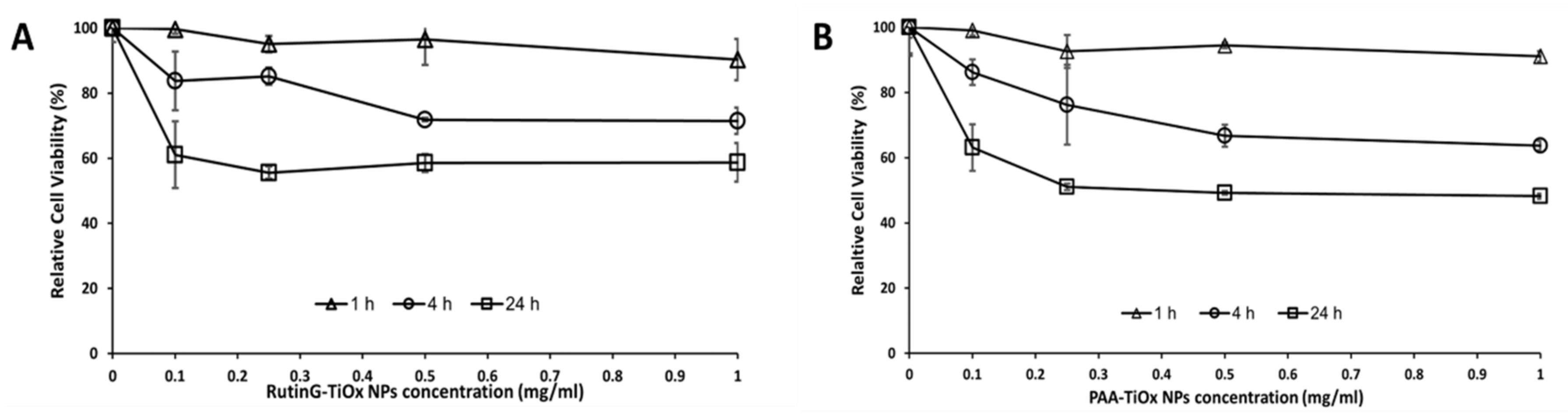
2.2.1. Cell Cytotoxicity
2.2.2. Cellular Uptake
2.2.3. Colony Formation
3. Materials and Methods
3.1. Nanoparticles
3.1.1. PAA-TiOx NPs
3.1.2. RutinG-TiOx NPs
3.1.3. RutinG-PAA-TiOx NPs
3.2. Characterization of Nanoparticles
3.3. Evaluation of Hydrogen Peroxide Adsorption and Release
3.4. Cytotoxicity Assay
3.5. Cellular Uptake of Nanoparticles
3.6. Colony Formation Assay
3.7. Statistical Analysis
4. Conclusions
Supplementary Materials
Author Contributions
Funding
Conflicts of Interest
References
- Vaidya, J.S. Principles of Cancer Treatment by Radiotherapy. Surgery (Oxford) 2023, 42, 139–149. [Google Scholar] [CrossRef]
- Feys, L.; Descamps, B.; Vanhove, C.; Vral, A.; Veldeman, L.; Vermeulen, S.; De Wagter, C.; Bracke, M.; De Wever, O. Radiation-Induced Lung Damage Promotes Breast Cancer Lung-Metastasis through CXCR4 Signaling. Oncotarget 2015, 6, 26615–26632. [Google Scholar] [CrossRef] [PubMed]
- Abshire, D.; Lang, M.K. The Evolution of Radiation Therapy in Treating Cancer. Semin Oncol Nurs 2018, 34, 151–157. [Google Scholar] [CrossRef] [PubMed]
- Pang, W.Y.C.; Yu, K.S.; Loke, A.Y. Cardiac Dose Comparison of Abdominal and Thoracic Deep Inspiration Breath Hold in Adult Female with Left-Sided Breast Cancer Receiving Radiation Therapy: A Systematic Review and Meta-Analysis. Radiography 2025, 31, 426–433. [Google Scholar] [CrossRef]
- Giaccia, A.J. Molecular Radiobiology: The State of the Art. Journal of Clinical Oncology 2014, 32, 2871–2878. [Google Scholar] [CrossRef]
- Ferro, A.; Goyal, S.; Kim, S.; Wu, H.; Taunk, N.K.; Schiff, D.; Pirlamarla, A.; Haffty, B.G. Evaluation of Diabetic Patients with Breast Cancer Treated with Metformin during Adjuvant Radiotherapy. Int J Breast Cancer 2013, 2013, 1–7. [Google Scholar] [CrossRef]
- Morita, K.; Miyazaki, S.; Numako, C.; Ikeno, S.; Sasaki, R.; Nishimura, Y.; Ogino, C.; Kondo, A. Characterization of Titanium Dioxide Nanoparticles Modified with Polyacrylic Acid and H2O2 for Use as a Novel Radiosensitizer. Free Radic Res 2016, 50, 1319–1328. [Google Scholar] [CrossRef]
- Hassan, M.; Nakayama, M.; Salah, M.; Akasaka, H.; Kubota, H.; Nakahana, M.; Tagawa, T.; Morita, K.; Nakaoka, A.; Ishihara, T.; et al. A Comparative Assessment of Mechanisms and Effectiveness of Radiosensitization by Titanium Peroxide and Gold Nanoparticles. Nanomaterials 2020, 10, 1–19. [Google Scholar] [CrossRef]
- Nakayama, M.; Sasaki, R.; Ogino, C.; Tanaka, T.; Morita, K.; Umetsu, M.; Ohara, S.; Tan, Z.; Nishimura, Y.; Akasaka, H.; et al. Titanium Peroxide Nanoparticles Enhanced Cytotoxic Effects of X-Ray Irradiation against Pancreatic Cancer Model through Reactive Oxygen Species Generation in Vitro and in Vivo. Radiation Oncology 2016, 11, 1–11. [Google Scholar] [CrossRef]
- Morita, K.; Suzuki, T.; Nishimura, Y.; Matsumoto, K.; Numako, C.; Sato, K.; Nakayama, M.; Sasaki, R.; Ogino, C.; Kondo, A. In Vivo Tissue Distribution and Safety of Polyacrylic Acid-Modified Titanium Peroxide Nanoparticles as Novel Radiosensitizers. J Biosci Bioeng 2018, 126, 119–125. [Google Scholar] [CrossRef]
- Kessler, M.; Ubeaud, G.; Jung, L. Anti- and pro-Oxidant Activity of Rutin and Quercetin Derivatives. Journal of Pharmacy and Pharmacology 2003, 55, 131–142. [Google Scholar] [CrossRef] [PubMed]
- Suzuki, Y.; Suzuki, K.; Yoneyama, M.; Hijiya, H.; Miyake, T. Preparation and Uses of Alpha-Glycosyl Rutin 1992.
- Grover-McKay, M.; Walsh, S.A.; Seftor, E.A.; Thomas, P.A.; Hendrix, M.J.C. Role for Glucose Transporter 1 Protein in Human Breast Cancer. Pathology Oncology Resesarch 1998, 4, 115–120. [Google Scholar] [CrossRef] [PubMed]
- Macyk, W.; Szaciłowski, K.; Stochel, G.; Buchalska, M.; Kuncewicz, J.; Łabuz, P. Titanium(IV) Complexes as Direct TiO2 Photosensitizers. Coord Chem Rev 2010, 254, 2687–2701. [Google Scholar] [CrossRef]
- Labuz, P.; Sadowski, R.; Stochel, G.; Macyk, W. Visible Light Photoactive Titanium Dioxide Aqueous Colloids and Coatings. Chemical Engineering Journal 2013, 230, 188–194. [Google Scholar] [CrossRef]
- Aye, T.T.; Low, T.Y.; Sze, S.K. Nanosecond Laser-Induced Photochemical Oxidation Method for Protein Surface Mapping with Mass Spectrometry. Anal Chem 2005, 77, 5814–5822. [Google Scholar] [CrossRef]
- Liufu, S.; Xiao, H.; Li, Y. Adsorption of Poly(Acrylic Acid) onto the Surface of Titanium Dioxide and the Colloidal Stability of Aqueous Suspension. J Colloid Interface Sci 2005, 281, 155–163. [Google Scholar] [CrossRef]
- Paśko, P.; Galanty, A.; Dymerski, T.; Kim, Y.M.; Park, Y.S.; Cabrales-Arellano, P.; Martinez, V.V.; Delgado, E.; Gralak, M.; Deutsch, J.; et al. Physicochemical and Volatile Compounds Analysis of Fruit Wines Fermented with Saccharomyces Cerevisiae: FTIR and Microscopy Study with Focus on Anti-Inflammatory Potential. Int J Mol Sci 2024, 25, 5627. [Google Scholar] [CrossRef]
- Chougala, L.S.; Yatnatti, M.S.; Linganagoudar, R.K.; Kamble, R.R.; Kadadevarmath, J.S. A Simple Approach on Synthesis of TiO2 Nanoparticles and Its Application in Dye Sensitized Solar Cells. Journal of Nano- and Electronic Physics 2017, 9, 04005. [Google Scholar] [CrossRef]
- León, A.; Reuquen, P.; Garín, C.; Segura, R.; Vargas, P.; Zapata, P.; Orihuela, P.A. FTIR and Raman Characterization of TiO2 Nanoparticles Coated with Polyethylene Glycol as Carrier for 2-Methoxyestradiol. Applied Sciences 2017, 7, 49. [Google Scholar] [CrossRef]
- Oba, Y.; Osaka, K.; Watanabe, N.; Chigai, T.; Kouchi, A. Reaction Kinetics and Isotope Effect of Water Formation by the Surface Reaction of Solid H2O2 with H Atoms at Low Temperatures. Faraday Discuss 2014, 168, 185–204. [Google Scholar] [CrossRef]
- Maiorano, G.; Sabella, S.; Sorce, B.; Brunetti, V.; Malvindi, M.A.; Cingolani, R.; Pompa, P.P. Effects of Cell Culture Media on the Dynamic Formation of Protein-Nanoparticle Complexes and Influence on the Cellular Response. ACS Nano 2010, 4, 7481–7491. [Google Scholar] [CrossRef] [PubMed]
- Liang, L.; Everest-Dass, A.V.; Kostyuk, A.B.; Khabir, Z.; Zhang, R.; Trushina, D.B.; Zvyagin, A.V. The Surface Charge of Polymer-Coated Upconversion Nanoparticles Determines Protein Corona Properties and Cell Recognition in Serum Solutions. Cells 2022, 11, 3644. [Google Scholar] [CrossRef] [PubMed]
- Zhao, F.; Ming, J.; Zhou, Y.; Fan, L. Inhibition of Glut1 by WZB117 Sensitizes Radioresistant Breast Cancer Cells to Irradiation. Cancer Chemother Pharmacol 2016, 77, 963–972. [Google Scholar] [CrossRef] [PubMed]
- Morita, K.; Nishimura, Y.; Nakamura, S.; Arai, Y.; Numako, C.; Sato, K.; Nakayama, M.; Akasaka, H.; Sasaki, R.; Ogino, C.; et al. Titanium Oxide Nano-Radiosensitizers for Hydrogen Peroxide Delivery into Cancer Cells. Colloids Surf B Biointerfaces 2021, 198, 1–8. [Google Scholar] [CrossRef]





Disclaimer/Publisher’s Note: The statements, opinions and data contained in all publications are solely those of the individual author(s) and contributor(s) and not of MDPI and/or the editor(s). MDPI and/or the editor(s) disclaim responsibility for any injury to people or property resulting from any ideas, methods, instructions or products referred to in the content. |
© 2025 by the authors. Licensee MDPI, Basel, Switzerland. This article is an open access article distributed under the terms and conditions of the Creative Commons Attribution (CC BY) license (http://creativecommons.org/licenses/by/4.0/).