Submitted:
19 April 2025
Posted:
21 April 2025
You are already at the latest version
Abstract
Keywords:
1. Introduction
2. Materials and Methods
2.1. Study Design
2.2. Study Population
2.3. Outcomes
2.4. Procedure
2.4.1. Electrode Placement
2.5. Experimental Procedure
2.5.1. Exercises
2.6. Statistical Analysis
3. Results
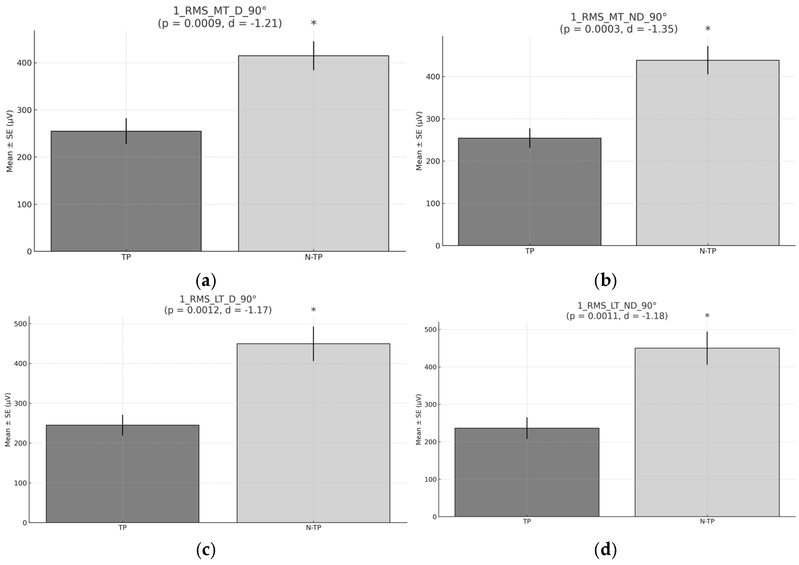
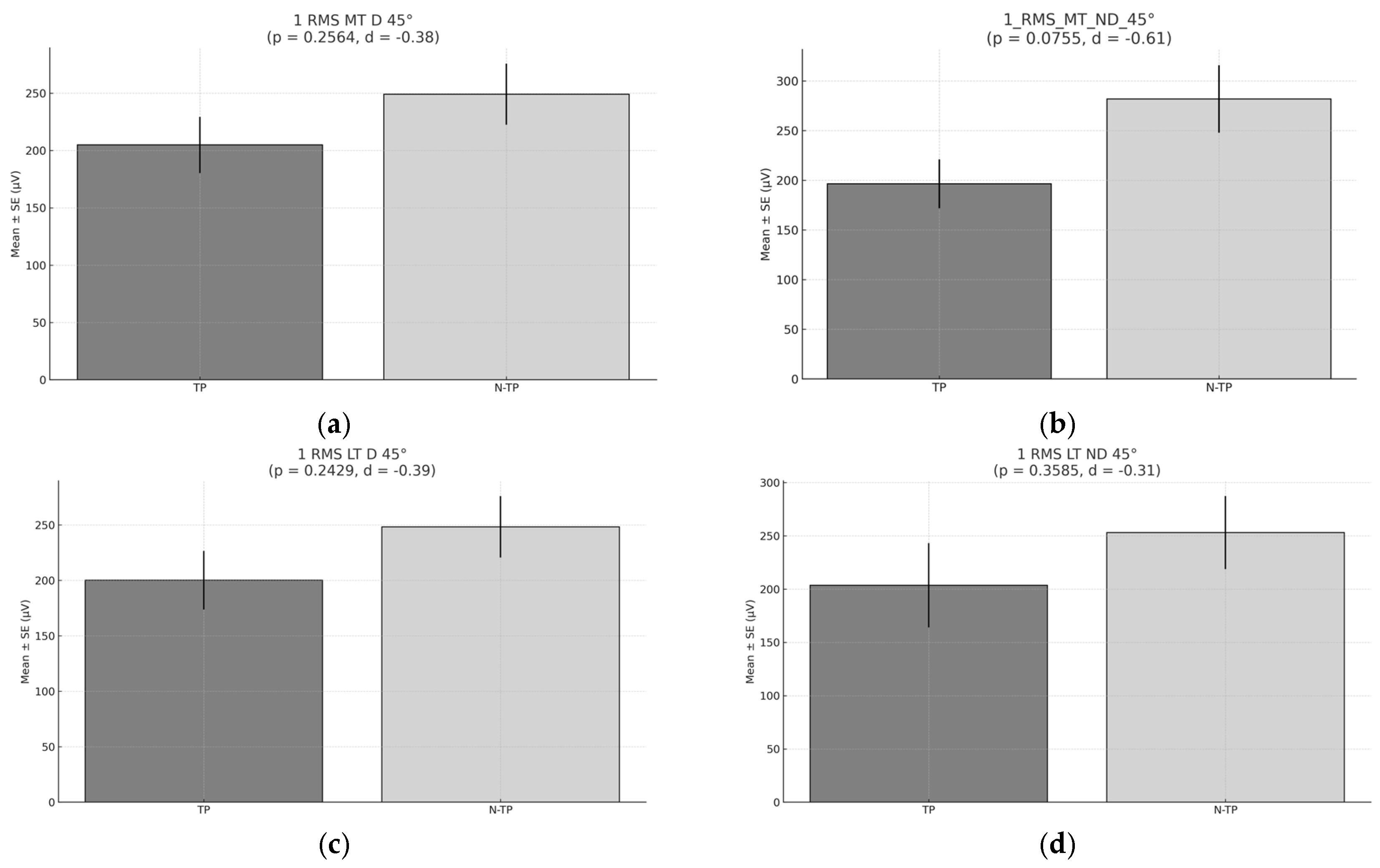
3.1. Exercise 1 Muscle Recruitment at 90° and 45°
3.2. Exercise 1 Muscle Symmetries at 90° and 45°
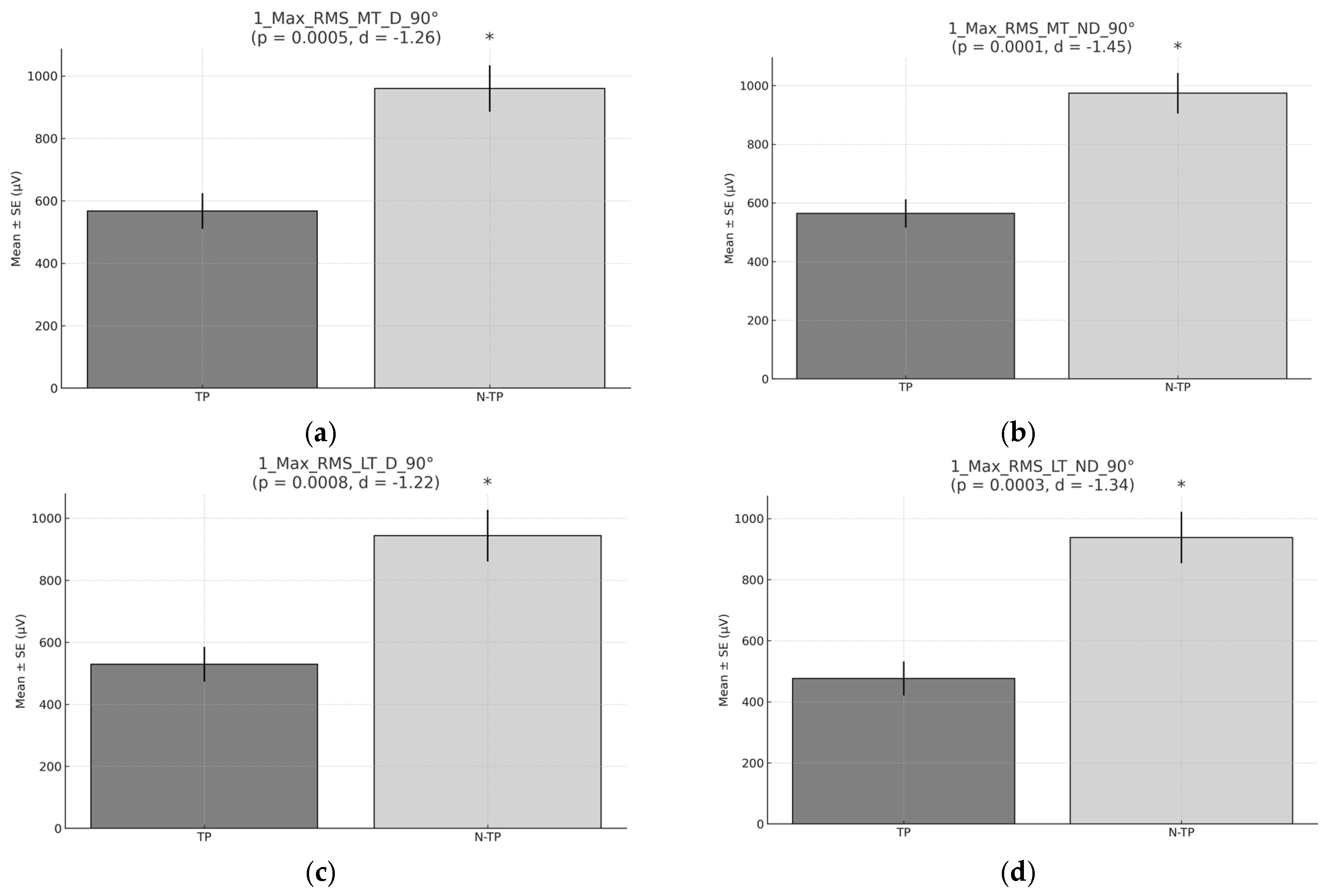
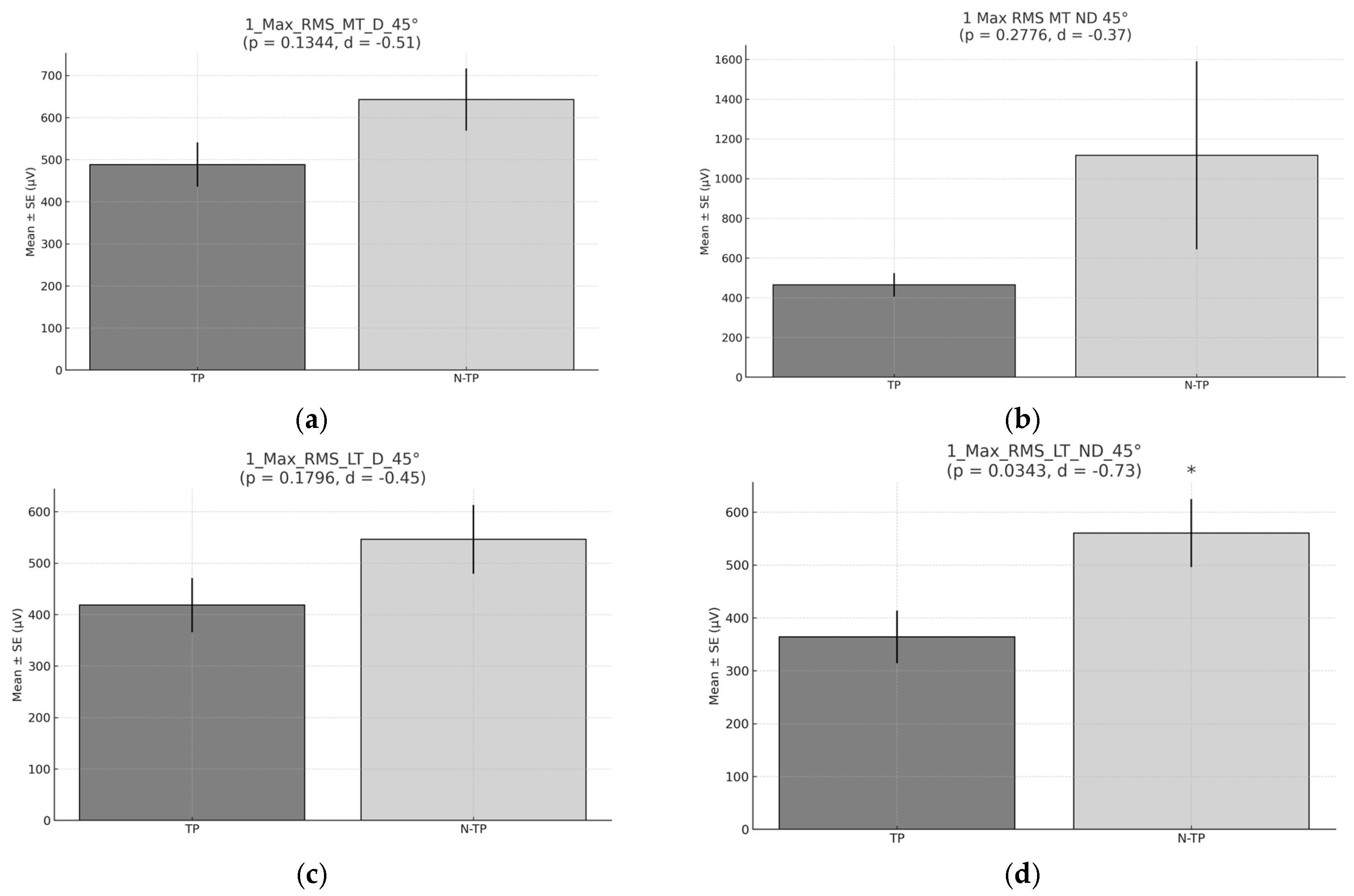
3.3. Exercise 1 RMS Peaks at 90° and 45°
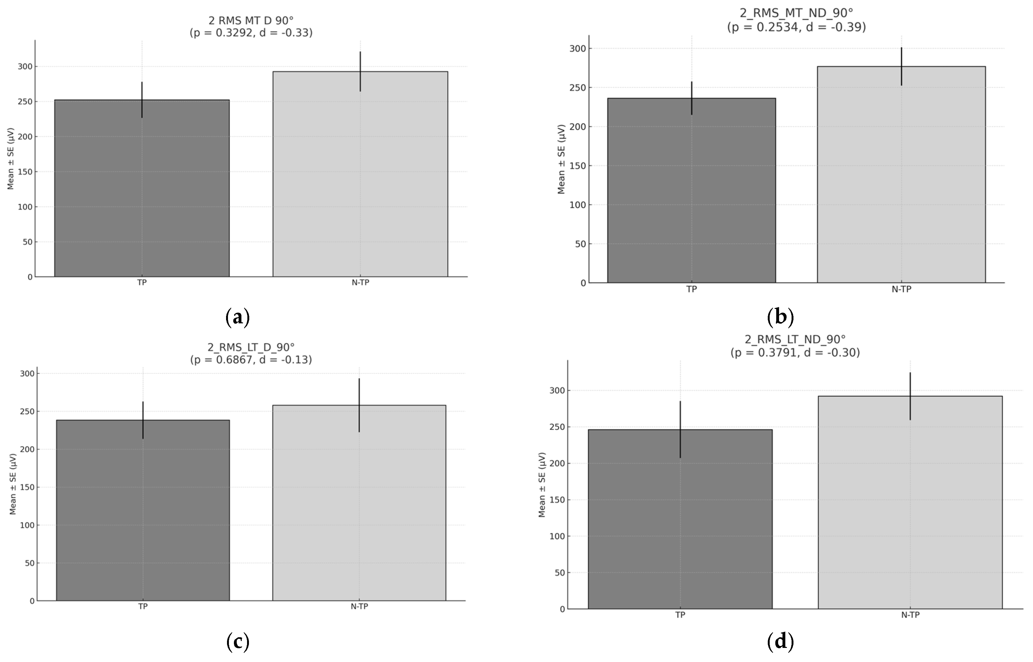
3.4. Exercise 2 RMS at 90° and 45°
3.5. Exercise 2 Muscle Symmetries at 90° and 45°
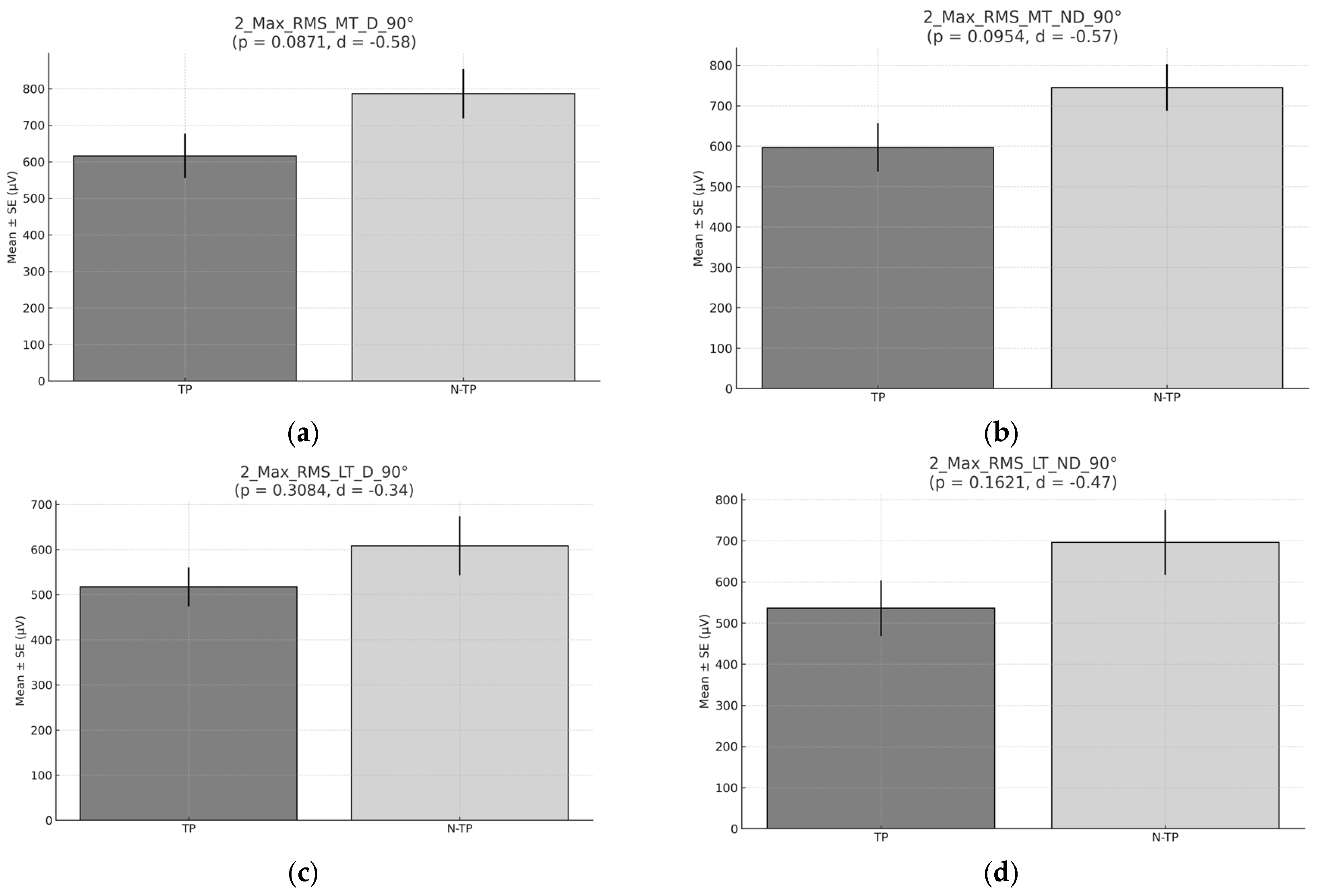
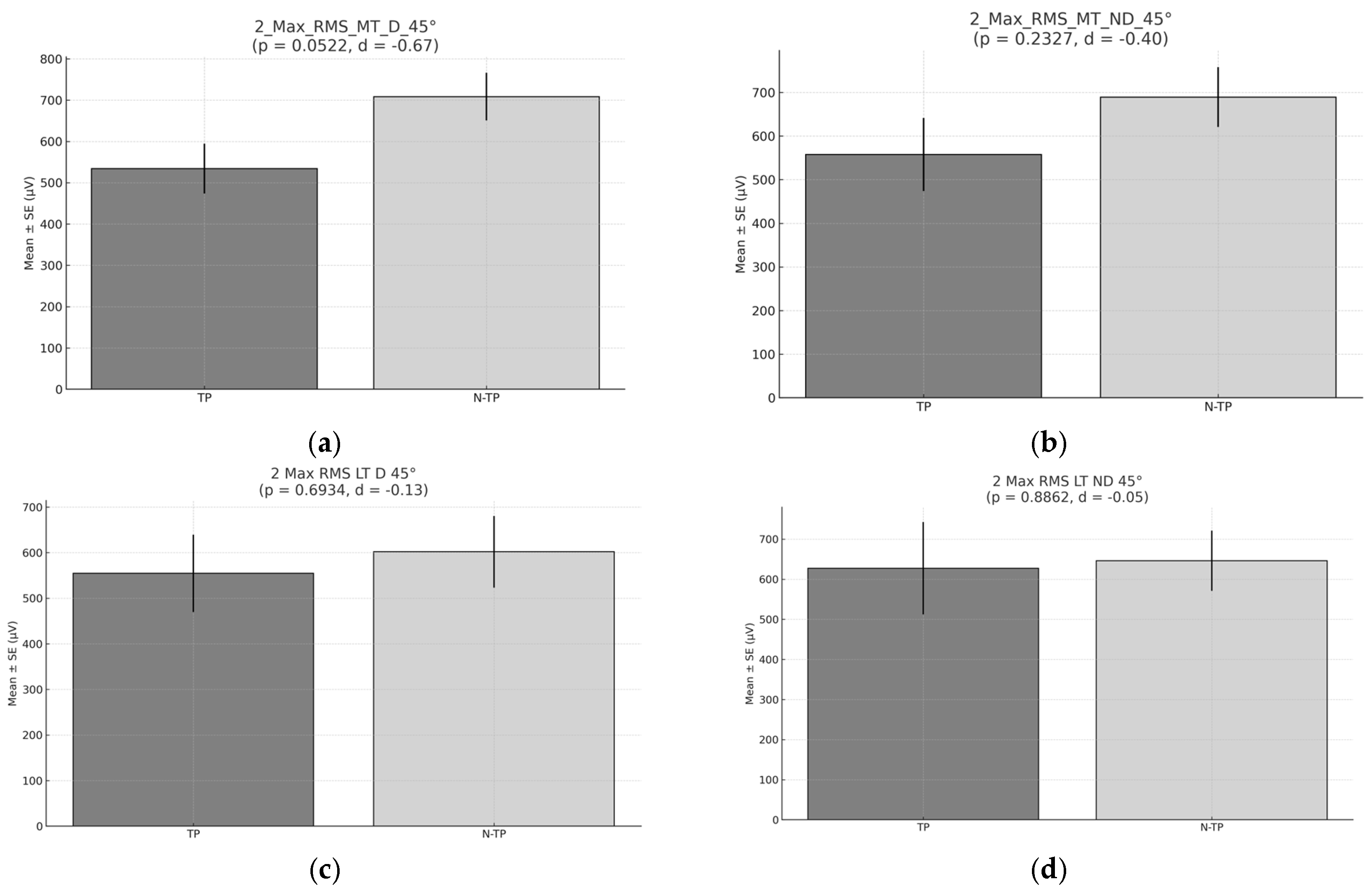
3.6. Exercise 2 RMS Peaks at 90° and 45°
3.7. Comparison Between Exercises and Muscle Groups
4. Discussion
5. Conclusions
Author Contributions
Funding
Institutional Review Board Statement
Informed Consent Statement
Data Availability Statement
Acknowledgments
Conflicts of Interest
References
- Bonavolontà, V.; Gallotta, M.C.; Zimatore, G.; Curzi, D.; Ferrari, D.; Vinciguerra, M.G.; Guidetti, L.; Baldari, C. Chronic Effects of Asymmetric and Symmetric Sport Load in Varsity Athletes across a Six Month Sport Season. Int J Environ Res Public Health 2023, 20. [Google Scholar] [CrossRef]
- Vargas, V.Z.; Motta, C.; Vancini, R.L.; De Lira, C.A.B.; Andrade, M.S. Shoulder Isokinetic Strength Balance Ratio in Overhead Athletes: A Cross-Sectional Study. Int J Sports Phys Ther 2021, 16, 827–834. [Google Scholar] [CrossRef]
- Chandler, T.J.; Kibler, W.B.; Stracener, E.C.; Ziegler, A.K.; Pace, B. Shoulder Strength, Power, and Endurance in College Tennis Players. American Journal of Sports Medicine 1992, 20, 455–458. [Google Scholar] [CrossRef]
- Hoppe, M.W.; Brochhagen, J.; Tischer, T.; Beitzel, K.; Seil, R.; Grim, C. Risk Factors and Prevention Strategies for Shoulder Injuries in Overhead Sports: An Updated Systematic Review. J Exp Orthop 2022, 9. [Google Scholar] [CrossRef]
- Ramos-Álvarez, J.J.; Del Castillo-Campos, M.J.; Polo-Portés, C.E.; Lara-Hernández, M.T.; Jiménez-Herranz, E.; Naranjo-Ortiz, C. Estudio Comparativo Entre Deportes Simétricos y Asimétricos Mediante Análisis Estructural Estático En Deportistas Adolescentes. Archivos de Medicina del Deporte 2016, 33, 98–102. [Google Scholar]
- Colomar, J.; Corbi, F.; Baiget, E. Inter-Limb Muscle Property Differences in Junior Tennis Players. J Hum Kinet 2022, 82, 5–15. [Google Scholar] [CrossRef] [PubMed]
- Asker, M.; Brooke, H.L.; Waldén, M.; Tranaeus, U.; Johansson, F.; Skillgate, E.; Holm, L.W. Risk Factors for, and Prevention of, Shoulder Injuries in Overhead Sports: A Systematic Review with Best-Evidence Synthesis. Br J Sports Med 2018, 52, 1312–1319. [Google Scholar] [CrossRef] [PubMed]
- Moradi, M.; Hadadnezhad, M.; Letafatkar, A.; Khosrokiani, Z.; Baker, J.S. Efficacy of Throwing Exercise with TheraBand in Male Volleyball Players with Shoulder Internal Rotation Deficit: A Randomized Controlled Trial. BMC Musculoskelet Disord 2020, 21, 1–13. [Google Scholar] [CrossRef]
- Cools, A.M.; Palmans, T.; Johansson, F.R. Age-Related, Sport-Specific Adaptions of the Shoulder Girdle in Elite Adolescent Tennis Players. J Athl Train 2014, 49, 647–653. [Google Scholar] [CrossRef]
- Martín-Castellanos, A.; Barba-Ruiz, M.; Herrera-Peco, I.; Amor-Salamanca, M.S.; Rodríguez-González, E.M.; Hermosilla-Perona, F. A Systematic Review of the Best-Practice Return to Play Programs in Tennis Players. PLoS One 2025, 20. [Google Scholar] [CrossRef]
- Villanueva-Guerrero, O.; Gadea-Uribarri, H.; Villavicencio Álvarez, V.E.; Calero-Morales, S.; Mainer-Pardos, E. Relationship between Interlimb Asymmetries and Performance Variables in Adolescent Tennis Players. Life 2024, 14. [Google Scholar] [CrossRef] [PubMed]
- Moreno-Pérez, V.; Moreside, J.; Barbado, D.; Vera-Garcia, F.J. Comparison of Shoulder Rotation Range of Motion in Professional Tennis Players with and without History of Shoulder Pain. Man Ther 2015, 20, 313–318. [Google Scholar] [CrossRef]
- Nutt, C.; Mirkovic, M.; Hill, R.; Ranson, C.; Cooper, S.-M. Reference Values for Glenohumeral Joint Rotational Range of Motion in Elite Tennis Players. Int J Sports Phys Ther 2018, 13, 501–510. [Google Scholar] [CrossRef]
- Tooth, C.; Gofflot, A.; Schwartz, C.; Croisier, J.L.; Beaudart, C.; Bruyère, O.; Forthomme, B. Risk Factors of Overuse Shoulder Injuries in Overhead Athletes: A Systematic Review. Sports Health 2020, 12, 478–487. [Google Scholar] [CrossRef] [PubMed]
- Escamilla, R.; Yamashiro, K.; Mikla, T.; Collins, J.; Lieppman, K.; Andrews, J. Effects of a Short-Duration Stretching Drill After Pitching on Elbow and Shoulder Range of Motion in Professional Baseball Pitchers. Am J Sports Med 2016, 20. [Google Scholar] [CrossRef] [PubMed]
- Kibler, W.B.; Jeff Chandler, T.; Shapiro, R.; Conuel, M.; Benjamin Kibler, W. Muscle Activation in Coupled Scapulohumeral Motions in the High Performance Tennis Serve. Br J Sports Med 2007, 41, 745–749. [Google Scholar] [CrossRef]
- Young, S.W.; Dakic, J.; Stroia, K.; Nguyen, M.L.; Harris, A.H.S.; Safran, M.R. High Incidence of Infraspinatus Muscle Atrophy in Elite Professional Female Tennis Players. American Journal of Sports Medicine 2015, 43, 1989–1993. [Google Scholar] [CrossRef]
- Cools, A.M.; Witvrouw, E.E.; De Clercq, G.A.; Danneels, L.A.; Willems, T.M.; Cambier, D.C. Scapular Muscle Recruitment Pattern: Electromyographic Response of the Trapezius Muscle to Sudden Shoulder Movement Before and After a Fatiguing Exercise; 2002.
- Hawkes, D.H.; Alizadehkhaiyat, O.; Kemp, G.J.; Fisher, A.C.; Roebuck, M.M.; Frostick, S.P. Shoulder Muscle Activation and Coordination in Patients with a Massive Rotator Cuff Tear: An Electromyographic Study. J Orthop Res 2012, 30, 1140–1146. [Google Scholar] [CrossRef]
- Kibler, W. Ben The Role of the Scapula in Athletic Shoulder Function. American Journal of Sports Medicine 1998, 26, 325–337. [Google Scholar] [CrossRef]
- Spanhove, V.; Van Daele, M.; Van den Abeele, A.; Rombaut, L.; Castelein, B.; Calders, P.; Malfait, F.; Cools, A.; De Wandele, I. Muscle Activity and Scapular Kinematics in Individuals with Multidirectional Shoulder Instability: A Systematic Review. Ann Phys Rehabil Med 2021, 64. [Google Scholar] [CrossRef]
- Savoji, K.; Soleimani, M.; Moshayedi, A.J. A Comprehensive Review of Electromyography in Rehabilitation: Detecting Interrupted Wrist and Hand Movements with a Robotic Arm Approach. EAI Endorsed Transactions on AI and Robotics 2024, 3. [Google Scholar] [CrossRef]
- Berckmans, K.R.; Castelein, B.; Borms, D.; Parlevliet, T.; Cools, A. Rehabilitation Exercises for Dysfunction of the Scapula: Exploration of Muscle Activity Using Fine-Wire EMG. American Journal of Sports Medicine 2021, 49, 2729–2736. [Google Scholar] [CrossRef] [PubMed]
- Jiang, Y.; Chen, C.; Zhang, X.; Chen, C.; Zhou, Y.; Ni, G.; Muh, S.; Lemos, S. Shoulder Muscle Activation Pattern Recognition Based on SEMG and Machine Learning Algorithms. Comput Methods Programs Biomed 2020, 197, 105721. [Google Scholar] [CrossRef] [PubMed]
- Barden, J.M.; Balyk, R.; Raso, V.J.; Moreau, M.; Bagnall, K. Atypical Shoulder Muscle Activation in Multidirectional Instability. Clinical Neurophysiology 2005, 116, 1846–1857. [Google Scholar] [CrossRef]
- De Luca, C.J. The Use of Surface Electromyography in Biomechanics. Journal of Applied Biomechanics JOURNAL OF APPLIED 8IC)MECHANICS 1997, 13. [Google Scholar] [CrossRef]
- Parkinson, A.O.; Apps, C.L.; Morris, J.G.; Barnett, C.T.; Lewis, M.G.C. The Calculation, Thresholds and Reporting of Inter-Limb Strength Asymmetry: A Systematic Review. J Sports Sci Med 2021, 20, 594–617. [Google Scholar] [CrossRef]
- Boccia, G.; D’Emanuele, S.; Brustio, P.R.; Beratto, L.; Tarperi, C.; Casale, R.; Sciarra, T.; Rainoldi, A. Strength Asymmetries Are Muscle-Specific and Metric-Dependent. Int J Environ Res Public Health 2022, 19. [Google Scholar] [CrossRef]
- A, Seyed.; Safavynia, BS.; Gelsy Torres-Oviedo Muscle Synergies: Implications for Clinical Evaluation and Rehabilitation of Movement. Rehabilitation in Movement Disorders 2011, 17, 1–256. [CrossRef]
- Rawashdeh, S.A.; Rafeldt, D.A.; Uhl, T.L. Wearable IMU for Shoulder Injury Prevention in Overhead Sports. Sensors (Switzerland) 2016, 16. [Google Scholar] [CrossRef]
- Sakata, J.; Nakamura, E.; Suzuki, T.; Suzukawa, M.; Akeda, M.; Yamazaki, T.; Ellenbecker, T.S.; Hirose, N. Throwing Injuries in Youth Baseball Players: Can a Prevention Program Help? A Randomized Controlled Trial. American Journal of Sports Medicine 2019, 47, 2709–2716. [Google Scholar] [CrossRef]
- Tooth, C.; Gofflot, A.; Schwartz, C.; Croisier, J.L.; Beaudart, C.; Bruyère, O.; Forthomme, B. Risk Factors of Overuse Shoulder Injuries in Overhead Athletes: A Systematic Review. Sports Health 2020, 12, 478–487. [Google Scholar] [CrossRef] [PubMed]
- Epidemiologico, C. del conocimiento STROBE Statement—Checklist of Items That Should Be Included in Reports Of. Universidad de los Andes 2020, 1–2. [Google Scholar]
- Resneck, J.S. Revisions to the Declaration of Helsinki on Its 60th Anniversary. JAMA 2025, 333, 15. [Google Scholar] [CrossRef]
- Villanueva-Guerrero, O.; Gadea-Uribarri, H.; Villavicencio Álvarez, V.E.; Calero-Morales, S.; Mainer-Pardos, E. Relationship between Interlimb Asymmetries and Performance Variables in Adolescent Tennis Players. Life 2024, 14, 959. [Google Scholar] [CrossRef] [PubMed]
- Molina-Molina, S.; Álvarez-Argaez, S.; Estrada-Hernández, J.; Estrada-Hernández, M. Indicadores de Ciencia, Tecnología e Innovación: Hacia La Configuración de Un Sistema de Medición. Revista Interamericana de Bibliotecología 2020, 43, eI9. [Google Scholar] [CrossRef]
- Molina-Molina, A.; Ruiz-Malagón, E.J.; Carrillo-Pérez, F.; Roche-Seruendo, L.E.; Damas, M.; Banos, O.; García-Pinillos, F. Validation of MDurance, A Wearable Surface Electromyography System for Muscle Activity Assessment. Front Physiol 2020, 11. [Google Scholar] [CrossRef]
- Hermens, H.J.; Freriks, B.; Merletti, R.; Stegeman, D.; Blok, J.; Rau, G.; Disselhorst-Klug, C.; Hägg, G. European Recommendations for Surface ElectroMyoGraphy. Roessingh Research and Development 1999, 8–11. [Google Scholar]
- Mlynarek, R.A.; Lee, S.; Bedi, A. Shoulder Injuries in the Overhead Throwing Athlete. Hand Clin 2017, 33, 19–34. [Google Scholar] [CrossRef]
- Ohuchi, K.; Kijima, H.; Saito, H.; Sugimura, Y.; Yoshikawa, T.; Miyakoshi, N. Risk Factors for Glenohumeral Internal Rotation Deficit in Adolescent Athletes: A Comparison of Overhead Sports and Non-Overhead Sports. Cureus 2023, 15, 1–6. [Google Scholar] [CrossRef]
- Garret, J.; Cuinet, T.; van Rooij, F.; Nover, L.; Dejour, E.; Saffarini, M.; Guillard, V.; Montalvan, B. Shoulder Range of Motion in Competitive Tennis Players: Systematic Review and Meta-Analysis. JSES Int 2024, 8, 551–569. [Google Scholar] [CrossRef]
- Abrams, G.D.; Renstrom, P.A.; Safran, M.R. Epidemiology of Musculoskeletal Injury in the Tennis Player. Br J Sports Med 2012, 46, 492–498. [Google Scholar] [CrossRef]
- Dakic, J.G.; Smith, B.; Gosling, C.M.; Perraton, L.G. Musculoskeletal Injury Profiles in Professional Women’s Tennis Association Players. Br J Sports Med 2018, 52, 723–729. [Google Scholar] [CrossRef] [PubMed]
- Kekelekis, A.; Nikolaidis, P.T.; Moore, I.S.; Rosemann, T.; Knechtle, B. Risk Factors for Upper Limb Injury in Tennis Players: A Systematic Review. Int J Environ Res Public Health 2020, 17. [Google Scholar] [CrossRef] [PubMed]
- Kalo, K.; Vogt, L.; Sieland, J.; Banzer, W.; Niederer, D. Injury and Training History Are Associated with Glenohumeral Internal Rotation Deficit in Youth Tennis Athletes. BMC Musculoskelet Disord 2020, 21, 1–7. [Google Scholar] [CrossRef] [PubMed]
- Chapelle, L.; Rommers, N.; Clarys, P.; D’Hondt, E. Whole-Body Morphological Asymmetries in High-Level Female Tennis Players: A Cross-sectional Study. J Sports Sci 2021, 39, 777–782. [Google Scholar] [CrossRef]
- Arlotta, M.; LoVasco, G.; McLean, L. Selective Recruitment of the Lower Fibers of the Trapezius Muscle. Journal of Electromyography and Kinesiology 2011, 21, 403–410. [Google Scholar] [CrossRef]
- Kim, S.Y.; Yu, I.Y.; Oh, J.S.; Kang, M.H. Effects of Intended Scapular Posterior Tilt Motion on Trapezius Muscle Electromyography Activity. Int J Environ Res Public Health 2021, 18. [Google Scholar] [CrossRef]
- A, E.K.; A, J.W.; A, A.Z.; C, B.H.; A, D.V.; B, T.S.; Glass, S. Activation of the Trapezius Muscle during Varied Forms of Kendall Exercises. Physical Therapy in Sport 2008, 9, 3–8. [Google Scholar]
- Camargo, P.R.; Neumann, D.A. Kinesiologic Considerations for Targeting Activation of Scapulothoracic Muscles – Part 2: Trapezius. Braz J Phys Ther 2019, 23, 467–475. [Google Scholar] [CrossRef]
- González, P.P.; Brahim, M.B.E.N.; Brahim, M.B.E.N. Treatment of Shoulder Impingement Syndrome in Adolescent Tennis Players Tratamiento Del Síndrome Subacromial En Tenistas Adolescentes. 2018, 581, 32–47.
- Lambrich, J.; Panzer, S.; Muehlbauer, T. Side Differences in Upper Quarter Mobility/Stability Are Not Related to Serve Velocity in Tennis Players with Different Levels of Training Experience. BMC Res Notes 2024, 17, 275. [Google Scholar] [CrossRef]
- Rogowski, I.; Ducher, G.; Brosseau, O.; Hautier, C. Asymmetry in Volume between Dominant and Nondominant Upper Limbs in Young Tennis Players. Pediatr Exerc Sci 2008, 20, 263–272. [Google Scholar] [CrossRef] [PubMed]
- Madruga-Parera, M.; Bishop, C.; Fort-Vanmeerhaeghe, A.; Beltran-Valls, M.R.; Skok, O.G.; Romero-Rodríguez, D. Interlimb Asymmetries in Youth Tennis Players: Relationships with Performance. J Strength Cond Res 2020, 34, 2815–2823. [Google Scholar] [CrossRef]
- Kibler, W. Ben; Sciascia, A. Evaluation and Management of Scapular Dyskinesis in Overhead Athletes. Curr Rev Musculoskelet Med 2019, 12, 515–526. [Google Scholar] [CrossRef] [PubMed]
- Cools, A.M.J.; Struyf, F.; De Mey, K.; Maenhout, A.; Castelein, B.; Cagnie, B. Rehabilitation of Scapular Dyskinesis: From the Office Worker to the Elite Overhead Athlete. Br J Sports Med 2014, 48, 692–697. [Google Scholar] [CrossRef] [PubMed]
- Niederbracht, Y.; Shim, A.L.; Sloniger, M.A.; Paternostro-Bayles, M.; Short, T.H. Effects of a Shoulder Injury Prevention Strength Training Program on Eccentric External Rotator Muscle Strength and Glenohumeral Joint Imbalance in Female Overhead Activity Athletes. J Strength Cond Res 2008, 22, 140–145. [Google Scholar] [CrossRef]
- Cools, A.M.; Maenhout, A.G.; Vanderstukken, F.; Declève, P.; Johansson, F.R.; Borms, D. The Challenge of the Sporting Shoulder: From Injury Prevention through Sport-Specific Rehabilitation toward Return to Play. Ann Phys Rehabil Med 2021, 64. [Google Scholar] [CrossRef]
- Ekstrom, R.A.; Soderberg, G.L.; Donatelli, R.A. Normalization Procedures Using Maximum Voluntary Isometric Contractions for the Serratus Anterior and Trapezius Muscles during Surface EMG Analysis. Journal of Electromyography and Kinesiology 2005, 15, 418–428. [Google Scholar] [CrossRef]
- Schwank, A.; Blazey, P.; Asker, M.; Møller, M.; Hägglund, M.; Gard, S.; Skazalski, C.; Andersson, S.H.; Horsley, I.; Whiteley, R.; et al. 2022 Bern Consensus Statement on Shoulder Injury Prevention, Rehabilitation, and Return to Sport for Athletes at All Participation Levels. Journal of Orthopaedic and Sports Physical Therapy 2022, 52, 11–28. [Google Scholar] [CrossRef]
- Cools, A.M.; Declercq, G.; Cagnie, B.; Cambier, D.; Witvrouw, E. Internal Impingement in the Tennis Player: Rehabilitation Guidelines. Br J Sports Med 2008. [Google Scholar] [CrossRef]
- Cools, A.M.; Johansson, F.R.; Borms, D.; Maenhout, A. Prevention of Shoulder Injuries in Overhead Athletes: A Science-Based Approach. Braz J Phys Ther 2015, 19, 331–339. [Google Scholar] [CrossRef]
- Kekelekis, A.; Nikolaidis, P.T.; Moore, I.S.; Rosemann, T.; Knechtle, B. Risk Factors for Upper Limb Injury in Tennis Players: A Systematic Review. Int J Environ Res Public Health 2020, 17. [Google Scholar] [CrossRef] [PubMed]
- Garret, J.; Cuinet, T.; van Rooij, F.; Nover, L.; Dejour, E.; Saffarini, M.; Guillard, V.; Montalvan, B. Shoulder Range of Motion in Competitive Tennis Players: Systematic Review and Meta-Analysis. JSES Int 2024, 8, 551–569. [Google Scholar] [CrossRef] [PubMed]
- Terré, M.; Tlaiye, J.; Solana-Tramunt, M. Assessing Active and Passive Glenohumeral Rotational Deficits in Professional Tennis Players: Use of Normative Values at 90° and 45° of Abduction to Make Decisions in Injury-Prevention Programs. Sports 2025, 13, 0–16. [Google Scholar] [CrossRef] [PubMed]
- Rota, S.; Morel, B.; Saboul, D.; Rogowski, I.; Hautier, C. Influence of Fatigue on Upper Limb Muscle Activity and Performance in Tennis. Journal of Electromyography and Kinesiology 2014, 24, 90–97. [Google Scholar] [CrossRef]











| Age (year), mean (SD) | 23.0 (5.9) |
| Gender, n female (%) | 6(15.6%) |
| Body mass, mean (SD) | 73.7 (9.72) |
| Height m, mean (SD) | 1.77 (0.08) |
| BMI, mean (SD) | 23.4 (2.09) |
| Shoulder injury history, n yes (%) | 9 (2314%) |
| Shoulder pain during practice, n yes (%) | 10 (25.6%) |
| VAS (0–10) of pain, n (%) | |
| 0 (74.4%) | |
| 2 (10.3%) | |
| 3 (2.6%) | |
| 4 (5.1%) | |
| 5 (7.7%) | |
| Dominant right limb, n yes (%) | 37 (94.9%) |
| Tennis experience (years), mean (SD) | 10.7 (4.4) |
| Competition experience (years), mean (SD) | 9.08 (4.8) |
| Other sports (non–tennis) experience years (SD) | 11.2 (6.6%) |
| Inclusion Criteria |
|
| Muscle | Electrode Placement | Orientation |
|---|---|---|
| Lower trapezius (LT) | At 2/3 on the line from the trigonum spinae to the 8th thoracic vertebra | The line between T8 and the acromion |
| Middle trapezius (MT) | At 50% between the medial border of the scapula and the spine, at the level of T3 | Direction of the line between T5 and the acromion |
| Group | Mean (SD) | ES | p | |
|---|---|---|---|---|
| MT_90° | Tennis player | 79.9 (12.2) | 3.16 | 0.620 |
| No tennis player | 82.0 (12.8) | 2.68 | 0.654 | |
| LT_90° | Tennis player | 82.0 (13.0) | 3.34 | 0.679 |
| No tennis player | 80.0 (15.8) | 3.29 | 0.917 | |
| MT_45° | Tennis player | 80.4 (12.9) | 3.34 | 0.277 |
| No tennis player | 75.7 (13.0) | 2.71 | 0.262 | |
| LT_45° | Tennis player | 79.7 (15.0) | 3.88 | 0.517 |
| No tennis player | 76.1 (17.8) | 3.72 | 0.622 |
| Group | Mean (SD) | ES | p | |
|---|---|---|---|---|
| 2.S_MT_90° | Tennis player | 77.4 (15.6) | 4.04 | 0.939 |
| No tennis player | 77..7 (11.7) | 2.43 | 0.8111 | |
| 2.S_LT_90° | Tennis player | 76.2 (12.7) | 3.28 | 0.808 |
| No tennis player | 77.5 (18.2) | 3.80 | 0.437 | |
| 2.S_MT_45° | Tennis player | 76.9 (14.7) | 3.78 | 0.882 |
| No tennis player | 76.2 (14.4) | 3.00 | 0.917 | |
| 2.S_LT_45° | Tennis player | 75.9 (18.5) | 4.76 | 0.679 |
| No tennis player | 78.3 (17.0) | 3.55 | 0.834 |
Disclaimer/Publisher’s Note: The statements, opinions and data contained in all publications are solely those of the individual author(s) and contributor(s) and not of MDPI and/or the editor(s). MDPI and/or the editor(s) disclaim responsibility for any injury to people or property resulting from any ideas, methods, instructions or products referred to in the content. |
© 2025 by the authors. Licensee MDPI, Basel, Switzerland. This article is an open access article distributed under the terms and conditions of the Creative Commons Attribution (CC BY) license (http://creativecommons.org/licenses/by/4.0/).