Submitted:
15 April 2025
Posted:
16 April 2025
You are already at the latest version
Abstract
Keywords:
1. Introduction
2. Computational Method
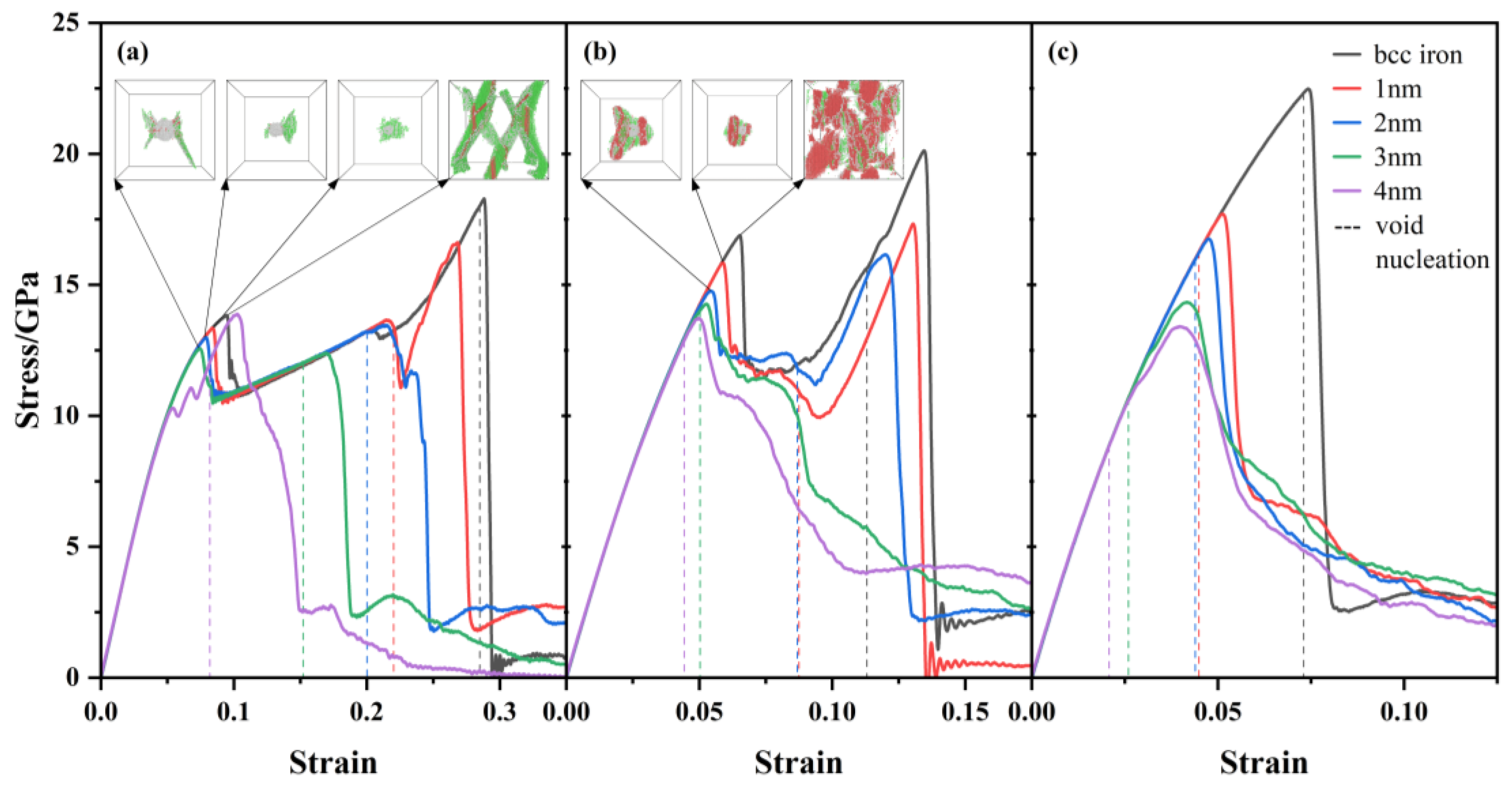
3. Results
4. Discussion
5. Conclusion
Author Contributions
Funding
Data Availability Statement
Acknowledgments
Conflicts of Interest
References
- He, P.; Yao, W.; Lyu, J.; Gao, B.; Li, X. Radiation Resistance Design and Nanoscale Second-phase Particles Characterization for ODS Steels: A Review. Cailiao Daobao/Materials Review 2018, 32, 34–40. [Google Scholar] [CrossRef]
- Wharry, J.P.; Swenson, M.J.; Yano, K.H. A review of the irradiation evolution of dispersed oxide nanoparticles in the b.c.c. Fe-Cr system: Current understanding and future directions. Journal of Nuclear Materials 2017, 486, 11–20. [Google Scholar] [CrossRef]
- McClintock, D.A.; Hoelzer, D.T.; Sokolov, M.A.; Nanstad, R.K. Mechanical properties of neutron irradiated nanostructured ferritic alloy 14YWT. Journal of Nuclear Materials 2009, 386–388, 307–311. [Google Scholar] [CrossRef]
- Noell, P.J.; Sills, R.B.; Benzerga, A.A.; Boyce, B.L. Void nucleation during ductile rupture of metals: A review. PROGRESS IN MATERIALS SCIENCE 2023, 135, 101085. [Google Scholar] [CrossRef]
- Zhao, M.; Zhang, P.; Xu, J.; Ye, W.; Yin, S.; Zhao, J.; Qiao, Y.; Yan, Y. Optimization of microstructure and tensile properties for a 13Cr-1W ODS steel prepared by mechanical alloying and spark plasma sintering using pre-alloyed powder. Materials Characterization 2024, 207, 113581. [Google Scholar] [CrossRef]
- Cui, Y.; Chen, Z. Void initiation from interfacial debonding of spherical silicon particles inside a silicon-copper nanocomposite: A molecular dynamics study. Modelling and Simulation in Materials Science and Engineering 2017, 25, 025007. [Google Scholar] [CrossRef]
- Zhao, Q.Q.; Boyce, B.L.; Sills, R.B. Micromechanics of Void Nucleation and Early Growth at Incoherent Precipitates: Lattice-Trapped and Dislocation-Mediated Delamination Modes. Crystals 2021, 11, 45–65. [Google Scholar] [CrossRef]
- Pogorelko, V.V.; Mayer, A.E. Influence of copper inclusions on the strength of aluminum matrix at high-rate tension. Materials Science and Engineering: A 2015, 642, 351–359. [Google Scholar] [CrossRef]
- Pogorelko, V.V.; Mayer, A.E. Influence of titanium and magnesium nanoinclusions on the strength of aluminum at high-rate tension: Molecular dynamics simulations. Materials Science and Engineering: A 2016, 662, 227–240. [Google Scholar] [CrossRef]
- Pogorelko, V.V.; Mayer, A.E. Tensile strength of Al matrix with nanoscale Cu, Ti and Mg inclusions. Journal of Physics: Conference Series 2016, 774, 012034. [Google Scholar] [CrossRef]
- Pogorelko, V.V.; Mayer, A.E. Tensile strength of Fe–Ni and Mg–Al nanocomposites: Molecular dynamic simulations. Journal of Physics: Conference Series 2018, 946, 012043. [Google Scholar] [CrossRef]
- Qin, C.; Xu, Z.; Dou, W.; Du, Y.; Huang, F. Plastic flow properties and constitutive model of metallic materials under complex stress states. Explosion And Shock Waves 2022, 42, 091404. [Google Scholar] [CrossRef]
- Wu, Y.; Ciston, J.; Kräemer, S.; Bailey, N.; Odette, G.R.; Hosemann, P. The crystal structure, orientation relationships and interfaces of the nanoscale oxides in nanostructured ferritic alloys. Acta Materialia 2016, 111, 108–115. [Google Scholar] [CrossRef]
- Aydogan, E.; Weaver, J.S.; Carvajal-Nunez, U.; Schneider, M.M.; Gigax, J.G.; Krumwiede, D.L.; Hosemann, P.; Saleh, T.A.; Mara, N.A.; Hoelzer, D.T.; et al. Response of 14YWT alloys under neutron irradiation: A complementary study on microstructure and mechanical properties. Acta Materialia 2019, 167, 181–196. [Google Scholar] [CrossRef]
- Higgins, M.P.; Lu, C.Y.; Lu, Z.; Shao, L.; Wang, L.M.; Gao, F. Crossover from disordered to core-shell structures of nano-oxide Y2O3 dispersed particles in Fe. Applied Physics Letters 2016, 109, 031911. [Google Scholar] [CrossRef]
- Plimpton, S. Fast Parallel Algorithms for Short-Range Molecular Dynamics. Journal of Computational Physics 1995, 117, 1–19. [Google Scholar] [CrossRef]
- Hammond, K.D.; Voigt, H.-J.L.; Marus, L.A.; Juslin, N.; Wirth, B.D. Simple pair-wise interactions for hybrid Monte Carlo–molecular dynamics simulations of titania/yttria-doped iron. Journal of Physics: Condensed Matter 2013, 25, 055402. [Google Scholar] [CrossRef]
- Malerba, L.; Marinica, M.C.; Anento, N.; Björkas, C.; Nguyen, H.; Domain, C.; Djurabekova, F.; Olsson, P.; Nordlund, K.; Serra, A.; et al. Comparison of empirical interatomic potentials for iron applied to radiation damage studies. Journal of Nuclear Materials 2010, 406, 19–38. [Google Scholar] [CrossRef]
- Higgins, M.P.; Peng, Q.; Shao, L.; Gao, F. Reduction of defect generation and development of sinks at nanocluster boundary in oxide dispersion-strengthened steel. Journal of Applied Physics 2019, 126, 084302. [Google Scholar] [CrossRef]
- Azeem, M.M.; Wang, Q.; Li, Z.; Zhang, Y. Dislocation-oxide interaction in Y2O3 embedded Fe: A molecular dynamics simulation study. Nuclear Engineering and Technology 2020, 52, 337–343. [Google Scholar] [CrossRef]
- Sun, Y.Q.; Lai, W.S. Molecular dynamics simulations of cascade damage near the Y2Ti2O7 nanocluster/ferrite interface in nanostructured ferritic alloys. CHINESE PHYSICS B 2017, 26. [Google Scholar] [CrossRef]
- Emelyanova, O.V.; Gentils, A.; Borodin, V.A.; Dzhumaev, P.S.; Vladimirov, P.V.; Lindau, R.; Möslang, A. Microstructural evolution in ODS-EUROFER steel caused by high-dose He ion implantations with systematic variation of implantation parameters. Nuclear Materials and Energy 2023, 35, 101456. [Google Scholar] [CrossRef]
- Klimenkov, M.; Jäntsch, U.; Rieth, M.; Dürrschnabel, M.; Möslang, A.; Schneider, H.C. Post-irradiation microstructural examination of EUROFER-ODS steel irradiated at 300°C and 400°C. Journal of Nuclear Materials 2021, 557, 153259. [Google Scholar] [CrossRef]
- Fu, J.; Davis, T.P.; Kumar, A.; Richardson, I.M.; Hermans, M.J.M. Characterisation of the influence of vanadium and tantalum on yttrium-based nano-oxides in ODS Eurofer steel. Materials Characterization 2021, 175, 111072. [Google Scholar] [CrossRef]
- Bergner, F.; Hlawacek, G.; Heintze, C. Helium-ion microscopy, helium-ion irradiation and nanoindentation of Eurofer 97 and ODS Eurofer. Journal of Nuclear Materials 2018, 505, 267–275. [Google Scholar] [CrossRef]
- Zilnyk, K.D.; Pradeep, K.G.; Choi, P.; Sandim, H.R.Z.; Raabe, D. Long-term thermal stability of nanoclusters in ODS-Eurofer steel: An atom probe tomography study. Journal of Nuclear Materials 2017, 492, 142–147. [Google Scholar] [CrossRef]
- Klimenkov, M.; Lindau, R.; Jäntsch, U.; Möslang, A. Effect of irradiation temperature on microstructure of ferritic-martensitic ODS steel. Journal of Nuclear Materials 2017, 493, 426–435. [Google Scholar] [CrossRef]
- Rogozhkin, S.; Bogachev, A.; Korchuganova, O.; Nikitin, A.; Orlov, N.; Aleev, A.; Zaluzhnyi, A.; Kozodaev, M.; Kulevoy, T.; Chalykh, B.; et al. Nanostructure evolution in ODS steels under ion irradiation. Nuclear Materials and Energy 2016, 9, 66–74. [Google Scholar] [CrossRef]
- Rogozhkin, S.V.; Aleev, A.A.; Zaluzhnyi, A.G.; Nikitin, A.A.; Iskandarov, N.A.; Vladimirov, P.; Lindau, R.; Möslang, A. Atom probe characterization of nano-scaled features in irradiated ODS Eurofer steel. Journal of Nuclear Materials 2011, 409, 94–99. [Google Scholar] [CrossRef]
- Aleev, A.A.; Iskandarov, N.A.; Klimenkov, M.; Lindau, R.; Möslang, A.; Nikitin, A.A.; Rogozhkin, S.V.; Vladimirov, P.; Zaluzhnyi, A.G. Investigation of oxide particles in unirradiated ODS Eurofer by tomographic atom probe. Journal of Nuclear Materials 2011, 409, 65–71. [Google Scholar] [CrossRef]
- Stukowski, A. Visualization and Analysis of Atomistic Simulation Data with OVITO - the Open Visualization Tool. Modelling and Simulation in Materials Science and Engineering 2010, 18, 015012. [Google Scholar] [CrossRef]
- Wang, Y.-T.; Zeng, X.-G.; Yang, X. Molecular dynamics simulation of effect of temperature on void nucleation and growth of single crystal iron at a high strain rate. Acta Physica Sinica 2019, 68, 246102-246101–246102-246117. [Google Scholar] [CrossRef]
- Yeheskel, O.; Tevet, O. Elastic Moduli of Transparent Yttria. Journal of the American Ceramic Society 1999, 82, 136–144. [Google Scholar] [CrossRef]
- Simmons, G.; Wang, H.F. Single Crystal Elastic Constants and Calculated Aggregate Properties. A Handbook. 1971. [Google Scholar]
- Tvergaard, V.; Needleman, A. Analysis of the cup-cone fracture in a round tensile bar. Acta Metallurgica 1984, 32, 157–169. [Google Scholar] [CrossRef]
- Dighe, M.D.; Gokhale, A.M.; Horstemeyer, M.F. Effect of loading condition and stress state on damage evolution of silicon particles in an Al-Si-Mg-base cast alloy. METALLURGICAL AND MATERIALS TRANSACTIONS A-PHYSICAL METALLURGY AND MATERIALS SCIENCE 2002, 33, 555–565. [Google Scholar] [CrossRef]
- Shabrov, M.N.; Needleman, A. An analysis of inclusion morphology effects on void nucleation. MODELLING AND SIMULATION IN MATERIALS SCIENCE AND ENGINEERING 2002, 10, 163–183. [Google Scholar] [CrossRef]
- Marino, B.; Mudry, F.; Pineau, A. Experimental study of cavity growth in ductile rupture. Engineering Fracture Mechanics 1985, 22, 989–996. [Google Scholar] [CrossRef]
- Bourcier, R.J.; Koss, D.A.; Smelser, R.E.; Richmond, O. The influence of porosity on the deformation and fracture of alloys. Acta Metallurgica 1986, 34, 2443–2453. [Google Scholar] [CrossRef]
- Kumar, S.; Das, S.K. Characterization of mechanical properties and nano-porous structure of Aluminium-Magnesium alloy during multi-axial tensile deformation: An atomistic investigation. Journal of Alloys and Compounds 2018, 740, 626–638. [Google Scholar] [CrossRef]
- Mock, M.; Albe, K. Modelling of dislocation-solute interaction in ODS steels: Analytic bond-order potential for the iron-yttrium system. Journal of Nuclear Materials 2018, 509, 102–113. [Google Scholar] [CrossRef]
- Yashiro, K.; Yamaguchi, A.; Tanaka, M.; Okuda, T.; Koga, K.; Segi, T. Molecular Dynamics Simulation on Interaction between Screw Dislocation and Pseudo Yttrium Oxide in Bcc-Fe. Materials Transactions 2012, 53, 401–406. [Google Scholar] [CrossRef]







Disclaimer/Publisher’s Note: The statements, opinions and data contained in all publications are solely those of the individual author(s) and contributor(s) and not of MDPI and/or the editor(s). MDPI and/or the editor(s) disclaim responsibility for any injury to people or property resulting from any ideas, methods, instructions or products referred to in the content. |
© 2025 by the authors. Licensee MDPI, Basel, Switzerland. This article is an open access article distributed under the terms and conditions of the Creative Commons Attribution (CC BY) license (http://creativecommons.org/licenses/by/4.0/).