Preprint
Review

This version is not peer-reviewed.

A Review on Design Considerations and Connection Techniques in Modular Composite Construction

A peer-reviewed article of this preprint also exists.

Submitted:

15 April 2025

Posted:

15 April 2025

You are already at the latest version

Abstract
Precast concrete structures have become increasingly popular in the construction industry due to their ability to enhance efficiency, structural soundness, quality, and sustainability. Among these, modular construction has emerged as a transformative approach that fully leverages precast technology by manufacturing 3D modules off-site and assembling them on-site using inter-module connections. This study reviewed current literature trends on precast concrete structures and modular construction, analysing how modular construction distinguishes itself from other precast systems. The review further emphasises the role of composite connections—grouted, bolted, and hybrid systems- critical in ensuring structural integrity, efficiency in load transfer, and seismic resilience in modular construction. While advancements in composite connections have demonstrated significant promise, particularly in seismic performance, limitations still exist, necessitating improvements in load transfer efficiency, ductility, and reliability under dynamic loads. Additionally, design considerations for modular construction, such as modular configurations, handling stresses, and transportation challenges, are explored to highlight their influence on system performance. This review underscores the feasibility and potential of modular construction in fostering sustainable and resilient infrastructure. The role of Non-Destructive Evaluation (NDE) techniques and intelligent monitoring systems in assessing and enhancing the lifecycle performance of composite connections is also emphasised. It further advocates for continued research to refine composite connections and support the broader adoption of modular construction in modern building practices.
Keywords: 
;  ;  ;  

1. Introduction

Concrete modular construction involves manufacturing 3D modules in an off-site factory, transferring them to the site, and assembling them on-site using different modular connections. These modules are prefabricated as three-dimensional volumetric units prefinished with fixtures and fittings in a factory. These modules are individual room elements assembled and connected to form a complete building through inter-module connections. Modular construction has become increasingly popular recently, offering numerous advantages to the construction industry. These advantages include a speedy construction process, high-quality control, reduced on-site workload, minimal shuttering and scaffolding requirements, optimal use of materials, lower labour costs, sustainability, and a lower environmental impact [1,2]. Owing to the advantages of modular construction and its rapid development in recent times, there has been a significant shift in the research focus.
Globally, modular technology is garnering widespread application in the construction industry. The amount of prefabrication is significantly high in countries like China [3,4], the United States (U.S.) [5], Germany [6] and the United Kingdom (U.K.) [7,8]. There has been a significant shift in the construction industry, moving towards more off-site prefabrication and reducing on-site construction to accommodate the sustainability and labour demands [9,10,11]. Although precast technology is widespread globally, modular construction has only gained attention in recent years, as evidenced by the increasing number of research articles published in this field, as shown in Figure 1. China, the U.S., and Germany have published over 70 articles indicating their advancement in precast modular construction. The U.K., Hong Kong, South Korea and Australia have published over 30 articles on modular construction, showing the emerging trend in prefabricated construction in those countries [12,13,14]. Following this descending trend, other countries have shifted their focus towards modular construction in recent years, reflecting this in their publications [15,16].
Figure 2 shows the top 20 publication sources based on the number of articles on concrete modular construction published from 2000. It can be seen that the leading publications on modular construction are from Engineering Structures, Beton- und Stahlbetonbau, Journal of Building Engineering and Buildings. A significant upward trend since 2020 shows the rapid development of modular construction in recent years.
Connections influence precast and modular constructions' structural performance, stability, and integrity. In contrast to monolithic construction, which inherently possesses continuity, modular and precast construction systems depend on connections to facilitate force transfer among discrete components. While substantial research has been conducted on connection systems in precast structures such as grouted connections [17,18], bolted connections [19,20], and hybrid connections [20,21], there remains a notable gap in analysing these connections specifically within the context of modular construction. Addressing precast structural elements is essential to bridge this gap, as the existing studies provide foundational insights into connection methodologies and their load transfer mechanisms. This serves as a basis for the design of connections and their implementation in modules, which form the structural systems in modular construction. These connections can be collectively categorised as composite connections, as they often involve the interaction of distinct materials such as steel and grout or concrete collaborating to achieve structural continuity. This composite interaction improves modular construction's strength, ductility, and installation efficiency. Recent research has involved experimental and numerical evaluations to study the composite connections under different loading scenarios, emphasising lateral cyclic, monotonic, and pushover load tests to analyse their capacity for bearing loads, ductility, and failure patterns, providing the basis for assessing their applicability in modules. This paper thoroughly reviews these investigations and assesses the structural performance of composite connections, offering insights into their feasibility, practicality, and applicability within modular construction contexts. From this point onward, the discussion on connections will primarily address them within the context of precast structural elements, providing a comprehensive foundation for evaluating their applicability in modular construction systems.
A comprehensive analysis of studies from the previous two decades was conducted, focusing on precast structural components and their connection methodologies to comprehend the recent advancements in precast technology and modern construction methodologies. The selection criteria involved organising research publications based on keywords relevant to precast structural components encompassing walls, beams, columns, beam-column joints, frames, and bridges. The resultant papers were then further categorised according to the connection methodologies implemented, including grouted couplers, bolted connections, cast-in-place joints, and hybrid systems. Figure 3 illustrates the distribution of these studies, emphasising the prevalence of various connection techniques across distinct precast structures.
Among the diverse connection methodologies, grouted coupler connections have been extensively investigated. These connections are frequently researched due to their effective force transmission, ease of implementation, and compatibility with seismic-resistant designs [21]. Similarly, bolted connections have been thoroughly examined, particularly for their benefits in rapid assembly, structural stability, and potential for reuse. They are particularly suitable for modular construction and are efficiently driven by prefabrication.
Conversely, cast-in-place joints predominantly appear in investigations as a benchmark for comparative analysis against precast alternatives. These studies often evaluate variances in stiffness, failure modes, and construction feasibility, reinforcing the benefits of precast solutions regarding quality control and construction efficiency. The significance of hybrid connections has also garnered attention in recent years, integrating mechanical fasteners, grouted sleeves, or partially cast-in-place elements to enhance structural integrity and adaptability [22]. Although the body of research on hybrid systems remains relatively limited compared to well-established methodologies, the increasing emphasis on these techniques indicates a rising interest in superior connection solutions to improve seismic resilience and construction efficiency.
The analysis reveals that grouted and bolted connections continue to lead research efforts due to their structural dependability and extensive application within the industry. At the same time, hybrid systems signify a burgeoning trend. Investigations concerning cast-in-place joints primarily function as benchmarks, illustrating the progression from conventional monolithic construction to precast modular solutions. The distribution of research highlights the ongoing evolution of connection technologies, concentrating on enhancing efficiency, resilience, and adaptability in precast construction.
Cluster analysis of keyword co-occurrence within modular construction literature elucidates the interrelation and prevalence of terminology utilised in this domain, as shown in Figure 4. The visualisation of this network, depicting nodes as keywords and edges as their co-occurrence, underscores significant trends spanning from 2014 to 2022. The size of the nodes signifies the frequency of terms, while the colour gradient transitioning from blue to yellow signifies the temporal aspect, thus illustrating the evolution of keyword utilisation. Fundamental keywords like 'modular systems,' 'cementitious materials,' 'reinforced concrete techniques,' and 'precast elements' appear vital, emphasising their significance in scholarly debates.
Following 2020, yellow lines denote connections to newly emerging key terms, including 'seismic performance,' 'bearing capacity,' and '3D printing.' In contrast, the blue and green lines from 2014 to 2020 correspond to foundational concepts such as 'structural design,' 'building materials,' and 'bridge decks.' This transition reflects the evolving landscape of research focus and novel technologies' adaptation to contemporary challenges.
This shift in research focus is accentuated in recent years by the rise of significant terminology pertinent to seismic performance within modular construction, as illustrated in Figure 4. Seismic performance is paramount, particularly in areas prone to seismic activity. Achieving the seismic resilience of concrete modular systems necessitates tackling the distinctive challenges that prefabricated volumetric units and their interconnections present. Advanced research is focused on refining connection methods to enhance energy dissipation and structural stability during seismic occurrences. For example, novel approaches such as ductile connectors [17,23,24] and bolted joints are under investigation to bolster the capacity of these systems to absorb and dissipate seismic forces, thereby minimising the likelihood of structural failure. Integrating seismic isolation mechanisms into modular edifices is another promising strategy to alleviate seismic impacts and enhance overall safety [25]. s the corpus of research expands, it becomes essential to weave these technological innovations into the design and execution of modular construction to guarantee that these systems not only fulfil but surpass requisite safety criteria.
This study focuses on various connection techniques adopted in various precast elements. The connections range from simple bolted connections to more complex composite connections, thus illustrating a spectrum of design intricacies to improve performance demands, such as in scenarios of extreme seismic demands. Emphasis is also placed on Non-Destructive Evaluating algorithms and techniques [26] that can assess the performance of composite connections both throughout their service life and after seismic events. A cradle-to-grave understanding of the performance of composite connections can be achieved by integrating health monitoring devices. Such an approach represents an enhancement over traditional non-destructive evaluation (NDE) techniques [27], providing continuous, real-time monitoring and deeper insights into the health of composite connections throughout their lifecycle.
The rest of the manuscript is organised as follows: Section 2 explores how modular construction distinguishes itself from other precast techniques and their advantages. Section 3 reviews the design methodology and the factors involved in the design process of modular construction. Section 4 discusses experimental studies on connections across various precast structures, comparing them within modular construction scenarios. Section 5 presents discussions and recommendations for future research, followed by section 6, which concludes the study.

2. Materials and Methods

2.1. Types of Precast Systems

In prefabricated construction, precast systems are crucial in influencing contemporary building practices. Among these, precast beams and columns are fundamental components characterised by their one-dimensional form. These elements are produced in specialised off-site facilities, ensuring precision and quality. They are then transported to the construction site, where they are assembled, providing essential support and structural integrity to various building designs [28,29].
Similarly, precast slabs and walls serve as critical two-dimensional panels that facilitate the creation of expansive and functional spaces within buildings. These components undergo rigorous quality checks in controlled, off-site environments before being transported for on-site assembly [30]. Their role is integral in modern architectural designs' floor and wall systems, highlighting their importance in enhancing construction efficiency and ensuring consistent quality [31,32].
Regarding three-dimensional construction, precast concrete modules represent a sophisticated evolution in prefabricated building techniques. These modules are meticulously prefinished in dedicated factories, integrating extensive automation to enhance precision and efficiency [33]. Upon transportation to the construction site, they are assembled into permanent structures. This method is regarded as the pinnacle of prefabricated construction due to its high precast ratio and streamlined assembly process [34].
Table 1 presents various levels of precast systems that are currently in practice. The levels range from raw materials and individual components to sophisticated modules fully integrated building systems reflecting the evolution and complexity of precast construction techniques. Understanding these varied precast systems lays the groundwork for an extensive examination of how modular construction measures against alternative precast methods, especially regarding efficiency, cost-effectiveness, and structural soundness. This comparative assessment will clarify each strategy's distinct benefits and possible drawbacks, offering a well-rounded view of contemporary prefabrication techniques.

2.2. Comparison of Modular Construction with Other Precast Techniques

Modular construction is distinguished by its unique benefits compared to other precast construction methodologies. Conventional precast systems often necessitate supplementary components for structural integration; however, modular construction generally incorporates these components within the modules [35]. This methodology significantly improves structural performance and simplifies construction, enhancing efficiency and effectiveness. Regarding seismic performance, precast concrete modules demonstrate greater resilience when compared to steel modules, rendering them especially beneficial in areas susceptible to substantial seismic events [36], such as New Zealand, Japan, and Chile, where the preservation of structural integrity is paramount.
Considerations regarding weight also play a crucial role in distinguishing these systems. While precast concrete modules are typically heavier than their steel counterparts, which may present challenges during lifting operations for taller edifices, utilising specialised construction equipment can effectively address these hurdles [37]. Such machinery is engineered to accommodate the differences in weight, ensuring the successful execution of projects despite the added weight.
Furthermore, modular construction exhibits heightened effectiveness in high-rise structures featuring multiple repeated units [37], though high-rise modular buildings remain comparatively uncommon. This scarcity can be attributed to a limited comprehension of their structural responses to lateral forces, such as seismic and wind loads, essential for guaranteeing safety and stability.
A heatmap (Figure 5) visualisation is utilised, standardising the performance of Beam & Column, Wall & Slab, Volumetric Modular, and Conventional construction on a continuum from 1 (Low) to 4 (Very High) to provide a more precise comparison of these construction methodologies. The qualitative evaluations were established based on knowledge gleaned from a comprehensive literature review, considering critical performance metrics: Precast Ratio, Cost, Robustness, Quality Control, Labour Efficiency, Environmental Impact, and Design Flexibility. The qualitative scoring is comprehensively synthesised from scholarly investigations, comparative studies, and practical applications [38,39,40,41,42,43,44].
For Precast Ratio, the score indicates the degree of precast component employment, with higher scores signifying a stronger dependence on precast techniques. Cost assessments considered material, labour, and transportation costs, where higher scores denote increased cost-effectiveness. Robustness evaluations concentrated on structural strength and longevity, granting higher scores to techniques exhibiting exceptional long-term performance. Quality Control ratings were based on the accuracy and consistency achieved in offsite production, with higher scores signifying superior quality management. Labour Efficiency ratings reflect the effectiveness of labour deployment, assigning higher scores to techniques that require less onsite labour. Environmental Impact ratings evaluated aspects such as material waste and energy use, with higher scores indicating maximum ecological footprint. Lastly, Design Flexibility assessed the adaptability of each construction technique to diverse architectural styles, with higher scores reflecting increased flexibility.
The qualitative evaluations for each criterion were converted into quantitative scores on a scale of 1 to 4, ensuring uniformity and objectivity in comparing the various construction techniques. The scoring methodology was based on detailed benchmarks from comprehensive literature and case studies [38,39,40,41,42,43,44]. For instance, a score of 4 was conferred to methodologies that consistently exhibited superior results across multiple studies, whereas a score of 3 denoted elevated performance with minimal restrictions or limitations. Similarly, scores of 2 and 1 were allocated based on recognised challenges or decreased efficacy in particular contexts. For example, the score of the Labour Efficiency criterion encompassed quantifiable indicators such as labour hours saved and deployment effectiveness. In contrast, the Environmental Impact was based on material wastage and energy consumption data. These methodical evaluations were designed to reduce subjectivity and provide stakeholders with an equitable comparison of the methodologies.
The Precast Ratio received the highest Volumetric Modular Construction (4) rating due to its prefabricated characteristics. At the same time, Beam & Column and Wall & Slab systems garnered moderate scores due to their substantial on-site assembly requirements. Conventional construction (1), characterised by minimal use of precast components, was assigned the lowest rating. Financial considerations favoured Wall & Slab and Beam & Column (2) because their reduced initial investment relative to Volumetric Modular (3) necessitated enhanced manufacturing precision and transportation logistics. Robustness was rated highest for Volumetric Modular construction (4) since its prefabricated units provide superior structural integrity when adequately connected. At the same time, other precast methodologies exhibited variability depending on their reinforcement and connection techniques.
Quality Control and Labour Efficiency demonstrated that Volumetric Modular construction surpassed alternative methods, profiting from regulated factory conditions and diminished site labour requirements. In contrast, Conventional construction received the lowest score in Labour Efficiency due to its considerable demands for an on-site workforce. Environmental Impact assessments have shown that Volumetric Modular and Wall & Slab systems obtained the lowest ratings (1), indicating lesser material usage and transportation needs. Beam & Column construction earned a moderate rating (2), whereas Conventional construction displayed the most significant environmental effects (3) as a result of its higher material consumption and on-site operations.
Design Flexibility, an essential element of architectural adaptability, was rated highest for Conventional construction (4), trailed by Wall & Slab (3) due to their enhanced capacity for alterations. Limited by its prefabricated nature, Volumetric Modular construction obtained a moderate score (2), illustrating a compromise between efficiency and adaptability.
This comparative investigation underscores each precast methodology's unique strengths and weaknesses. While Beam & Column and Wall & Slab strategies compromise efficiency and flexibility, Conventional construction retains a high degree of adaptability but lacks the advantages associated with precast integration. Among all approaches, Volumetric Modular construction stands out as the most sophisticated method, excelling in precast efficiency, labour optimisation, and structural resilience. Despite its elevated initial expenses and restricted design flexibility, its exceptional quality control, expedited construction timelines, and durability render it an optimal choice for contemporary, large-scale, and high-performance building endeavours.
To further assess modular construction thoroughly, it is vital to examine this approach's myriad benefits, particularly regarding speed, cost-effectiveness, quality assurance, and environmental sustainability. These advantages highlight the potential of modular construction to transform the building sector.

2.3. Advantages of Modular Construction

Modular construction methodologies present numerous advantages when compared with conventional cast-in-situ techniques. Such advantages encompass expedited construction durations, financial savings, enhanced labour efficiency, and ecological benefits. Modular construction can reduce project timelines by approximately 50% [45]. This reduction is feasible due to the simultaneous nature of off-site manufacturing and on-site assembly, accelerating the overall construction timeline. The comparative analysis of construction timelines (Figure 6) illustrates that modular construction can significantly reduce the duration required compared to traditional methodologies.
Beyond the aspect of time efficiency, modular construction also proves to be financially advantageous. It can potentially lower total construction expenditures by nearly 20% [45]. This financial efficiency arises from mass-producing modules within a controlled factory environment, reducing labour costs and minimising material waste.
Labour efficiency represents another critical advantage. Incorporating automation and robotics in manufacturing processes lessens the reliance on manual labour. This advancement assists in alleviating labour shortages and addressing the challenges posed by an ageing workforce within the construction sector. Modular techniques are well-suited to navigate these labour dynamics, rendering them essential for contemporary construction practices.
The environmental advantages associated with modular construction are also noteworthy [46]. This approach can diminish on-site waste by as much as 90%. Such a reduction fosters sustainable building practices and adheres to prevailing environmental standards to mitigate ecological footprints. These advantages subsequently pave the way for innovative design methodologies. As modular construction continues to evolve, it increasingly aligns with design principles that prioritise efficiency and sustainability. Understanding these design considerations is vital for fully harnessing the capabilities of modular techniques in contemporary construction initiatives.

3. Area of Research

3.1. Design of Modular Buildings

Modular construction utilises specific design frameworks to ensure strong and efficient structures, notably the Modular Equivalent Frame Method (MEFM) and the Equivalent Shear Wall Method (ESWM). The MEFM focuses on designing two-way slab systems supported by columns, creating two-dimensional frames and adjusting column stiffness to match slab conditions, allowing for separate gravity load analyses [47]. This method preserves wall volume within concrete modules while ensuring the structural integrity of beams and columns.
The ESWM designs modular buildings for lateral loads, notably from seismic events, conceptualising the structure as vertical shear walls for stability. It allocates lateral loads based on wall stiffness and evaluates shear forces and bending moments to ensure load capacity, thus protecting the structure and its occupants. While MEFM analyses gravity loads for slabs, ESWM targets lateral loads with an emphasis on seismic resistance, with MEFM breaking modules into frames for analysis and ESWM treating the structure as shear walls for lateral load response [48].
These frameworks significantly impact the comprehensive design and assembly of modular structures. Crucial aspects, including materials, arrangement of modules, hoisting and installation processes, and connections, are vital to guarantee the effectiveness and sustainability of modular construction practices. Grasping these components is imperative for enhancing the design and execution of modular techniques within construction initiatives.

3.2. Design Considerations in Modular Construction

The design of modular constructions involves numerous essential elements, each of which is pivotal in guaranteeing the efficacy and productivity of the building process. These elements comprise the choice of materials, arrangement of modules, methods of installation, and the nature of connections.

3.2.1. Material

The primary factor involved in the mix design of concrete used in modules is the demoulding strength. The modules in the off-site factory are generally de-moulded after 12 to 24 hours of casting so that another module is ready for casting, facilitating the rapid manufacturing process of modular construction [1]. The typical demoulding strength of concrete required and the strength of concrete at 28 days is given in Table 2. It is seen that the demoulding strength is generally 50% of that of the required 28 days of strength. Rapid hardening cement, steam curing, and electrical heating are used to accelerate the early age strength of concrete during the manufacture of concrete modules. Self-Compacting Concrete (SCC) has been increasingly used in modular construction as it provides better finishes to walls and reduces the use of vibrators.

3.2.2. Layout of Modules

The design of the layout of modules is mainly affected by the size, modularisation, weight of the module and ease of transportation. The size of the module and modularisation of the building should be designed with coordination between the designer and module manufacturer so that the module formwork moulds are used efficiently. Proper vertical alignment of load-bearing walls should be ensured while designing the module layout. Generally, two methods of module layout are adopted in modular construction: (i) cluster of modules and (ii) corridor arrangement of modules as shown in Figure 7 [37]. The cluster configuration entails the organisation of multiple modules surrounding a central core or communal area, typically for functions such as shared amenities, stairways, or elevators. This design is frequently employed in residential or hotel buildings, where modules can effectively utilise common spaces while preserving structural efficiency. Cluster configurations provide compact designs and reduce the necessity for extensive interconnections between modules. The corridor configuration of modules presents a linear design, with modules arranged along a corridor or passageway. This layout is favoured in institutional constructions, such as schools and hospitals, where accessibility and circulation are prioritised. Corridor configurations guarantee uninterrupted connectivity between modules and enhance the straightforward incorporation of services such as heating, ventilation, air conditioning (HVAC), plumbing, and electrical systems along the corridor axis.

3.2.3. Lifting, Transportation and Installation

Installation is a key aspect of modular technology. Design considerations for installation include the crane capacity at the precast yard and on-site, transport, and access to the site [49]. Serviceability limit checks should be performed to prevent cracks in the concrete slab wall distortion during handling and transporting. The lifting points must be strategically positioned so that sufficient bond anchorage can be developed to hoist the entire module safely and that the load distribution to all lifting points is uniform [50]. A steel collar frame is used to hoist the module so that the module would not be subject to inclined forces from the lifting wires.
Logistics for module transportation from factory to site determines each module design's maximum size and volume, affecting the number of modules to complete the layout design. The modules' size is finalised so they can be transported on public roads.
The handling stresses caused by dynamic forces during handling, lifting and erection are considered in the flexural design of the modules. Load factors are to be applied to the self-weight of the module to allow for the safe handling, transportation and erection of modules (Table 3). During transportation, a higher load factor of 1.5 is applied due to increased vibrations and impact forces encountered on the road. In contrast, yard handling and erection require a load factor 1.2 to account for smaller dynamic effects during lifting and positioning. These load factors are integral to design calculations, ensuring the structural integrity of the modules is preserved across all stages and safeguarding against damage during handling and assembly. This underscores the significance of accounting for dynamic effects in modular construction to mitigate risks associated with handling and installation.

3.2.4. Connections

Connections are the key elements in modular buildings, providing structural integrity by connecting the modules horizontally and vertically. Three main types of connections are involved in modular construction: (i) module-to-foundation connection, (ii) module-to-module connection, and (iii) joints within the module.
Module-to-module interconnections represent a crucial aspect of modular construction, enabling the interaction between complete 3D modules or "cells" to maintain structural integrity. Conversely, prefabricated construction generally consists of connections between singular precast structural components, such as slab-to-wall or wall-to-wall linkages. Although this review predominantly emphasises modular construction, the studies reviewed throughout are primarily on investigations concerning connections among individual precast components. Given the limited research pertaining to connections in concrete modules, this paper examines the attributes of various connection methodologies in precast systems to assess their appropriateness for implementation in modular construction frameworks.
The connection between the vertical modules is crucial for structural behaviour, especially in high-rise buildings. They directly affect the building stiffness and its corresponding response under the wind, seismic and lateral design action conditions [51]. The horizontal module connection forming the floor diaphragm contributes to building stiffness. In particular, the peripheral and internal ties shall be provided per the Building Code Requirements [52]. The modules should be laterally connected and designed to effectively transfer the horizontal forces to the building's lateral load-resisting system. The connections are designed based on the tensile and shear stresses at the joints, according to clause 4.9.4 of IS.11447:1985 [53] Vertical and horizontal connections are designed as keyed joints per Indian standards, according to clause 11.7.5 of AS 3600:2018 as per Australian standards [54] and according to clause 5.3.7. of BS.8110 as per British standards [55]. Further details about different types of connection systems are presented in the next section.

3.3. Connection Techniques in Precast Systems

In precast construction, connections are vital for ensuring the structural integrity and performance of the assembly. Various techniques, including dry, wet, and hybrid connections, offer distinct advantages and have specific failure mechanisms. Understanding the methodologies of these connection techniques in precast systems is crucial, as they provide valuable information for the development of dependable connection strategies for modular construction, in which similar performance is required.

3.3.1. Dry Connections

Bolted connections, called dry connections, involve bolts to unite precast elements. Their rapid assembly and disassembly make them especially suitable for temporary structures. Nevertheless, their rigidity may be inferior to that offered by traditional methods. Bolted connections facilitate load transfer through friction and bearing between the bolt and the joined elements, effectively distributing shear forces [19] both laterally and vertically [56]. Standard failure modes include bolt yielding, thread stripping, or bending of the bolts [57]. Embedded steel plates, secured by bolts within precast components, simulate monolithic connections and improve performance, particularly in seismic regions [58]. Failures may arise from the yielding of the steel plates or bolts or buckling caused by significant compressive loads. Typical bolted connections, with and without embedded steel plates, are presented in Figure 8 and Figure 9. It can be seen from these figures that bolted connections primarily rely on steel plates and bolts for load transfer. In contrast, embedded plate connections integrate anchoring bars and embedded plates to enhance structural integrity. Given their rapid assembly and disassembly capabilities, dry connections have significant potential for adaptation in modular construction, especially for scenarios requiring efficient on-site assembly.

3.3.2. Wet Connections

Grouted sleeve couplers connect longitudinal steel bars within precast elements as shown in Figure 10. They augment stiffness and strength near the joint, thereby imitating monolithic connections during seismic occurrences. Failures typically result from yielding steel bars or grout or cracking surrounding concrete when subjected to high loads [18]. Cast-in-situ portions entail casting concrete at joints after the assembly of precast elements, ensuring reinforcement continuity and bolstering structural integrity. Possible failure scenarios encompass cracking cast-in-situ concrete, yielding the reinforcement bars, or bond failure between precast and cast-in-situ concrete elements [60]. As shown in Figure 11, the hybrid connection system employs steel couplers, gusset plates, and primary steel plates to interconnect precast elements. The figure further delineates the incorporation of inclined steel bars, shear studs, and backing plates, which collectively improve load transfer efficiency, ductility, and seismic resilience. This exemplifies the intricacy and durability of hybrid connections in precast construction by illustrating the coordinated function of various steel components in effectively distributing loads and mitigating localised failures under elevated stress conditions. By offering enhanced strength, stiffness, and ductility, hybrid connections could be highly beneficial for modular construction in high-rise applications, where superior load transfer and seismic resilience are critical.

3.3.3. Hybrid Connections

Incorporating steel sections, whether or not complemented by bolts, to connect precast elements provides superior seismic performance in strength, stiffness, and ductility. This approach is particularly advantageous for high-rise constructions. Failures commonly arise from yielding steel sections or bolts, buckling under compressive forces, or cracking within the surrounding concrete [61]. As shown in Figure 11, the hybrid connection system employs steel couplers, gusset plates, and primary steel plates for the interconnection of precast elements. The figure further delineates the incorporation of inclined steel bars, shear studs, and backing plates, which collectively improve load transfer efficiency, ductility, and seismic resilience. This exemplifies the intricacy and durability of hybrid connections in precast construction by illustrating the coordinated function of various steel components in effectively distributing loads and mitigating localised failures under conditions of elevated stress.
The connection methodologies described in this section, initially designed for precast systems, establish a basis for investigating their relevance to modular construction. The experimental findings and attributes of these connections, analysed in recent studies presented in the subsequent section, provide essential information for evaluating their appropriateness in modular systems.
Figure 11. Hybrid connection systems [62].
Figure 11. Hybrid connection systems [62].
Preprints 156006 g011

3.4. Experimental Studies on Connections

Researchers have undertaken experimental investigations of various connection types, including grouted sleeve couplers, metal ducts, and steel plate bolted connections, to evaluate their mechanical capabilities when subjected to tensile and compressive forces. These assessments frequently incorporated large-scale experiments to analyse the strength and deformability of precast assemblies with grouted coupler connections and bolted connections and compared them with cast in situ joints. Table 4 and Table 5 summarise the recent studies reported in the literature on dry and wet connections in precast structures and the main parameters studied in each research. Most of these investigations have concentrated on parameters including load-carrying capacity, ductility, stiffness, and seismic performance, which are essential for assessing the appropriateness of connections in modular construction. This underscores the significance of lateral and seismic performance as pivotal focal points in these studies, thereby indicating a necessity to delve deeper into these dimensions. A comprehensive chart that compares the qualitative findings of these investigations is provided in the following section, 'Connections in Modular Construction Scenario' to facilitate a more precise comparison of various connection methodologies in modular construction.
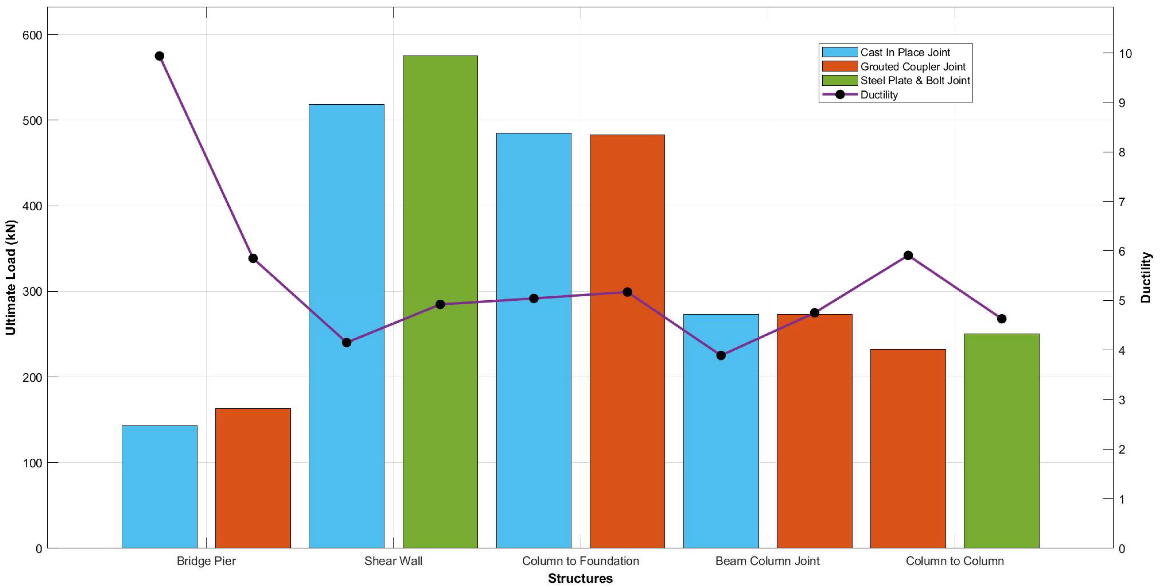
Figure 12 illustrates a comprehensive comparison of ultimate load and ductility across a range of structures, comprising bridge pier [78,79], shear wall [58], column to the foundation [80], beam-column joint [81], and column-to-column [82], assessed through various connection types: cast in place joint, grouted coupler joint, and steel plate & bolt joint. For example, the bridge pier utilising a grouted coupler joint demonstrates a maximum load of 163 kN and ductility of 5.85. In comparison, the cast-in-place joint reveals a lower maximum load of 143 kN yet a considerably higher ductility of 9.94, suggesting superior deformation capability under applied stress. Shear walls incorporating steel plate and bolt joints attain the highest maximum load of 575 kN and enhanced ductility of 4.92, in contrast to cast-in-place joints, which register a 518 kN peak load and a ductility of 4.15. This pattern persists among other structures, where grouted coupler joints typically display elevated ductility and steel plate & bolt joints present superior maximum loads, highlighting the inherent trade-offs between various connection types regarding load capacity and flexibility. The graph illustrates the distinctions between two connection types for each structural configuration, as the initial experimental investigations predominantly centred on juxtaposing a particular connection type with cast-in-place construction, in alignment with their methodological approaches.

3.4.1. Non-Destructive Evaluation of Connections

Building upon experimental investigations that analyse the structural efficacy of diverse connection systems, non-destructive evaluation (NDE) methodologies have surfaced as supplementary approaches to examine connections' internal quality and integrity without inflicting damage. These practices are crucial in precast connections, where aspects like compactness, identifying defects, and bond strength are essential for maintaining the structure's long-lasting durability and load-bearing strength.
Ultrasonic Testing (UT) is a prominent technique that uses high-frequency guided waves [26] to identify internal defects, including voids, cracks, and inadequate grout compactness. UT has effectively detected anomalies within grout-filled sleeve connections by assessing wave attenuation patterns along reinforcement bars [83]. Nevertheless, challenges such as wave dispersion in thick or heavily reinforced concrete sections may compromise its reliability when utilised in complex structural connections
Acoustic Emission (AE) Monitoring provides real-time detection capabilities by capturing elastic waves produced from crack propagation, debonding, and void formation during loading and grouting activities. This technique has demonstrated efficacy in identifying compactness concerns and detecting early-stage defects, thereby improving the monitoring of connection performance both during construction and under service conditions [84].
Another technique, Impact-Echo (IE) testing, assesses internal compactness by examining reflected acoustic wave patterns, which can disclose incomplete grout filling, voids, or other irregularities that may undermine the connection's load-bearing capacity [27]. Table 6 presents a comparative overview of the applied NDE techniques, their primary evaluation parameters, and key observations to summarise the findings from these NDE studies.
Incorporating these non-destructive evaluation (NDE) methodologies into the assessment of composite joints, structural dependability can be significantly enhanced, and quality control protocols can be implemented within modular construction practices. As these techniques undergo further optimisation, they present the possibility of advanced monitoring systems proficient in real-time damage identification and predictive maintenance.

3.5. Connections in Modular Construction Scenario

The evaluation of precast concrete connections within modular construction necessitates a qualitative analysis of diverse performance metrics tailored to the specific requirements of modular systems. While the comparative data is derived from studies on various precast structural configurations, these evaluations have been adapted to align with their application in modular construction, where prefabricated units typically weigh between 10 and 15 tons and require efficient and reliable assembly techniques.
To facilitate this analysis, the radar chart (Figure 13) provides a comparative framework, summarising key factors such as load transfer capacity, seismic performance, durability, cost, construction speed, ease of installation, and maintenance requirements. These scores are synthesised from experimental results, analytical findings, and literature studies detailed in Table 4 and Table 5, offering valuable insights into the suitability of different connection methodologies for modular construction scenarios.
Each performance metric was analysed and scored from 0 to 100, where 0 reflects the lowest performance, and 100 reflects the highest performance. The scoring methodology was predicated upon a comprehensive examination of experimental investigations, and comparative evaluations elucidated in the referenced Table 4 and Table 5. For instance, Load Transfer Capacity signifies the capability of the connection to efficiently convey loads between modules, with elevated scores denoting superior performance. Seismic performance assesses the robustness of the connection in the face of seismic forces, with increased scores indicating enhanced resistance to seismic events. Durability evaluates the protracted performance and resilience against deterioration, with elevated scores reflecting more robust connections. Cost scrutinises the economic ramifications, with diminished costs yielding higher scores. Construction Speed measures the temporal efficiency of the connection's installation, with expedited installations receiving higher scores. Ease of Installation assesses the intricacy and exertion required for assembly, with less complex installations achieving higher scores. Maintenance Requirements evaluate the continuous upkeep necessities, with reduced maintenance demands resulting in higher scores. By standardising these performance metrics on a 0 to 100 scale, the radar chart visually delineates each connection technique's comparative strengths and weaknesses, thereby offering a lucid and succinct comparison for stakeholders engaged in the construction sector.
The load transfer capacity is a critical determinant of connection performance, directly impacting structural stability and force transmission efficiency. Connections utilising cast-in-situ and grouted couplers achieved the highest ratings owing to their provision of monolithic or near-monolithic behaviour, which facilitates effective stress distribution under both static and dynamic conditions. Notably, grouted couplers gain advantages from mechanical interlocking and grout confinement, which enhance the transfer of axial and shear forces. Connections employing embedded steel plates and bolts received slightly lower scores due to the inherent risk of slip at the interface, potentially causing stress concentrations at the bolt locations. Research findings [65,66,67] regarding bolted connections in precast frameworks suggest that, while they exhibit adequate load-bearing capacity, their performance in response to significant cyclic loads is contingent upon factors such as bolt pre-tensioning and slip behaviour.
The seismic performance of connections is intricately linked to their ductility, energy dissipation capabilities, and adaptability to cyclic deformations. Connections made with cast-in-situ techniques exhibited the highest levels of seismic resilience, functioning monolithically and providing enhanced ductility. Grouted coupler connections also performed admirably, especially when designed with confinement reinforcement, as experimental investigations into precast beam-column joints have demonstrated their effective energy dissipation capabilities. Connections featuring embedded steel plates and bolts displayed moderate seismic performance, as their inherent dry assembly characteristics may result in localised stress concentrations, thereby diminishing overall ductility. Nevertheless, bolted systems can be engineered with energy-dissipating elements to improve their seismic performance.
The durability evaluation focused on the material's performance as time progressed and its resistance to external influences. Connections utilising cast-in-situ and grouted coupler methods received the highest durability ratings, as their concrete-embedded designs significantly reduced exposure to external degradation agents. Conversely, embedded steel plates and bolted connections scored lower due to potential corrosion hazards, necessitating protective coatings and routine inspections. Longitudinal studies on exposed bolted joints within precast bridges and industrial facilities have revealed an increased vulnerability to moisture infiltration and rust, which, if not addressed, could culminate in connection failure.
Cost considerations are paramount in modular construction, where efficiency and economic viability are critical factors. Connections made with cast-in-situ methods were assigned the lowest score, as they typically entail considerable on-site labour, extensive formwork, and prolonged curing periods. In contrast, grouted couplers and embedded steel plates and bolted connections received higher ratings due to their facilitation of quicker installations with diminished labour expenses. The grouted coupler system achieves a harmonious balance between cost efficiency and performance, rendering it a financially viable option for modular construction, particularly as the repetitive use of connection elements further optimises overall costs.
Construction speed was significantly affected by the requirements of on-site operations. Embedded steel plates and bolted connections received the highest ranking, as they offer immediate structural stability upon installation, thereby reducing on-site labour. Grouted coupler connections were rated below due to their need for precise alignment while permitting rapid post-grouting assembly. Conversely, cast-in-situ connections scored the lowest, attributable to extended curing durations and the demand for supplementary site activities.
The evaluation of installation ease was determined by the feasibility of managing 10 to 15-ton concrete modules within modular construction. Grouted coupler connections achieved the highest rank, enabling straightforward alignment and joining with minimal equipment, thereby diminishing installation time and intricacy. Following were embedded steel plates and bolted connections, necessitating careful bolt tightening but eliminating the need for wet processes. Cast-in-situ connections were rated lowest, given their extensive on-site workload, requirements for formwork preparation, and alignment issues, rendering them less favourable for modular assembly where efficiency is critical.
Maintenance considerations were assessed based on anticipated long-term care. Cast-in-situ connections demanded the least maintenance due to their monolithic nature, which removes weak points. Grouted coupler connections necessitated moderate maintenance, primarily for grout integrity assessments in high-seismic contexts. In contrast, embedded steel plates and bolted connections required the most maintenance, as regular bolt tensioning and corrosion protection are essential to sustain their long-term performance.
In summary, the qualitative ratings depicted in the radar chart offer a comprehensive view of the strengths and weaknesses of each connection method in the context of modular construction. Grouted coupler connections present the optimal balance between seismic performance, durability, and installation ease, rendering them a favoured option for modular structures. Embedded steel plates and bolted connections demonstrate superiority in construction speed and flexibility, albeit with the necessity for diligent maintenance. Cast-in-situ connections deliver enhanced seismic resilience; however, they are encumbered by on-site workload and prolonged construction durations. Choosing an appropriate connection method should be informed by project-specific criteria, weighing structural performance, efficiency, and cost implications.

4. Discussion and Recommendations for Future Work

This investigation offers critical perspectives on modular construction and its extensive benefits, emphasising the design factors essential for effectively executing modular edifices. While limited research exists specifically on connections in concrete modules, this study bridges the gap by reviewing various connection techniques in precast systems and evaluating their suitability in the modular construction context. By synthesising insights from experimental studies and performance metrics, this review lays the groundwork for further exploration into connection methodologies tailored specifically for modular construction.
The findings of this research indicate that modular construction techniques noticeably improve efficiency, particularly in high-rise structures, by optimising manufacturing workflows, accelerating on-site assembly, and enhancing overall construction quality. The benefits associated with modular construction, including reduced construction duration, financial savings, and heightened safety, are thoroughly documented, establishing it as an attractive alternative to traditional construction paradigms. While these composite connections (including grouted, bolted, and hybrid) have demonstrated significant potential, particularly in their seismic performance, enhancement is necessary to augment their reliability under seismic conditions. Experimental investigations have indicated that grouted systems perform better in seismic contexts than alternative connection types. However, additional advancements are imperative to optimise these systems for enhanced assurance regarding their behaviour during seismic occurrences, which encompasses improving load transfer mechanisms, ductility, and failure resistance. Addressing these enhancements is essential for facilitating the widespread implementation of composite connection systems in modular construction.
Future research should delve into the seamless integration of various connection types within modular structures, examining their compatibility with different modular systems and assessing their impact on structural performance during assembly and in-service conditions. A particularly critical area for investigation is the seismic performance of these connections, especially under extreme seismic environments characterised by phenomena such as directivity effects and more extended pulse periods in ground motions [85]. These conditions, observed in significant earthquakes like the Myanmar earthquake [86] caused by super shear rupture, pose unique challenges to modular construction systems. Understanding the response of composite connections under such dynamic loading scenarios is essential for enhancing earthquake resilience. Detailed studies on how these connections behave under supershear-induced ground motions [87] and other seismic loads will be instrumental in ensuring the stability and safety of modular structures in earthquake-prone regions. Alongside these technical explorations, developing comprehensive design standards and guidelines tailored for modular construction is imperative. It should address specific challenges like joint flexibility, load transfer mechanisms, and the interaction of modular units. Finally, future studies should explore innovative and adaptive connection solutions, leveraging advanced materials and technologies further to enhance the efficiency and resilience of modular structures, potentially revolutionising the field through hybrid connections and automated assembly techniques.

5. Conclusions

Modular construction has developed into a transformative approach in the construction industry, yielding significant benefits such as enhanced productivity, decreased financial outlays, and superior quality in construction outcomes. This review thoroughly examined its design principles, connection techniques, and obstacles, yielding a detailed comprehension of its present status and prospects.
Modular construction has proven its capacity to shorten project timelines by as much as 50% and decrease costs by around 20%, mainly due to the incorporation of offsite manufacturing and optimised processes.
Volumetric modular construction has been shown to reduce on-site labour activities by transferring up to 80% of work offsite, greatly minimising site disruptions and improving safety and accuracy.
Composite connections show significant improvements in load transfer mechanisms, boosting efficiency by 15-30% and reaching superior maximum loads, such as 575 kN for bolted connections as opposed to 518 kN for cast-in-place joints.
The application of Non-Destructive Evaluation (NDE) techniques enhances the assessment of internal quality and structural integrity in composite connections, supporting durability, and effective real time monitoring in modular construction.
Despite its benefits, the widespread implementation of modular construction faces obstacles, including connection effectiveness, adherence to regulations, and maintaining structural integrity during transportation and assembly.
Continued research into automated assembly technologies, frameworks that resist seismic activity, and advanced composite connection systems will foster further innovations and assist in overcoming current challenges within modular construction practices.

Author Contributions

Conceptualization, M.T.L., K.S.K.K.R, B.K. and R.A.; methodology, M.T.L., K.S.K.K.R, B.K. and R.A.; formal analysis, M.T.L.; writing—original draft preparation, M.T.L.; writing—review and editing, K.S.K.K.R, B.K. and R.A. ; visualisation, M.T.L.; supervision, K.S.K.K.R, B.K. and R.A.; project administration, B.K. and R.A. All authors have read and agreed to the published version of the manuscript.

Funding

This research received no external funding.

Data Availability Statement

Not applicable.

Conflicts of Interest

The authors declare no conflicts of interest.

Abbreviations

The following abbreviations are used in this manuscript:
MEFM Modular Equivalent Frame Method
ESWM Equivalent Shear Wall Method
SCC Self-Compacting Concrete
NDE Non-Destructive Evaluation

References

  1. Lawson, M.; Ogden, R.; Goodier, C. Design in Modular Construction, 0 ed.; CRC Press, 2014; ISBN 978-0-203-87078-5. [Google Scholar]
  2. Staib, G.; Dörrhöfer, A.; Rosenthal, M. Components and Systems: Modular Construction Design, Structure, New Technologies; Ed. Detail: München, 2008; ISBN 978-3-7643-8656-6. [Google Scholar]
  3. Li, C.Z.; Wen, S.; Yi, W.; Wu, H.; Tam, V.W.Y. Offsite Construction Supply Chain Challenges: An Integrated Overview. Journal of Construction Engineering and Management 2024, 150. [Google Scholar] [CrossRef]
  4. Fang, Y.; Gao, S. Construction 4.0 Technology and Lean Construction Ambidexterity Capability in China’s Construction Industry: A Sociotechnical Systems Perspective. Construction Innovation 2024. [Google Scholar] [CrossRef]
  5. Gusmao Brissi, S.; Debs, L. Principles for Adopting Offsite Construction in Design and Construction Companies Focused on Multifamily Projects in the USA. Engineering, Construction and Architectural Management 2024, 31, 4308–4329. [Google Scholar] [CrossRef]
  6. Gartner, M.A.; Grenzfurtner, W.; Zauner, B.; Gronalt, M. Job and Product Rotation for Maximising the Production Output on Multi Mixed-Model Assembly Lines for Element Prefabrication in Industrialised Housebuilding. Computers and Industrial Engineering 2024, 190. [Google Scholar] [CrossRef]
  7. Saad, S.; Rasheed, K.; Ammad, S.; Hasnain, M.; Ullah, H.; Hannan Qureshi, A.; Mohsen Alawag, A.; Altaf, M.; Sadiq, T. Offsite Modular Construction Adoption in Developing Countries: Partial Least Square Approach for Sustainable Future. Ain Shams Engineering Journal 2025, 16. [Google Scholar] [CrossRef]
  8. Saad, A.M. Exploring the Contractual Arrangements Associated with the Adoption of the Modern Methods of Construction in the United Kingdom. Journal of Legal Affairs and Dispute Resolution in Engineering and Construction 2023, 15. [Google Scholar] [CrossRef]
  9. Mandala, R.S.K.; Nayaka, R.R. A State of Art Review on Time, Cost and Sustainable Benefits of Modern Construction Techniques for Affordable Housing. Construction Innovation 2023. [Google Scholar] [CrossRef]
  10. Shahzad, W.M.; Reddy, S.M.; Kahandawa, R.; Rotimi, J.O.B. Benefits, Constraints and Enablers of Modular Offsite Construction (MOSC) in New Zealand High-Rise Buildings. Engineering, Construction and Architectural Management 2024, 31, 4042–4061. [Google Scholar] [CrossRef]
  11. Karaca, F.; Tleuken, A.; Awan, H.H.; Askar, R.; Çıdık, M.S.; Iskakova, A.; Turkyilmaz, A.; Laudal, T.; Durdyev, S.; Varol, H.A.; et al. Stakeholder Perspectives on the Costs and Benefits of Circular Construction. Scientific Reports 2024, 14. [Google Scholar] [CrossRef]
  12. Kamali, M.; Hewage, K.; Rana, A.; Alam, M.S.; Sadiq, R. Environmental Sustainability Assessment of Single-Family Modular Homes Using Performance Benchmarks of Conventional Homes: Case Studies in British Columbia, Canada. Clean Technologies and Environmental Policy 2023, 25, 2603–2628. [Google Scholar] [CrossRef]
  13. Ginigaddara, B.; Perera, S.; Feng, Y.; Rahnamayiezekavat, P.; Kagioglou, M. Industry 4.0 Driven Emerging Skills of Offsite Construction: A Multi-Case Study-Based Analysis. Construction Innovation 2024, 24, 747–769. [Google Scholar] [CrossRef]
  14. Daniel, E.I.; Babalola, A.; Oladinrin, O.T.; Obi, L.I.; Oshodi, O.; Konara Mudiyanselage, A.N. Where Lean Construction and Offsite Construction Meet: A Bibliographic Scientometric Analysis. Construction Innovation 2024. [Google Scholar] [CrossRef]
  15. Resta, G.; Gonçalves, S. Design for Disassembly and Cultural Sites. The Use of Modular Architecture and Prefabrication in Exhibition Venues. Vitruvio 2024, 9, 124–141. [Google Scholar] [CrossRef]
  16. Doan, D.T.; Mai, T.P.A.; GhaffarianHoseini, A.; Ghaffarianhoseini, A.; Naismith, N. A Review of the Current State and Future Trends in Modern Methods of Construction Research. Construction Innovation 2024. [Google Scholar] [CrossRef]
  17. Aragon, T.C.; Kurama, Y.C.; Meinheit, D.F. Numerical Modeling and Behavior of Ductile Short-Grouted Reinforcing Bar-to-Foundation Connections for Precast Concrete Structures. Engineering Structures 2021, 233. [Google Scholar] [CrossRef]
  18. Su, H.; Yang, C.; Sun, C.; Hu, L.; Fan, W. Seismic Performance of Precast Multi-Segment Columns with Grouted Sleeves: Experimental and Numerical Investigations. Engineering Structures 2024, 301. [Google Scholar] [CrossRef]
  19. Sun, J.; Qiu, H.; Jiang, H. Experimental Study and Associated Mechanism Analysis of Horizontal Bolted Connections Involved in a Precast Concrete Shear Wall System. Structural Concrete 2019, 20, 282–295. [Google Scholar] [CrossRef]
  20. Dal Lago, B. Numerical and Experimental Investigation on Angle Multiple Slit Bolted Connections for Precast Wall Panels. Structures 2024, 69. [Google Scholar] [CrossRef]
  21. Lu, Y.; Jiang, L.; Lin, F. Seismic Performance of Precast Concrete Shear Wall Using Grouted Sleeve Connections for Section Steels Reinforced at Wall Ends. Structures 2023, 57. [Google Scholar] [CrossRef]
  22. Bi, Y.; Yao, Z.; Qin, Y.; Kali, A.; Chen, Q.; Niyazi, H. Seismic Performance of Precast Concrete Shear Walls Based on Grouted Corrugated Metallic Duct Hybrid Connection. Construction and Building Materials 2024, 450. [Google Scholar] [CrossRef]
  23. Tadi Beni, M.B.; Madhkhan, M. Experimental Study on Two Innovative Ductile Moment-Resisting Precast Concrete Beam-Column Connections. Structures 2022, 39, 559–572. [Google Scholar] [CrossRef]
  24. Soydan, C.; Özkaynak, H.; Sürmeli, M.; Şenol, E.; Saruhan, H.; Yüksel, E. A Moment Resistant Beam End Connection Using Energy Dissipative Couplers for Precast Concrete Structures. Bulletin of Earthquake Engineering 2024. [Google Scholar] [CrossRef]
  25. Zhang, R.; Li, A. Experimental Study on the Performance of Damaged Precast Shear Wall Structures after Base Isolation. Engineering Structures 2021, 228. [Google Scholar] [CrossRef]
  26. Sun, H.; Zhu, J. Nondestructive Evaluation of Steel-Concrete Composite Structure Using High-Frequency Ultrasonic Guided Wave. Ultrasonics 2020, 103. [Google Scholar] [CrossRef]
  27. Gu, S.; Wu, Y.; Wang, X.; Li, S.; Ding, C.; Wu, Y. Nondestructive Testing of Strength of Sleeve Grouting Material in Prefabricated Structure Based on Surface Hardness Method. Construction and Building Materials 2020, 263, 120675. [Google Scholar] [CrossRef]
  28. Hofer, L.; Zanini, M.A.; Faleschini, F.; Toska, K.; Pellegrino, C. Seismic Behavior of Precast Reinforced Concrete Column-to-Foundation Grouted Duct Connections. Bull Earthquake Eng 2021, 19, 5191–5218. [Google Scholar] [CrossRef]
  29. Xu, C.; Li, L.; Miramini, S.; Zhang, L. Experimental Investigation of the Mechanical Performance of Novel Rigid Connections in Prestressed Circular Composite Precast Concrete Columns under Cyclic Lateral Loading. Journal of Building Engineering 2024, 89, 109150. [Google Scholar] [CrossRef]
  30. Zhao, W.; Wang, Q.; Li, Y.; Yang, Y. Seismic Performance of Precast Reinforced Concrete Shear Wall Structure Connected with Vertical Indirect-Lapping Joints. Structures 2023, 58, 105544. [Google Scholar] [CrossRef]
  31. Li, Y.; Yang, Y.; Wang, Q.; Feng, S.; Zhao, W. Cyclic Shear Loading Test for Grout-Sleeve Joints in Precast Concrete Shear Wall Structure. Journal of Building Engineering 2024, 82, 108329. [Google Scholar] [CrossRef]
  32. Yagoub, N.F.A.; Wang, X.; Dean, A.; Moussa, A.M.A.; Mahdi, E. A Novel Resilient System of Self-Centering Precast Reinforced Concrete Walls with External Dampers. Journal of Building Engineering 2024, 87, 109107. [Google Scholar] [CrossRef]
  33. Gunawardena, T.; Ngo, T.; Mendis, P. Behaviour of Multi-Storey Prefabricated Modular Buildings under Seismic Loads. Earthquakes and Structures 2016, 11, 1061–1076. [Google Scholar] [CrossRef]
  34. Bai, J.; Yang, B.; Xie, B.; Yang, J. Design and Experimental Study on RC Modular Superimposed Shear Wall Boundary Elements with New Inter-Module Connections. Journal of Building Engineering 2024, 95, 110193. [Google Scholar] [CrossRef]
  35. Wenke, J.M.; Dolan, C.W. Structural Integrity of Precast Concrete Modular Construction. PCIJ 2021, 66, 58–70. [Google Scholar] [CrossRef]
  36. Ginigaddara, T.; Ekanayake, C.; Gunawardena, T.; Mendis, P. Resilience and Performance of Prefabricated Modular Buildings Against Natural Disasters. Electron. J. Struct. Eng. 2023, 23, 85–92. [Google Scholar] [CrossRef]
  37. Lawson, R.M.; Ogden, R.G.; Bergin, R. Application of Modular Construction in High-Rise Buildings. J. Archit. Eng. 2012, 18, 148–154. [Google Scholar] [CrossRef]
  38. Pan, W.; Zhang, Z. Benchmarking the Sustainability of Concrete and Steel Modular Construction for Buildings in Urban Development. Sustainable Cities and Society 2023, 90. [Google Scholar] [CrossRef]
  39. Chourasia, A.; Singhal, S. Prefabricated Volumetric Modular Construction: A Review on Current Systems, Challenges, and Future Prospects. Practice Periodical on Structural Design and Construction 2023, 28. [Google Scholar] [CrossRef]
  40. Yang, Z.; Lu, W. Facility Layout Design for Modular Construction Manufacturing: A Comparison Based on Simulation and Optimization. Automation in Construction 2023, 147. [Google Scholar] [CrossRef]
  41. Ali, A.H.; Kineber, A.F.; Elyamany, A.; Ibrahim, A.H.; Daoud, A.O. Identifying and Assessing Modular Construction Implementation Barriers in Developing Nations for Sustainable Building Development. Sustainable Development 2023, 31, 3346–3364. [Google Scholar] [CrossRef]
  42. Khan, A.A.; Yu, R.; Liu, T.; Gu, N.; Walsh, J. Volumetric Modular Construction Risks: A Comprehensive Review and Digital-Technology-Coupled Circular Mitigation Strategies. Sustainability (Switzerland) 2023, 15. [Google Scholar] [CrossRef]
  43. Loizou, L.; Barati, K.; Shen, X.; Li, B. Quantifying Advantages of Modular Construction: Waste Generation. Buildings 2021, 11, 622. [Google Scholar] [CrossRef]
  44. Maceika, A.; Bugajev, A.; Šostak, O.R. Evaluating Modular House Construction Projects: A Delphi Method Enhanced by Conversational AI. Buildings 2024, 14, 1696. [Google Scholar] [CrossRef]
  45. Bertram, N.; Fuchs, S.; Mischke, J.; Palter, R.; Strube, G.; Woetzel, J. Modular Construction: From Projects to Products. Capital Projects.
  46. Zhang, Y.; Pan, W.; Teng, Y.; Chen, S. Construction Waste Reduction in Buildings through Modular and Offsite Construction. Journal of Management in Engineering 2024, 40. [Google Scholar] [CrossRef]
  47. Pan, W.; Wang, Z.; Zhang, Y. Module Equivalent Frame Method for Structural Design of Concrete High-Rise Modular Buildings. Journal of Building Engineering 2021, 44. [Google Scholar] [CrossRef]
  48. Pan, W.; Wang, Z.; Zhang, Y. Module Equivalent Frame Method for Structural Design of Concrete High-Rise Modular Buildings. Journal of Building Engineering 2021, 44, 103214. [Google Scholar] [CrossRef]
  49. Ferdous, W.; Bai, Y.; Ngo, T.D.; Manalo, A.; Mendis, P. New Advancements, Challenges and Opportunities of Multi-Storey Modular Buildings – A State-of-the-Art Review. Engineering Structures 2019, 183, 883–893. [Google Scholar] [CrossRef]
  50. PCI Design Handbook: Precast and Prestressed Concrete, 5. ed.; Precast/Prestressed Concrete, Institut, Ed.; Precast/Prestressed Concrete Institute: Chicago, Ill, 1999; ISBN 978-0-937040-60-7. [Google Scholar]
  51. Thai, H.-T.; Ngo, T.; Uy, B. A Review on Modular Construction for High-Rise Buildings. Structures 2020, 28, 1265–1290. [Google Scholar] [CrossRef]
  52. IS 15916 (2011): Building Design and Erection Using Prefabricated Concrete - Code of Practice.
  53. IS 11447 (1985): Code of Practice for Construction with Large Panel Prefabricates.
  54. Standards Australia Limited Standards Australia Limited. Concrete Structures, 2018.
  55. BSI British Standards. Structural Use of Concrete. [CrossRef]
  56. Sun, J.; Qiu, H.; Jiang, H. Lateral Load Behaviour of a Rectangular Precast Shear Wall Involving Vertical Bolted Connections. Advances in Structural Engineering 2019, 22, 1211–1224. [Google Scholar] [CrossRef]
  57. Zhao, B.; Yi, J.; Li, X.; Tian, Y.; Lu, X. Experimental Recognition of Seismic Performance of Simple Bolt-Connected Precast Frame by Comparing with Equal Stiffness Cast-in-Situ Frame. Journal of Building Engineering 2023, 78. [Google Scholar] [CrossRef]
  58. Pan, G.-B.; Cai, J.; He, A.; Chen, Q.-J.; Zuo, Z.-L.; He, B.-Q.; Tang, X.-L.; Wu, H.-W. An Experimental Study of the Seismic Behaviour of Precast Concrete Shear Walls with Bolted-Plate Connections. Engineering Structures 2021, 248, 113203. [Google Scholar] [CrossRef]
  59. Pul, S.; Şentürk, M. A Bolted Moment Connection Model for Precast Column-Beam Joint. April 2017. [Google Scholar]
  60. Hou, S.; Shi, D.; Fan, J.; Wu, T.; Sun, W.; Wu, G.; Fan, X. Comparative Study on Failure Mechanism of Full-Scale Precast and Cast-in-Place Beam-Column Joints Based on Acoustic Emission Technology. Structures 2024, 65. [Google Scholar] [CrossRef]
  61. Pan, Z.; Si, Q.; Zhou, Z.; Zhang, Y.; Zhu, Y.; Chen, X. Experimental and Numerical Investigations of Seismic Performance of Hybrid Joints with Bolted Connections. Journal of Constructional Steel Research 2017, 138, 867–876. [Google Scholar] [CrossRef]
  62. Ghayeb, H.H.; Abdul Razak, H.; Ramli Sulong, N.H. Seismic Performance of Innovative Hybrid Precast Reinforced Concrete Beam-to-Column Connections. Engineering Structures 2020, 202, 109886. [Google Scholar] [CrossRef]
  63. Akduman, S.; Aktepe, R.; Aldemir, A.; Sahmaran, M. Experimental Investigation of the Damage Characteristics and Seismic Response of Moment-Resisting Bolted Column Base Joints for Precast Concrete Frames. Soil Dynamics and Earthquake Engineering 2024, 177. [Google Scholar] [CrossRef]
  64. Fang, J.; Zhou, L.; Shi, J.; Dai, C.; Li, F.; Liao, F. Flexural Behavior of Modular Steel Channel–Concrete Composite Floor Systems with Bolted Connections. Engineering Structures 2024, 300. [Google Scholar] [CrossRef]
  65. Zhao, F.; Xiong, F.; Cai, G.; Yan, H.; Liu, Y.; Si Larbi, A. Performance and Numerical Modelling of Full-Scale Demountable Bolted PC Wall Panels Subjected to Cyclic Loading. Journal of Building Engineering 2023, 63. [Google Scholar] [CrossRef]
  66. Chong, X.; Zhao, M.; Huang, J.-Q.; Jiang, Q.; Li, H.-R.; Feng, Y.-L. Experimental Investigation and Numerical Analysis of Precast Reinforced Concrete Shear Walls with Shoe Bolt Connections. Advances in Structural Engineering 2023, 26, 329–343. [Google Scholar] [CrossRef]
  67. Wang, Z.; Xiong, F.; Chen, J.; Zhu, X. Experimental and Numerical Analyses on the Seismic Performance of a Novel Precast Concrete Column-Column Joints with Bolted End-Plate Connection. KSCE Journal of Civil Engineering 2022, 26, 4746–4759. [Google Scholar] [CrossRef]
  68. Chen, J.; Liu, J.; Hu, P.; Sun, H.; Hu, X. Experimental and Numerical Investigation on Seismic Behavior of Detachable Precast Concrete Column Joints with Bolted Flange Plate. Journal of Building Engineering 2022, 49. [Google Scholar] [CrossRef]
  69. Guo, W.; Zhai, Z.; Yu, Z.; Chen, F.; Gong, Y.; Tan, T. Experimental and Numerical Analysis of the Bolt Connections in a Low-Rise Precast Wall Panel Structure System. Advances in Civil Engineering 2019, 2019, 1–22. [Google Scholar] [CrossRef]
  70. Balkos, K.D.; Sjaarda, M.; West, J.S.; Walbridge, S. Static and Fatigue Tests of Steel-Precast Composite Beam Specimens with Through-Bolt Shear Connectors. Journal of Bridge Engineering 2019, 24. [Google Scholar] [CrossRef]
  71. Xue, W.; Huang, Q.; Yang, J.; Li, Z. Cyclic Response of Precast Concrete Shear Walls with Reduced Grouted Sleeves or Corrugated Metallic Duct Splices. Case Studies in Construction Materials 2023, 18, e01822. [Google Scholar] [CrossRef]
  72. Xie, L.; Liu, Q.; Wang, X.; Yang, C. Experimental Study on Seismic Performance of Precast Concrete Shear Walls with Defective and Repaired Grouted Sleeve. Structures 2023, 57. [Google Scholar] [CrossRef]
  73. Zhang, X.; Zhao, Y.; Guo, Y.; Li, Z. Equivalent Stress-Strain Model of Half Grouted Sleeve Connection under Monotonic and Repeated Loads: Experiment and Preliminary Application. Engineering Structures 2022, 260. [Google Scholar] [CrossRef]
  74. Guo, T.; Yang, J.; Wang, W.; Li, C. Experimental Investigation on Connection Performance of Fully-Grouted Sleeve Connectors with Various Grouting Defects. Construction and Building Materials 2022, 327. [Google Scholar] [CrossRef]
  75. Li, F.; Abruzzese, D.; Milani, G.; Li, S. Influence of Internal Defects of Semi Grouted Sleeve Connections on the Seismic Performance of Precast Monolithic Concrete Columns. Journal of Building Engineering 2022, 49, 104009. [Google Scholar] [CrossRef]
  76. Xu, L.; Pan, J.; Guo, L. Mechanical Performance of Precast RC Columns with Grouted Sleeve Connections. Engineering Structures 2022, 252. [Google Scholar] [CrossRef]
  77. Barton, R.D.; Ameli, M.J.; Pantelides, C.P. Precast Concrete Bridge Column-Footing Connections with Recessed Grouted Splice Sleeve Connectors. ACI Structural Journal 2022, 119, 215–226. [Google Scholar] [CrossRef]
  78. Wang, R.; Ma, B.; Chen, X. Seismic Performance of Pre-Fabricated Segmental Bridge Piers with Grouted Splice Sleeve Connections. Engineering Structures 2021, 229, 111668. [Google Scholar] [CrossRef]
  79. Ameli, M.J.; Pantelides, C.P. Seismic Analysis of Precast Concrete Bridge Columns Connected with Grouted Splice Sleeve Connectors. J. Struct. Eng. 2017, 143, 04016176. [Google Scholar] [CrossRef]
  80. Fan, J.-J.; Feng, D.-C.; Wu, G.; Hou, S.; Lu, Y. Experimental Study of Prefabricated RC Column-Foundation Assemblies with Two Different Connection Methods and Using Large-Diameter Reinforcing Bars. Engineering Structures 2020, 205, 110075. [Google Scholar] [CrossRef]
  81. Liu, Y.; Ma, H.; Li, Z.; Wang, W. Seismic Behaviour of Full-Scale Prefabricated RC Beam–CFST Column Joints Connected by Reinforcement Coupling Sleeves. Structures 2020, 28, 2760–2771. [Google Scholar] [CrossRef]
  82. Qing, Y.; Yuan, Y.; Wang, C.-L.; Meng, S.; Zeng, B. Experimental Study of Precast Columns with a Hybrid Joint Incorporating Bolted Couplers and Grouted Sleeves. Journal of Building Engineering 2023, 74. [Google Scholar] [CrossRef]
  83. Liu, H.; Qi, Y.; Chen, Z.; Tong, H.; Liu, C.; Zhuang, M. Ultrasonic Inspection of Grouted Splice Sleeves in Precast Concrete Structures Using Elastic Reverse Time Migration Method. Mechanical Systems and Signal Processing 2021, 148. [Google Scholar] [CrossRef]
  84. Ma, Y.; Li, S.; Wu, Y.; Wang, D.; Liu, M. Acoustic Emission Testing Method for the Sleeve Grouting Compactness of Fabricated Structure. Construction and Building Materials 2019, 221, 800–810. [Google Scholar] [CrossRef]
  85. Saha, S.; Karthik Reddy, K.S.K.; Katyal, K.; Somala, S.N. Investigating Seismic Performance of SMRF Buildings under Subshear and Supershear Rupture Conditions: Assessment of Storey-Level Internal Damage. Engineering Structures 2024, 309, 118069. [Google Scholar] [CrossRef]
  86. Sankaran, V. Myanmar Earthquake May Have Been Caused by Rare ‘Supershear’ Rupture, Study Finds. The Independt 2025.
  87. Payyappilly, L.J.; Karthik Reddy, K.S.K.; Somala, S.N. Influence of Rupture Velocity on Risk Assessment of Concrete Moment Frames: Supershear vs. Subshear Ruptures. Structures 2024, 60, 105895. [Google Scholar] [CrossRef]
Figure 1. Country-wise publications on concrete modular construction in the 21st century.
Figure 1. Country-wise publications on concrete modular construction in the 21st century.
Preprints 156006 g001
Figure 2. Development of publication sources on modular construction.
Figure 2. Development of publication sources on modular construction.
Preprints 156006 g002
Figure 3. Research trends in precast structural elements and connection techniques over the past two decades.
Figure 3. Research trends in precast structural elements and connection techniques over the past two decades.
Preprints 156006 g003
Figure 4. Co-occurrence of keywords in publications on modular construction.
Figure 4. Co-occurrence of keywords in publications on modular construction.
Preprints 156006 g004
Figure 5. Heatmap comparing (Beam & Column, Wall & Slab and Volumetric Modular) Precast Systems and Conventional Construction systems across key parameters (1 = Low, 4 = Very High).
Figure 5. Heatmap comparing (Beam & Column, Wall & Slab and Volumetric Modular) Precast Systems and Conventional Construction systems across key parameters (1 = Low, 4 = Very High).
Preprints 156006 g005
Figure 6. Comparison of construction timeline (Adopted from Bertram et al. [45]).
Figure 6. Comparison of construction timeline (Adopted from Bertram et al. [45]).
Preprints 156006 g006
Figure 7. Typical Layout of Modules (a) Clustered Layout (b) Corridor Layout.
Figure 7. Typical Layout of Modules (a) Clustered Layout (b) Corridor Layout.
Preprints 156006 g007
Figure 8. Bolted connection [59].
Figure 8. Bolted connection [59].
Preprints 156006 g008
Figure 9. Embedded steel plate connection [58].
Figure 9. Embedded steel plate connection [58].
Preprints 156006 g009
Figure 10. Grouted sleeve coupler connection.
Figure 10. Grouted sleeve coupler connection.
Preprints 156006 g010
Figure 12. Comparison of ultimate load and ductility for different structures and connections.
Figure 12. Comparison of ultimate load and ductility for different structures and connections.
Preprints 156006 g012
Figure 13. Radar chart comparing connection techniques in modular construction.
Figure 13. Radar chart comparing connection techniques in modular construction.
Preprints 156006 g013
Table 1. Levels of precast system.
Table 1. Levels of precast system.
Level 0 Level 1 Level 2 Level 3 Level 4
Material
System
Component
System
Elemental or
Planar System
Modular
Volumetric
System
Complete
Building
System
Preprints 156006 i001 Preprints 156006 i002 Preprints 156006 i003 Preprints 156006 i004 Preprints 156006 i005
Table 2. Strength of concrete elements [1].
Table 2. Strength of concrete elements [1].
Component Required Strength at 28 days (N/mm2) Demoulding Strength (N/mm2)
Slab 40 20-25
Load Bearing Wall 50 25-30
Table 3. Equivalent load factors to account for dynamic loads [50].
Table 3. Equivalent load factors to account for dynamic loads [50].
Stage Load Factor
Yard Handling 1.2
Transportation 1.5
Erection 1.2
Table 4. Summary of investigations on dry connections in precast structures.
Table 4. Summary of investigations on dry connections in precast structures.
Year Author Prefabricated Structure Parameters Studied
2024 Dal Lago [20] Precast Wall Panel Cyclic test on the horizontal connection of wall panels using friction bolts
2024 Akduman et al. [63] Precast Column Lateral cyclic tests on precast column with embedded plate and bolted connection
2024 Fang et al. [64] Composite Precast Floor and Modular Steel Beam Bending tests on high-strength bolts connecting precast floors and steel channel
2023 Zhao et al. [65] Precast Wall Panel Lateral Cyclic Test on precast wall panel with bolted connection
2023 Chong et al. [66] Precast Shear Wall Lateral cyclic loading test on precast shear walls with shoe bolt connection
2022 Wang et al. [67] Precast Column Lateral cyclic loading on precast column with end plate and high-strength bolt connection
2022 Chen et al. [68] Precast Column to Column Lateral reverse cyclic loading test on precast column with bolted flange plate connection
2019 Guo et al. [69] Precast Shear Walls Tensile and shear tests on an embedded plate and high-strength bolt connection. Lateral cyclic loading test on shear wall with bolted connection
2019 Balkos et al. [70] Precast beam Fatigue test on a precast beam using through-bolt shear connection
Table 5. Summary of investigations on wet connections in precast structures.
Table 5. Summary of investigations on wet connections in precast structures.
Year Author Prefabricated Structure Parameters Studied
2024 Bi et al. [22] Precast Shear Wall Lateral cyclic test on a shear wall with grouted corrugated metal duct connection
2023 Lu et al. [21] Precast Shear Wall Lateral cyclic test on a shear wall with grouted sleeve connection
2023 Xue et al. [71] Precast Shear Wall Lateral cyclic tests on grouted sleeves and corrugated metal ducts connected shear wall specimens
2023 Xie et al. [72] Precast Shear Wall Lateral Cyclic loading test on a shear wall with grouted sleeve coupler connection
2022 Zhang et al. [73] Grouted coupler connection Tensile tests on full-grouted and half-grouted coupler specimens
2022 Guo et al. [74] Grouted coupler connection Tensile tests of fully grouted coupler specimens
2022 Xu et al. [75] Precast Column Lateral cyclic loading tests on precast column with grouted sleeve connection
2022 Xu et al. [76] Precast Column Static pushover test on precast column with grouted sleeve connection
2022 Barton et al. [77] Precast Bridge Pier Lateral cyclic loading on precast pier with grouted splice sleeve connected to footing
Table 6. Summary of non-destructive evaluation methods for composite connections.
Table 6. Summary of non-destructive evaluation methods for composite connections.
NDE Method Evaluated Parameter Connection Type Inferences
Ultrasonic Guided Wave [26] Bond Quality, Debonding Detection Steel Concrete Composite Effective for detecting steel bonding at early stages
Acoustic Emission [84] Grout Compaction, Crack Initiation Sleeve Grouted Connection Real-time monitoring of crack propagation
Ultrasonic Pulse Velocity [83] Grout Strength, Void Detection Sleeve Grouted Connection Reliable for detecting voids and unbonded regions
Disclaimer/Publisher’s Note: The statements, opinions and data contained in all publications are solely those of the individual author(s) and contributor(s) and not of MDPI and/or the editor(s). MDPI and/or the editor(s) disclaim responsibility for any injury to people or property resulting from any ideas, methods, instructions or products referred to in the content.
Copyright: This open access article is published under a Creative Commons CC BY 4.0 license, which permit the free download, distribution, and reuse, provided that the author and preprint are cited in any reuse.
Prerpints.org logo

Preprints.org is a free preprint server supported by MDPI in Basel, Switzerland.

Subscribe

Disclaimer

Terms of Use

Privacy Policy

Privacy Settings

© 2026 MDPI (Basel, Switzerland) unless otherwise stated