Preprint
Article

This version is not peer-reviewed.

Influence of Light Intensity and Nutrient Concentration on Soybean (Glycine max (L.) Merr.) Seedling Growth

A peer-reviewed article of this preprint also exists.

Submitted:

10 April 2025

Posted:

11 April 2025

You are already at the latest version

Abstract
Light and nutrient availability are critical factors of plant growth and development, particularly at the early stages, where they significantly influence the establishment and survival of young seed-lings. The morphological parameters and the biomass accumulation of soybean were measured in a hydroponic vertical farm in the first 14 days of seedling growth in two successive experiments under two types of lighting environments and at three nutrient concentration levels. The lighting condi-tions were set by two parallel variable-spectrum linear luminaires positioned above the lower and upper edges of the cultivation trays. In the first lighting environment, seedlings were exposed to a constant photosynthetic photon flux density (PPFD) with red and blue photon irradiance ratio (R/B) varying in broad range from the lower to the upper end of the cultivation trays. In the second en-vironment, the spatial R/B distribution was uniform, and the PPFD varied between two maxima at the edges and a minimum in the middle of the trays. The R/B ratio within the 0.6-6 interval had little or no effect on plant development. We report the dependence of growth traits as a function of PPFD in the range of 30-290 µmol m⁻² s⁻¹ in full-strength, half-strength, and blank nutrient solutions. The light response for shoot height and the first internode length was mainly influenced by blue light. We observed a rapid decline in growth between 6-20 µmol m⁻² s⁻¹ blue photon irradiance. The shoot height and first internode length did not change significantly at higher blue light intensities. The lengths of the first internode and the root dry mass did depend on the nutrient solution strength. All other growth traits, including stem diameter, leaf size, shoot mass, root mass, and SPAD readings, showed a linear correlation with PPFD and electrical conductivity. The leaf mass and root mass ratios indicated that soybeans adopt a nutrient search strategy by giving preference for root growth while increasing shoot height at the expense of the shoot diameter in conditions of low nutrient availability and low light intensity. The functional relationships determined in the experiments provide valuable inputs to plant growth models. The methodology we employed could also be used to study other plant species and to investigate the interactive effects of specific nutrients and lighting conditions.
Keywords: 
;  ;  ;  ;  ;  

1. Introduction

Soybean (Glycine max (L.) Merr.) is a cheap source of protein and oil, generally used in human nourishment or animal feed [1,2]. Soybean seeds are nutrient-dense, containing approximately 35%-40% carbohydrates, 38%-40% protein, and 18%-20% fat [3]. It is also an essential source of vitamin E for medicines and cosmetics [4].
Soybean is planted at high density, often in intercropping systems [5,6]. The competition for resources such as light, water, and nutrients between crops and weeds or between different crop species in an intercropping system is crucial in determining overall crop productivity. Understanding these competing mechanisms is a prerequisite to predicting interspecific interactions in intercropping systems and developing effective weed control strategies.
A significant amount of literature has been dedicated to elucidating the mechanisms of nutrient uptake from soil and examining the impact of light on crop yield through field experiments. The nutrient uptake is not uniform during plant development. Soybean plants first utilize the food reserve and the nutrients from the cotyledon, followed by the vegetative stage characterized by intensive nitrogen fixation [7]. The growth of soybean is determined by six macronutrients: nitrogen, phosphorus, potassium, calcium, sulfur, magnesium [8,9,10], and several micronutrients such as zinc, iron, selenium, manganese, nickel, molybdenum, and copper [11,12,13,14]. Macronutrient deficiencies negatively affect physio-morphological parameters such as shoot height, leaf area, stem diameter, chlorophyll, and dry matter content of soybean [10]. Micronutrients are essential for crop health, seed quality, abiotic stress tolerance, and enzyme activity [11].
In addition to nutrient availability, lighting conditions, such as light intensity and spectral distribution of light, play a crucial role in affecting plant growth at all stages of development. LED lighting provides a unique opportunity to control light intensity over different wavelengths. Narrowband LEDs facilitate the selective activation of distinct photoreceptors [15] and enable the separation of light intensity and spectral composition. While low light intensity can restrict the rate of photosynthesis, there are cases where shading can have a positive impact on soybean growth [16,17,18,19,20,21,22]. In plant sciences, light intensity is characterized by the photosynthetic photon flux density (PPFD), defined as the photon irradiance in the 400 nm – 700 nm waveband. A low level of PPFD triggers shade avoidance response (SAR) in plants manifested by morphological changes of the shoot system, such as hypocotyl and internode elongation and reduced stem diameter [23,24,25]. The PPFD-related light signal is attributed to cryptochromes primarily absorbing in the blue and UV-A wavebands [26], therefore some studies correlate the SAR with the blue photon flux density assuming that the shade response is not sensitive to the ratio of red and blue irradiances (R/B ratio) [25]. The phytochrome photoreceptors also contribute to the activation of SARs. The phytochromes perceive the ratio between the Red and Far-red radiation (R/FR) which is significantly affected by light reflected and transmitted by neighboring vegetation [26].
The SARs of the plant organs aim to maximize the light interception of the crop to effectively compete with emerging weeds. Increasing weed pressure may also limit the availability of nutrients in the soil. Nutrient deficiency triggers morphological and physiological changes, particularly in the root system architecture [27,28] to enhance the mobilization and uptake of deficient nutrients. The response to nutrient scarcity is activated by hormones and signaling molecules such as ethylene, auxin and nitric oxide [29].
From the early stage of plant growth and development, simultaneous competition for light and nutrients is crucial in determining a seedling’s growth rate and survival [30]. Although field experiments provide valuable information about resource competition among plants, only a tight control of environmental parameters can lead to determining quantitative relationships between resource availability and plant growth traits.
Research investigating the interactive effects of nutrient availability and lighting conditions on plant growth often relies on a limited number of light treatments [31]. While a few experimental settings can reveal general trends, they do not provide the exact mathematical functions that link growth traits with lighting parameters and nutrient concentrations. Understanding these response functions is crucial for developing functional structural plant models, which are valuable tools for predicting and optimizing crop growth [32,33,34]. In our study, we employed an experimental method [35] that allowed for simultaneous measurements across 2x12 different lighting conditions. The main objective of this study was to determine the mathematical functions connecting the morphological traits of soybean seedlings with light intensity, Red/Blue ratio and nutrient concentration. Specifically, we aimed to examine how these stress factors interact and influence the morphological adaptation of plants as well as the biomass accumulation in the shoot and the root systems.

2. Materials and Methods

The experiments were carried out in two phases in the container farm of the Institute of Agronomy, Hungarian University of Agriculture and Life Sciences, Gödöllő, Hungary. The first experiment (Experiment-1) started in May and the second (Experiment-2) in November 2024. The container farm incorporating three vertically stacked cultivation layers was described in a previous communication in detail [35]. The vertical farm was equipped with air conditioning to regulate the temperature, and fans ensuring uniform air temperature and relative humidity above the soybean seedlings. The growing chamber had an air temperature of 24 ±2°C, and the relative humidity was between 60% and 80% in both experiments.

2.1. Materials and Experimental Conditions

The seeds of the ‘Pompei’ soybean cultivar were obtained from Szójamag Kft, Hungary in January 2024 and stored in a cool, dry location until the start of the experiments. The soybean seeds were soaked in distilled water for 4 hours at 20°C to initiate germination, as recommended by Sakare et al. [36], after which the seeds were placed on a sieve of uniform thickness in a plastic tray. The germination occurred in the dark at 20°C at saturated humidity level. Soybean seedlings were transplanted to cultivation trays and placed on hydroponic reservoirs when the hypocotyl length was 5 cm. The reservoirs were 60 cm × 40 cm × 7.5 cm plastic boxes incorporating 14 liters of nutrient solution.

2.2. Nutrient Solutions

In the irrigation water utilized for preparing the nutrient solution the average concentration of ions was as follows: 1.8 mM of Ca2+, 1.4 mM Mg2+, 5.44 mM HCO3, 0.47 mM Na+, 0.48 mM Cl, 0.36 mM SO42− and 0.27 mM of NO3. Potassium (K) was present only in trace amounts, and phosphorus was not detected. In Experiments 1 and 2 the pH of water was 6.8 and 7.1; the electrical conductivity (EC) was 0.597 and 0.635 dS/m, respectively. The water was treated with sulfuric acid in Experiment-1 and with nitric acid in Experiment-2 to decompose hidrocarbonate ions and set the pH level at 6.1.
The nutrient solutions were prepared by combining three stock solutions of commercial liquid fertilizers (Advanced Hydroponics of Holland, Dutch Formula 1, 2 and 3) following the dilution scheme recommended for vegetative growth by the manufacturer. The nutrient content of the stock solutions was described in a previous study [37]. Three different dose levels were employed in the hydroponic experiments. The first group, the full-strength (100%) solution, was prepared by mixing the three stock solutions in the following ratios: Formula 1: 2 mL/L, Formula 2: 1 mL/L, Formula 3: 1 mL/L. The second group was administered a half concentration (50%), while the third group served as a control, with no nutrient concentrates added to the water (0%). The EC and pH were measured by ADWA AD31 TDS/EC meter and ADWA AD12 pH meter. The initial pH value was 6.1 in all treatments, whereas the EC changed according to experimental design. Table 1 shows the pH and EC levels at the beginning of experiments. Table S1 contains the macro and microelement concentrations of the nutrient solutions.

2.3. Lighting Setup

Four-color LED luminaires (Hortiled Multi 4DIM, Hortilux, Den Haag, The Netherlands) containing blue, white, red and far-red LED chips were the sole source of light in this study. Figure 1 shows the parallel arrangement of the LED light bars positioned above three cultivation trays. The x-axis is parallel to the line of LED luminaires, whereas the y-axis is perpendicular to the LED pairs. Each tray was perforated, containing 4 mm diameter holes arranged in a 7×12 matrix. Germinated seeds were transplanted into these holes. The LED luminaires, represented by purple bars in Figure 1 were always positioned above the first and twelfth rows of the holes.
By adjusting the height of the luminaires and the intensity of the blue (450 nm), red (660 nm) and white LEDs, we established two different lighting environments in an experiment: in the first environment the emission spectrum of the LED stripes on the top was rich in blue, and in the bottom the spectrum was rich in red light. The different spectra emitted by the parallel luminaires created a gradual decrease in the R/B ratio from y=1 to y=12, while maintaining a constant PPFD as shown in the upper row of Figure 2(b) and 2(a). In the second environment the R/B ratio was constant, but the spatial PPFD distribution exhibited maxima at the lower and upper edge of the trays and a minimum half way between the LED luminaires. Prior to planting soybean seedlings, photon irradiance was measured at each hole using a spectroradiometer (Mavospec Base, GOSSEN Foto—und Lichtmesstechnik GmbH, Germany).
The heat maps in Figure 2 display the spatial PPFD and R/B ratio distributions across the cultivation trays in Experiment-1. Codes above the upper panes, starting with letter A denote treatments with high average PPFD values with small spatial variations: 276±11, 247±7, 241±5 µmol m-2 s-1 from left to right in Figure 2(a). The R/B ratio, however, decreased from the bottom to the top of the trays, as shown in the upper pane of Figure 2(b).
In the second type of lighting environments, denoted by codenames starting with B, the R/B ratio distribution was flat: 4.3±0.1, 4.3±0.3, 4.4±0.2 from left to right in Figure 2(b). In the lower panes of Figure 2(a) the cool colors in the middle of the trays and warm colors on the edges indicate that the PPFD varied in a broad range between 70 and 261 µmol m-2 s-1.
In Experiment-2 similar photon irradiance distributions were established, but the PPFD averages were reduced to the interval of 101-127 µmol m-2 s-1 and the effect of R/B variations were tested in the broader R/B range of 0.6-6.0. Another difference compared to Experiment-1 was the lack of green (500-600 nm) light, because in Experiment-2 only the narrow band blue (450 nm) and red (660 nm) LED channels were used and the white LED was switched off. Representative irradiance spectra for low and high R/B ratios in Experiments 1 and 2 are displayed in Figure S1.
The lighting characteristics remained constant during one experiment, and the photoperiod was always 16 hours. The symmetry of the spatial distribution of irradiance allowed us to average the photon irradiance and plant growth values along the x-axis. In one experimental setting, 7 x 12 individual measurements were taken. Due to the symmetry of light distribution, each row in the matrix incorporated 7 individual seedlings grown under identical conditions. Consequently, we averaged the individual measurement data by row. The red rectangle in Figure 1 illustrates one group of 7 seedlings growing under the same conditions.

2.4. Experimental Design

Two factors were used in an experiment: the lighting environment at two levels and the solution strength at three levels, resulting in 6 different treatments for each experiment as listed in Table 1. The first letter of the tray code define the lighting variable. Codes starting with “A” represent treatments in which the PPFD level was held constant, and seedlings were exposed to varying ratios of red and blue photon irradiances (R/B). Codes starting with B stand for the cases where the R/B ratio was held constant and PPFD was changing across the cultivation tray. The first number in the code denotes the strength of the nutrient solution: 0 – no added concentrate, 50 – half-strength, 100 full-strength solution. The first digit, 1 or 2, following the underscore refers to the experiment number, whereas the last digit identifies the full replication of the treatment in another reservoir.

2.5. Data Collection

All soybean seedlings were collected on the fourteenth day after transplanting in Experiments 1 and 2. Parameters were measured immediately on the first trifoliate leaf. The shoot height, the first internode length, the diameter of the first internode, the leaf width, the leaf length was measured by a ruler. The spectral properties of the leaves characterizing the chlorophyll content were measured by a SPAD meter (Soil Plant Analysis Development, Konica-Minolta, Japan). The fresh mass of leaves and the stem were measured and analyzed separately. The shoot fresh mass reported was the sum of the leaf and the stem mass measured by individual plants. Similarly, the leaves, stems, and roots were collected separately by rows then dried in an oven at 70°C until the dry mass remained constant. The dry mass of shoot reported is the sum of the dry mass of leaves and the dry mass of the stems.

2.6. Determination of Leaf Mass Ratio and Root Mass Ratio

Leaf mass ratio and root mass ratio were determined and calculated using equations 1 and 2.
l e a f   m a s s   r a t i o = l e a f   d r y   m a s s l e a f   d r y   m a s s + s t e m   d r y   m a s s × 100
r o o t   m a s s   r a t i o = r o o t   d r y   m a s s s h o o t   d r y   m a s s + r o o t   d r y   m a s s × 100

2.7. Statistical Analysis

Regression analysis was carried out using the statistical module of the SciPy open-source Python package. Significance levels were set at p < 0.05 throughout the data analysis. The growth traits of seedlings were correlated with PPFD and R/B values using a linear model and the slopes and intercepts were determined by linear least-squares regression. The estimated parameters, the coefficient of determination (R2) and the p-values of the regression analysis are summarized in Table S2. Error bars in the scatter plots represent the mean value ± standard deviation range.

3. Results

Seedlings were grown under constant environmental conditions until the 14th day after transplanting. Throughout this two-week period both pH and EC were monitored but the volume and compositions of the nutrient solutions were not adjusted. The most significant effect of the two lighting conditions was seen in the morphology, especially in the height of the plants. Under low light intensity, soybean seedlings exhibited tall growth with slender stems, while those exposed to high photosynthetic photon flux density levels displayed shorter stature and thicker stems. Images presented in Figure 3 illustrate the differences in height distributions for uniform PPFD (a) and spatially varying PPFD (b). Comparable height variations were noted with both half-strength and full-strength nutrient solutions.
PPFD exhibited statistically significant correlation with almost all measured growth traits. In contrast, the R/B ratio had minimal or statistically not significant impact on plant development in A-type treatments where the light intensity was set to PPFD > 100 µmol m-2 s-1. Therefore, the charts demonstrating the poor or no correlation between the growth traits and R/B ratio are rendered to Figure S2 of the supplementary material. Because the R/B ratio did not affect significantly the plant parameters, data points were pooled in the treatments with constant PPFD. These data exhibited strong correlation with the solution strength. In the following figures, we present plots in pairs: the left panel (a) displays the growth trait plotted against the blue photon irradiance or PPFD, while panel (b) features a scatter plot of the growth traits as a function of the EC of the nutrient solutions.
Data were evaluated separately for Experiments 1 and 2 and displayed side-by-side in Figure S3 to make similarities and differences directly comparable. The same trends were found in the two independent experiments despite the slight differences in the concentrations of the nutrient solutions, light intensities, and spectra. To avoid presenting multivariate data in a two-dimensional plot, we present only Experiment 1 results in the growth trait vs. PPFD plots with a reference to the Experiment 2 counterpart presented in Figure S3.
Following the practices of previous SRS studies [25] the shoot height and the first internode length were plotted against the absolute value of blue (400-500 nm) light intensity in Figure 4(a) and Figure 5(a). The red, blue and green markers representing full-strength (100%), half-strength (50%) and blank (0%) solutions form three distinct groups in Figure 4(a). The maximum shoot heights were measured at the lowest blue light intensity. The shoot height decreased with the increase of blue photon irradiance up to about 40 µmol m-2 s-1 indicated by the vertical dotted line. Beyond this threshold the shoot height did not change significantly with the blue light intensity, but the average shoot height was determined by the solution strength. Figure 4(b) reveals that the shoot height varied linearly with electrical conductivity, highlighting a direct correlation between nutrient concentration and plant growth.
Similar to the shoot height, the first internode length also decreased with increasing blue photon irradiance up to a threshold of about 40 µmol m-2 s-1, followed by a flat section independent of the photon irradiance. Figure 5(a) illustrates that all internode length data points of Experiments 1 and 2 exhibit a consistent trend as a function of blue photon irradiance. Data points align along the same descending curve independently from the nutrient concentrations. Figure 5(b), however reveals slight linear dependence of the first internode length on EC.
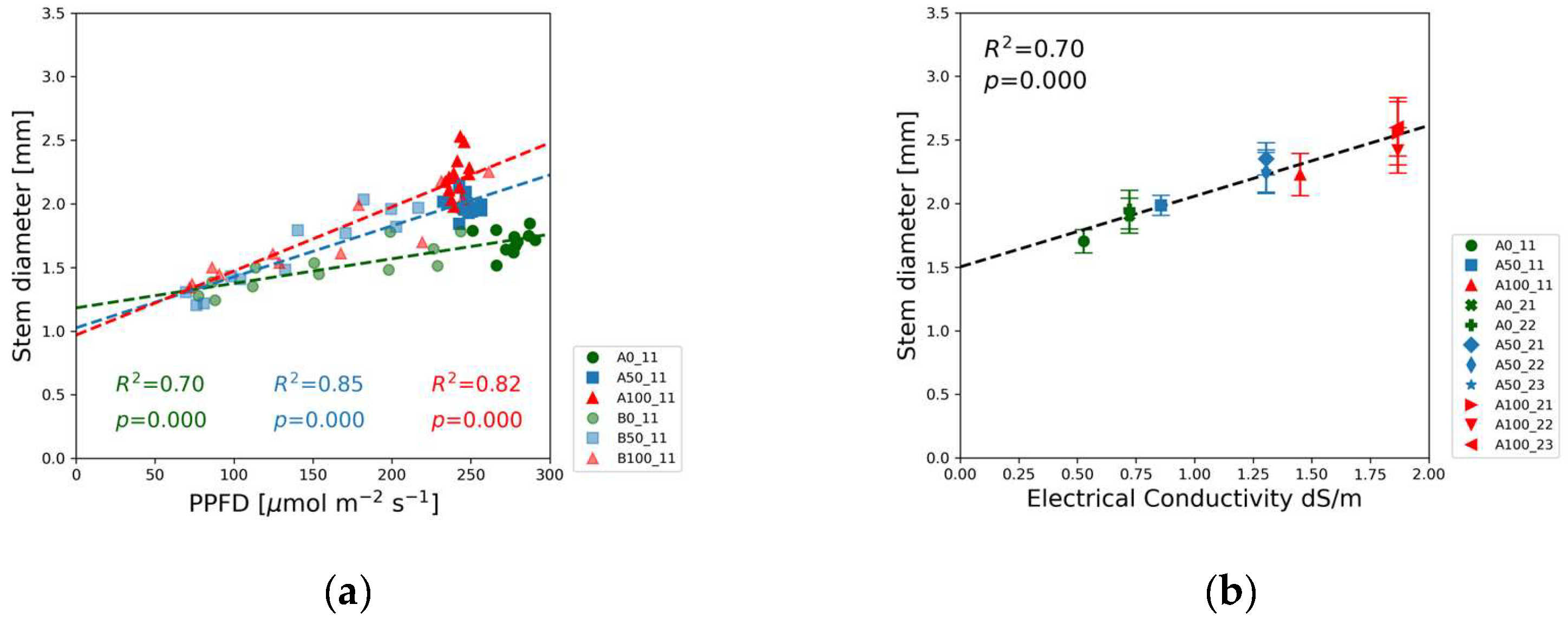
The stem diameter measured at the first internode exhibited the opposite trend compared to the light intensity dependence of shoot height.
Figure 6(a) demonstrates the positive linear correlation between the PPFD and the stem diameter of soybean seedlings. The red and blue data points representing the full and half-strength solutions exhibit a greater slope than the green markers of the blank solutions. The stem diameter also correlated with the EC as indicated in Figure 6(b) and the results of the linear regression in Table S2.
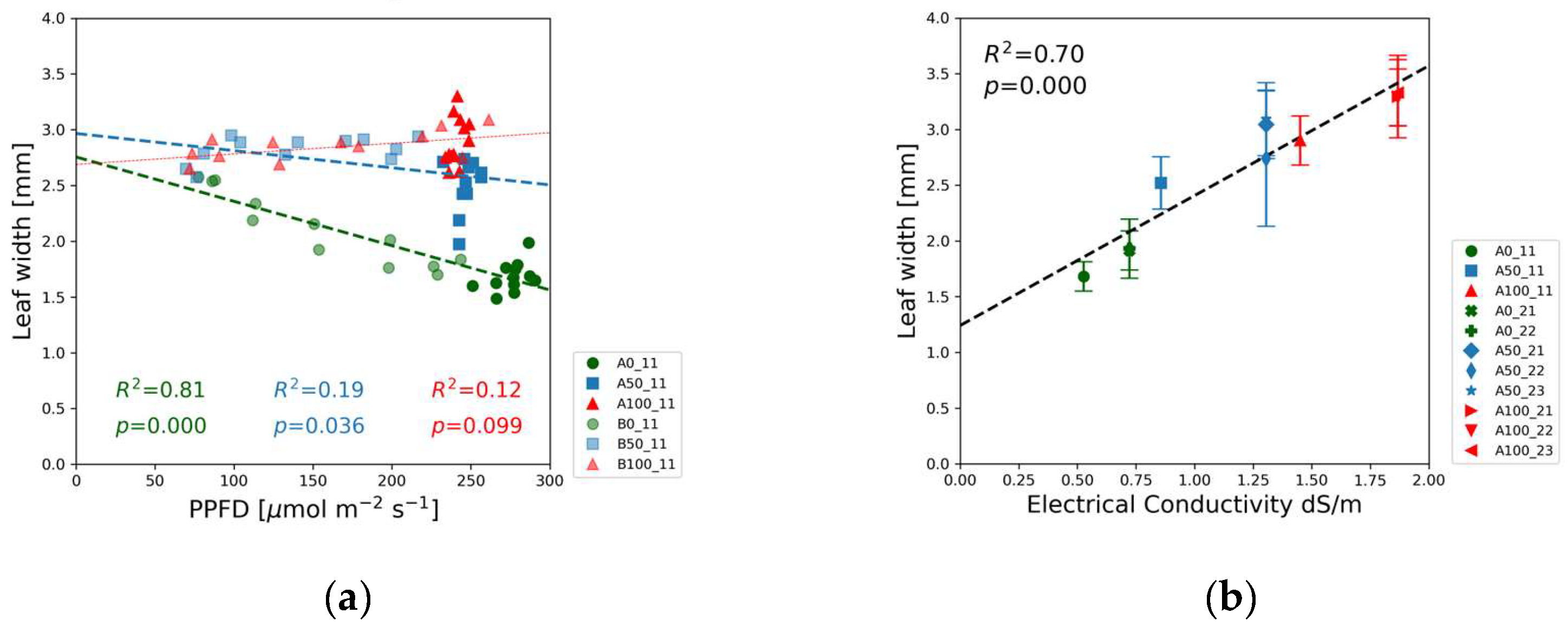
Leaf size was quantified by the width and length. Since these two parameters are strongly correlated, we present the leaf width data only in Figure 7. The results of leaf length measurements can be found in the supplementary Figure S3. The size of the leaves varied in a narrow range for half and full-strength solutions. Neither the length nor the width changed with the PPFD except the downward trend in the blank solutions. At high light intensity leaf dimensions demonstrated to be a linear function of the EC (Figure 7(b)).
Fresh and dry mass of shoots and roots were measured for each treatment. We focus our analysis on biomass accumulation and present the shoot dry mass data in Figure 8 and root dry mass in Figure 9. Fresh mass trends are similar to those of the dry mass and can be found in Figure S3 of the supplementary material.
The shoot dry mass did not change with PPFD in the blank solutions, in contrast to the half-strength and full-strength concentration levels exhibiting significant correlation with the light intensity (Figure 8(a), Figure S3). The biggest slope was measured for full-strength solutions. Half-strength solution data points are found in between the other two groups. Figure 8(b) reveals the linear relationship between the shoot dry mass and the electrical conductivity.
In the case of root dry mass, the solution strength order is reversed: data points of the blank solutions are associated with the biggest values in Figure 9(a) and Figure S3(k), whereas lowest dry mass values were measured in the full strength solutions. In Figure 9(b) the slight downward trend as a function of EC is in line with this observation that root mass was the highest in the lowest nutrient concentrations.
The SPAD measurements assess the chlorophyll concentration in soybean leaves. As expected, the SPAD readings in Figure 10(b) increased with the nitrogen content of the nutrient solution. Figure 10(a) illustrates the interaction between nutrient concentration and PPFD in influencing chlorophyll content. The highest SPAD values correspond to the full-strength nutrient solution. In half-strength solutions chlorophyll content was constrained by nutrient availability, yet the SPAD values showed an upward trend. In the blank solutions SPAD values declined with increasing PPFD.
The leaf mass ratio in Figure 11 and the root mass ratio in Figure 12 were derived from the dry mass of leaves, stem, and root by employing equations 1 and 2, respectively. The leaf mass ratio was the highest for the blank solutions. The blue squares denoting the half-strength solutions are between the data points of the blank (green) and the 100% nutrient dose levels (red) in the bottom of the chart, indicating that leaf and stem development was more balanced at the highest nutrient level. Figure 11(b) indicates that the leaf mass ratio gradually decreased with increasing EC.
The root mass ratio was the lowest in the full-strength solutions, and the highest values were observed in the blank solutions as shown in Figure 12(a). The half-strength solution exhibited a statistically significant upward trend. In the full-strength solution the root mass ratio exhibited no correlation in Experiment 1(Figure 12(b)) and a week positive correlation in Experiment 2 (Figure S3(p)). The proportion of biomass allocated negatively correlated with the electrical conductivity.

4. Discussion

The plant parameters measured in the full-strength nutrient solutions are consistent with previous studies that investigated the light response of soybean across a broad PPFD range [24,25,37,38,39,40,41,42,43,44,45,46,47,48,49]. The observed trends between growth traits and PPFD at high nutrient concentration reinforce our confidence in the measured interactive responses between nutrient availability and lighting conditions.
A general observation from the experiments is that variations in PPFD within the range of 30 to 300 µmol m-2 s-1, along with EC changes between 0.52 and 1.87 dS/m, induced significant responses in various plant traits. These traits included plant height, internode length, stem diameter, leaf width, leaf length, chlorophyll content, and shoot dry mass, as reflected in Figure 4, Figure 5, Figure 6, Figure 7, Figure 8, Figure 9 and Figure 10. The trends in developmental response displayed in Figure 6(a) to Figure 10(a) were reproduced under slightly different conditions in Experiment 2. The side-by-side comparison of the plant traits as a function of PPFD are shown in the supplementary Figure S3.

4.1. The Effect Blue Photon Irradiance and R/B Ratio on Growth Traits

Photobiological responses to light quality changes are generally described by the ratio of photon irradiance levels measured in blue (400-500 nm), green (500-600 nm), red (600-700 nm) and far-red (700-800 nm) wavebands. In our experiments the plant parameters did not exhibit a statistically significant correlation with the R/B ratio except the shoot height and the leaf width shown in Figures S3.
A possible explanation for the poor or lack of correlation with R/B is that soybeans’ response is determined by the absolute value of the blue light intensity. Although the 1.3 to 4.2 R/B ratio range was relatively wide, the corresponding blue photon flux density (BPFD) was restricted to the low intensity interval ranging from 13 µmol m-2 s-1 to 98 µmol m-2 s-1.
Several studies described a saturation effect in the developmental response of plants beyond a relatively low blue photon irradiance threshold [25,50,51,52,53,54]. The shoot elongation as a function blue photon irradiance in Figure 4(a) is in agreement with these observations. Cope and Bugbee [53] reported similar non-linear relationship between plant height and blue photon irradiance, characterized by a sharp decline in shoot length between 20 µmol m-2 s-1 and 50 µmol m-2 s-1. The plant height remained constant with further increase of blue light intensity up to 120 µmol m-2 s-1. Similar trends were observed in our experiments with a somewhat lower saturation threshold. In Figure 4(a) the shoot height decreased rapidly between 6 and 20 µmol m-2 s-1 at all nutrient concentrations. The dotted vertical line representing the saturation blue light intensity was positioned at 40 µmol m-2 s-1. The shoot height saturation level depended on the solution strength. The shortest plants developed in the blank solution whereas the shoot height was the highest in the full-strength solution.
The same non-linear trend and threshold was seen in Figure 5(a) displaying the blue light intensity dependence of the first internode length. In contrast to the shoot height, the first internode length was independent of the nutrient concentration. All data points of Experiments 1 and 2 in Figure 5(a) follow the same declining trendline indicating that the cotyledon was the primary nutrient supply during the elongation of the first internode. At later stages of plant growth, during the development of second and higher sets of true leaves the nutrient availability limited the shoot elongation.
In soybean experiments carried out under narrow-band red and blue LEDs Hitz et. al. found greater than 40 µmol m-2 s-1 blue photon irradiance thresholds in the range of 210 and 310 μmol m−2 s−1 [25]. The order of magnitude difference in the blue saturation threshold compared to previous reports [51,53,54] was attributed to the presence or absence of green light in the photon irradiance spectra. Our experiments do not support this hypothesis. Experiment 1 containing green light and Experiment 2 employing monochromatic red and blue LEDs without green exhibited similar saturation response in Figure 4(a) and Figure 5(a).

4.2. The Effect of Light Intensity and Nutrient Concentration on Growth Traits

Since the blue waveband is part of the PAR range, the plant height and internode length also correlate with the PPFD. The linear relationships in Figures S3(s-v) exhibited by the full strength and half-strength solution data are in agreement with the linear trends reported by other studies [24,25]. Figure 6(a) illustrates that stem elongation is accompanied by the reduction of the stem diameter as a response to shade in agreement with previous studies [24,25]. Figure 6(a) also reveals that the slope of the diameter response function in the blank solution was lower compared to the slopes observed at higher concentrations. This is an indication that nutrient availability limited the stem thickness. The EC dependence of the stem diameter is shown in Figure 6(b).
The increasing concentration of nutrients increased the leaf size at a sufficiently high light intensity, as reflected by Figure 7 and Figures S3(c-f). Figure 7(a) and the low R² and high p-values in Table S3 indicate that leaf dimensions show a weak correlation or are independent of light intensity at 100% and 50% concentrations. Other publications reported a slight increase in the leaf dimensions with decreasing photon flux density [25,53]. The nutrient scarcity in the blank solutions, however, induced a strong negative light response of the leaf size, delivering the largest leaves at the lowest photon irradiance level.
The SARs of the soybean to increase height and leaf size aim at maximizing light interception and promoting photosynthesis. The overall efficiency of photosynthesis is also influenced by the concentration of photosynthetic pigments in the leaves [45]. Chlorophyll plays an important role in absorbing light in the 400 nm and 700 nm waveband required for photosynthesis. The chlorophyll content of leaves, as indicated by SPAD readings, is influenced by the interaction between light intensity and nutrient availability, as shown in Figure 10(a). In the case of full-strength and half-strength nutrient solutions the SPAD values exhibit a positive correlation with PPFD, whereas, in the blank solutions the slope of the regression lines was negative.
Under strong nutrient limitation the highest SPAD readings were recorded at the lowest PPFD. The SPAD values decreased as the PPFD increased. A similar shade response was observed in tea (Camellia sinensis L.). The concentration of chlorophyll and carotenoids increased in tea leaves due to shading against direct sunlight exposure [55,56,5758]. Figure 10(b) reflects the response of soybean seedlings to EC variations in the nutrient solutions at high PPFD. The highest SPAD readings were taken on the leaves grown in the full-strength solutions in the range of 25-35, corresponding to a typical level that can be measured on the leaves of field crops. The SPAD value decreased as the nitrogen concentration was reduced. A decrease in chlorophyll content in the plant significantly reduces the soybean’s ability to capture light and limits the rate of photosynthesis [44]. These findings agree with previous research on soybeans carried out in a broad PPFD range of 100 to 500 µmol m−2 s−1 [45,46,47,48].

4.3. The Effect of Light Intensity and Nutrient Concentration on Biomass Partitioning

The biomass accumulated during plant growth and development is directly related to the carbon fixation process. The dry mass of the plants was the highest in the case of 100% nutrient concentration and highest PPFD levels, providing the best conditions for photosynthesis. The minimum dry mass was measured in plants grown under restricted lighting conditions without added nutrients. The biomass partitioning among the leaves, shoots, and roots reflects the competition among the regulating mechanisms fostering access to nutrients and light within an individual plant.
Figure 8(a) shows no correlation between the shoot dry mass and the PPFD for the blank nutrient solution. The low value of the coefficient of determination, R2 < 0.01, and p-value >> 0.05 in Table S2 indicate that the mass accumulation was limited by the nutrient availability in Experiments 1 and 2. In both half-strength and full-strength nutrient solutions, a significant positive correlation was observed between the shoot dry mass and PPFD. The increasing slope of the fitted regression lines with augmented solution strength suggests that the allocation of biomass to the shoot is promoted by increasing nutrient availability.
The biomass partitioning characteristics for different treatments are better reflected by the leaf and root mass ratio derived from the measured leaf, stem and root dry mass data. In our study, the leaf mass ratio was defined as the quotient of the leaf dry mass and the shoot dry mass, reflecting the proportion of the biomass allocated to the leaves within the shoot system comprising the leaves and the stem. Figure 11 highlights the importance of leaf development for the seedlings growing under limited nutrient availability. The highest leaf mass ratio was observed in the blank solutions, whereas relative biomass allocation to the leaves was the lowest in the case of full-strength solutions. These data indicate that under nutrient scarcity, the regulatory mechanisms of plant growth foster the development of leaves at the expense of stems to maximize leaf area and light interception. A similar conclusion can be drawn from the experiments of Mandal et al. [27]. The leaf mass ratio calculated for 4-week-old soybean seedlings grown in water culture at normal NPK concentration and without NPK fertilizer were 0.633 and 0.645, respectively, exhibiting the same trend in Figure 11(b).
In contrast to the shoot response, the root dry mass was the highest in the blank nutrient solutions, although the mass differences between the different concentration levels were less pronounced compared to that of the shoots. The biomass accumulation in the root system strongly correlated with PPFD (Figure 9(a)). The green data points referring to the 0% nutrient dose level in Experiment 2, Figure S3(l) fluctuated about a constant high value, whereas in Experiment 1 the root dry mass decreased with decreasing PPFD. This difference may be attributed to the different water treatments and higher nitrate ion concentrations in Experiment 2 relative to Experiment 1.
The root dry mass followed a steady downward trend with increasing EC in Figure 9(b), although the correlation at p=0.121 cannot be regarded as statistically significant.
The plant’s strategy to maximize the chance for finding nutrients is more obvious in Figure 12, depicting the PPFD (a) and EC (b) dependence of the root mass ratio. The highest proportion of biomass was allocated to the root system in the case of blank nutrient solution. The green markers in Figure 12(a) indicate that the root mass ratio increased as a function of PPFD from 75 to 200 µmol m⁻2 s⁻¹ followed by a flat section between 200 and 300 µmol m⁻2 s⁻¹. In Experiment 2, however, the root mass ratio was independent of PPFD in the entire PPFD range as displayed in Figure S3(p). The different behavior can be attributed to the higher nitrate concentration in the blank solution in Experiment 2 compared to Experiment 1. The decreasing value of the slope of the regression lines from low to high nutrient concentrations is another sign of the interrelationship between nutrient concentration and light intensity.
Independently from the slight differences between Experiments 1 and 2 the root mass ratio as a function of the EC followed the same trendline with negative slope in Figure 12(b). This observation agrees with the experiments of Mandel et al. [27], where the root mass ratios of 4-week-old soybean seedlings were 0.74 and 0.85 grown in nutrient solution with and without added NPK fertilizer, respectively. The absolute values of root mass ratios are different from our experiment since the seedlings’ ages and other experimental conditions were different.

5. Conclusions

We studied the effect of light intensity and nutrient availability on the initial growth and development of soybean seedlings under controlled environmental conditions. Our experimental method allowed for simultaneous measurements across a broad range of lighting conditions, providing the functional relationship between the environmental parameters (PPFD, blue photon irradiance, nutrient solution strength) and the growth traits of the seedlings. The light response of shoot height and the length of the first internode was primarily determined by the blue photon irradiance exhibiting a rapid decline between 6-20 µmol m⁻2 s⁻¹ followed by a section with no significant change at higher blue light intensities. The first internode length and the root dry mass exhibited only a minor change with respect to nutrient availability. All other growth traits: stem diameter, leaf size, shoot, root mass, and SPAD readings correlated linearly with PPFD and EC. The leaf mass and root mass ratios revealed that soybeans follow a nutrient search strategy by allocating biomass for root growth while increasing shoot height in case of nutrient scarcity and low light intensity. The methodology presented could be applied to study other species and to explore the interactive effects of specific nutrients and varying lighting conditions.

Supplementary Materials

The following supporting information can be downloaded at the website of this paper posted on Preprints.org, Figure S1. Representative irradiance spectra of Experiment 1: (a) R/B = 1.4, PPFD = 266 µmol m-2 s-1; (b) R/B = 4.1, PPFD = 251 µmol m-2 s-1. Representative irradiance spectra of Experiment 2: (c) R/B = 0.9, PPFD = 112 µmol m-2 s-1. (d) R/B = 5.2, PPFD = 111 µmol m-2 s-1. Figure S2. Combined measurement data of Experiments 1 and 2 as a function of Red/Blue photon irradiance ratio (R/B): (a) Shoot height; (b) First internode length; (c) Stem diameter. (d) SPAD; (e) Leaf length; (f) Leaf width; (g) Shoot dry mass. (h) Root dry mass; (i) Leaf mass ratio; (j) Root mass ratio. (h) Shoot fresh mass. The correlation between the measured data and the R/B ratio was not statistically significant except the shoot height and the leaf width in the full-strength solutions. Figure S3. Side by side comparison of Experiment 1 (left) and 2 (right) as a function of PPFD: (a)- (b) Stem diameter; (c)-(d) Leaf length; (e)-(f) Leaf width; (g)-(h) Shoot fresh mass; (i)-(j) Shoot dry mass; (k)-(l) Root dry mass; (m)-(n) Leaf mass ratio; (o)-(p) Root mass ratio; (q)-(r) SPAD. Table S1. Nutrient concentrations (mM) in Experiments 1 and 2 in full-strength (100%), half-strength (50%) and blank (0%) nutrient solutions. Table S2. Result of the regression analysis for Experiments 1 and 2.

Author Contributions

Conceptualization, K.H.A., M.J. and L.B.; methodology, K.H.A. and L.B.; software, L.B.; validation, K.H.A., M.J. and L.B.; investigation, K.H.A. M.J., and L.B.; resources, G.P.K. and C.G.; writing—original draft preparation, K.H.A. and L.B.; writing—review and editing, L.B., M.J., M.K.K. and G.P.K.; visualization, L.B.; project administration, G.P.K.; funding acquisition, C.G. All authors have read and agreed to the published version of the manuscript.

Funding

This research received no external funding.

Data Availability Statement

Not applicable.

Acknowledgments

The authors express their gratitude to Szójamag Ltd. for their contribution of soybean seeds utilized in the experiments. KH acknowledges the support from Stipendium Hungaricum Foundation.

Conflicts of Interest

The authors declare no conflicts of interest.

References

  1. Nair, R.M.; Boddepalli, V.N.; Yan, M.-R.; Kumar, V.; Gill, B.; Pan, R.S.; Wang, C.; Hartman, G.L.; Silva e Souza, R.; Somta, P. Global Status of Vegetable Soybean. Plants 2023, 12, 609. [Google Scholar] [CrossRef] [PubMed]
  2. Sobko, O.; Stahl, A.; Hahn, V.; Zikeli, S.; Claupein, W.; Gruber, S. Environmental Effects on Soybean (Glycine Max (L.) Merr) Production in Central and South Germany. Agronomy 2020, 10, 1847. [Google Scholar] [CrossRef]
  3. Toomer, O.T.; Oviedo, E.O.; Ali, M.; Patino, D.; Joseph, M.; Frinsko, M.; Vu, T.; Maharjan, P.; Fallen, B.; Mian, R. Current Agronomic Practices, Harvest & Post-Harvest Processing of Soybeans (Glycine Max)—A Review. Agronomy 2023, 13, 427. [Google Scholar] [CrossRef]
  4. Li, H.; Liu, H.; Han, Y.; Wu, X.; Teng, W.; Liu, G.; Li, W. Identification of QTL Underlying Vitamin E Contents in Soybean Seed among Multiple Environments. Theor. Appl. Genet. 2010, 120, 1405–1413. [Google Scholar] [CrossRef] [PubMed]
  5. Ghosh, P.K.; Manna, M.C.; Bandyopadhyay, K.K.; Ajay; Tripathi, A.K.; Wanjari, R.H.; Hati, K.M.; Misra, A.K.; Acharya, C.L.; Subba Rao, A. Interspecific Interaction and Nutrient Use in Soybean/Sorghum Intercropping System. Agron. J. 2006, 98, 1097–1108. [Google Scholar] [CrossRef]
  6. Xu, C.; Li, R.; Song, W.; Wu, T.; Sun, S.; Han, T.; Wu, C. High Density and Uniform Plant Distribution Improve Soybean Yield by Regulating Population Uniformity and Canopy Light Interception. Agronomy 2021, 11, 1880. [Google Scholar] [CrossRef]
  7. Bagale, S. Nutrient Management for Soybean Crops. Int. J. Agron. 2021, 2021, 1–10. [Google Scholar] [CrossRef]
  8. Głowacka, A.; Jariene, E.; Flis-Olszewska, E.; Kiełtyka-Dadasiewicz, A. The Effect of Nitrogen and Sulphur Application on Soybean Productivity Traits in Temperate Climates Conditions. Agronomy 2023, 13, 780. [Google Scholar] [CrossRef]
  9. Jones, G.D.; Lutz, J.A.; Smith, T.J. Effects of Phosphorus and Potassium on Soybean Nodules and Seed Yield 1. Agron. J. 1977, 69, 1003–1006. [Google Scholar] [CrossRef]
  10. De Almeida, T.B.F.; Flores, R.A.; De Almeida, H.J.; De Mello Prado, R.; Maranhão, D.D.C.; Politi, L.S. Development and Nutrition of Soybeans with Macronutrients Deficiencies. Commun. Soil Sci. Plant Anal. 2017, 48, 1616–1625. [Google Scholar] [CrossRef]
  11. Banerjee, S.; Roy, P.; Nandi, S.; Roy, S. Advanced Biotechnological Strategies towards the Development of Crops with Enhanced Micronutrient Content. Plant Growth Regul. 2023, 100, 355–371. [Google Scholar] [CrossRef]
  12. Heitholt, J.J.; Sloan, J.J.; MacKown, C.T. COPPER, MANGANESE, AND ZINC FERTILIZATION EFFECTS ON GROWTH OF SOYBEAN ON A CALCAREOUS SOIL. J. Plant Nutr. 2002, 25, 1727–1740. [Google Scholar] [CrossRef]
  13. Santos, C.S.; Roriz, M.; Carvalho, S.M.P.; Vasconcelos, M.W. Iron Partitioning at an Early Growth Stage Impacts Iron Deficiency Responses in Soybean Plants (Glycine Max L.). Front. Plant Sci. 2015, 6. [Google Scholar] [CrossRef]
  14. Oliveira, S.L.; Crusciol, C.A.C.; Rodrigues, V.A.; Galeriani, T.M.; Portugal, J.R.; Bossolani, J.W.; Moretti, L.G.; Calonego, J.C.; Cantarella, H. Molybdenum Foliar Fertilization Improves Photosynthetic Metabolism and Grain Yields of Field-Grown Soybean and Maize. Front. Plant Sci. 2022, 13, 887682. [Google Scholar] [CrossRef]
  15. Massa, G.D.; Kim, H.; Wheeler, R.M.; Mitchell, C.A. Plant Productivity in Response to LED Lighting. HortScience 2008, 43, 1951–1956. [Google Scholar] [CrossRef]
  16. Zhang, J.; Liu, J.; Yang, C.; Du, S.; Yang, W. Photosynthetic Performance of Soybean Plants to Water Deficit under High and Low Light Intensity. South Afr. J. Bot. 2016, 105, 279–287. [Google Scholar] [CrossRef]
  17. Tang, M.; Cheng, W.; Zeng, H.; Zhu, B. Light Intensity Controls Rhizosphere Respiration Rate and Rhizosphere Priming Effect of Soybean and Sunflower. Rhizosphere 2019, 9, 97–105. [Google Scholar] [CrossRef]
  18. Deng, J.; Huang, X.; Chen, J.; Vanholme, B.; Guo, J.; He, Y.; Qin, W.; Zhang, J.; Yang, W.; Liu, J. Shade Stress Triggers Ethylene Biosynthesis to Accelerate Soybean Senescence and Impede Nitrogen Remobilization. Plant Physiol. Biochem. 2024, 210, 108658. [Google Scholar] [CrossRef]
  19. Wen, B.; Hussain, S.; Yang, J.; Wang, S.; Zhang, Y.; Qin, S.; Xu, M.; Yang, W.; Liu, W. Rejuvenating Soybean (Glycine Max L.) Growth and Development through Slight Shading Stress. J. Integr. Agric. 2020, 19, 2439–2450. [Google Scholar] [CrossRef]
  20. Vidal, R.; Gerbaud, A.; Vidal, D. Short-Term Effects of High Light Intensities on Soybean Nodule Activity and Photosynthesis. Environ. Exp. Bot. 1996, 36, 349–357. [Google Scholar] [CrossRef]
  21. Mastropasqua, L.; Dipierro, N.; Paciolla, C. Effects of Darkness and Light Spectra on Nutrients and Pigments in Radish, Soybean, Mung Bean and Pumpkin Sprouts. Antioxidants 2020, 9, 558. [Google Scholar] [CrossRef]
  22. Paradiso, R.; Proietti, S. Light-Quality Manipulation to Control Plant Growth and Photomorphogenesis in Greenhouse Horticulture: The State of the Art and the Opportunities of Modern LED Systems. J. Plant Growth Regul. 2022, 41, 742–780. [Google Scholar] [CrossRef]
  23. Franklin, K.A. Shade avoidance. New Phytol. 2008, 179, 930–944. [Google Scholar] [CrossRef]
  24. Hitz, T.; Hartung, J.; Graeff-Hönninger, S.; Munz, S. Morphological Response of Soybean (Glycine max (L.) Merr.) Cultivars to Light Intensity and Red to Far-Red Ratio. Agronomy 2019, 9, 428. [Google Scholar] [CrossRef]
  25. Hitz, T.; Graeff-Hönninger, S.; Munz, S. Modelling of Soybean (Glycine max (L.) Merr.) Response to Blue Light Intensity in Controlled Environments. Plants 2020, 9, 1757. [Google Scholar] [CrossRef]
  26. Fraser, D.P.; Scott, H.; Franklin, K.A. Photoreceptor crosstalk in shade avoidance. Current Opinion in Plant Biology 2016, 33, 1–7. [Google Scholar] [CrossRef] [PubMed]
  27. Mandal, K.G.; Wanrong, G.; Cai, Z.M.; Duan, L.; Li, Z. Effect of nutrient- N, P and K starvation on root growth of soybean [Glycine max (L.) Merrill] seedlings. Ecology, Environment and Conservation 2014, 20, 459–466. [Google Scholar]
  28. Egamberdieva, D.; Jabborova, D.; Wirth, S.J.; Alam, P.; Alyemeni, M.N.; Ahmad, P. Interactive Effects of Nutrients and Bradyrhizobium japonicum on the Growth and Root Architecture of Soybean (Glycine max L.). Frontiers in Microbiology. 2018, 9, 1000. [Google Scholar] [CrossRef]
  29. García, M..J.; Angulo, M.; Lucena, C.; Pérez-Vicente, R.; Romera, F.J. To grow or not to grow under nutrient scarcity: Target of rapamycin-ethylene is the question. Front. Plant Sci. 2022, 13, 968665. [Google Scholar] [CrossRef]
  30. Joseph, M. Craine, Ray Dybzinski, Mechanisms of plant competition for nutrients, water and light. Functional Ecology 2013, 27, 833–840. [Google Scholar] [CrossRef]
  31. Raza, A.; Asghar, M.A.; Hussain, S.; Bin, C.; Shafiq, I.; Ahmad, I.; Ghafoor, A.; Karim, H.; Iqbal, T.; Yang, W.; et al. Optimal NH4+/NO3− Ratios Enhance the Shade Tolerance of Soybean Seedlings under Low Light Conditions. Plant Biology 2021, 23, 464–472. [Google Scholar] [CrossRef] [PubMed]
  32. Vos, J.; Evers, J.B.; Buck-Sorlin, G.H.; Andrieu, B.; Chelle, M.; de Visser, P.H.B. Functional–Structural Plant Modelling: A New Versatile Tool in Crop Science. Journal of Experimental Botany 2010, 61, 2101–2115. [Google Scholar] [CrossRef]
  33. Coussement, J.; Henke, M.; Lootens, P.; Roldán-Ruiz, I.; Steppe, K.; De Swaef, T. Modelling Leaf Spectral Properties in a Soybean Functional–Structural Plant Model by Integrating the Prospect Radiative Transfer Model. Annals of Botany 2018, 122, 669–676. [Google Scholar] [CrossRef]
  34. Delattre, M.; Toda, Y.; Tressou, J.; Iwata, H. Modeling Soybean Growth: A Mixed Model Approach. PLOS Computational Biology 2024, 20, e1011258. [Google Scholar] [CrossRef]
  35. Balázs, L.; Kovács, G.P.; Gyuricza, C.; Piroska, P.; Tarnawa, Á.; Kende, Z. Quantifying the Effect of Light Intensity Uniformity on the Crop Yield by Pea Microgreens Growth Experiments. Horticulturae 2023, 9, 1187. [Google Scholar] [CrossRef]
  36. Sakare, P.; Jadhav, M.L.; John, H. Study on Physical Properties of Soaked Soybean and Functional Properties of Germinated Soy Flour. J. Inst. Eng. India Ser. A 2020, 101, 787–794. [Google Scholar] [CrossRef]
  37. Abd Ghani, R.; Omar, S.; Jolánkai, M.; Tarnawa, Á.; Khalid, N.; Kassai, M.K.; Kende, Z. Response of Shoot and Root Growth, Yield, and Chemical Composition to Nutrient Concentrations in Soybean Varieties Grown under Soilless and Controlled Environment Conditions. Agriculture 2023, 13, 1925. [Google Scholar] [CrossRef]
  38. Wei, B.; Ma, X.; Guan, H.; Yu, M.; Yang, C.; He, H.; Wang, F.; Shen, P. Dynamic Simulation of Leaf Area Index for the Soybean Canopy Based on 3D Reconstruction. Ecol. Inform. 2023, 75, 102070. [Google Scholar] [CrossRef]
  39. Polthanee, A.; Promsaena, K.; Laoken, A. Influence of Low Light Intensity on Growth and Yield of Four Soybean Cultivars during Wet and Dry Seasons of Northeast Thailand. Agric. Sci. 2011, 02, 61–67. [Google Scholar] [CrossRef]
  40. Sinclair, T.R. Soybean Development as Influenced by Illuminance during Extended Daylengths. Field Crops Research 1993, 31, 101–109. [Google Scholar] [CrossRef]
  41. Wu, Y.; Gong, W.; Yang, F.; Wang, X.; Yong, T.; Yang, W. Responses to Shade and Subsequent Recovery of Soya Bean in Maize-Soya Bean Relay Strip Intercropping. Plant Production Science 2016, 19, 206–214. [Google Scholar] [CrossRef]
  42. Major, D.J.; Johnson, D.R. Effect of Light Intensity on the Development of Field Grown Soybeans. Crop Science 1974, 14, cropsci1974.0011183X001400060019x. [Google Scholar] [CrossRef]
  43. Yang, F.; Feng, L.; Liu, Q.; Wu, X.; Fan, Y.; Raza, M.A.; Cheng, Y.; Chen, J.; Wang, X.; Yong, T.; et al. Effect of Interactions between Light Intensity and Red-to- Far-Red Ratio on the Photosynthesis of Soybean Leaves under Shade Condition. Environmental and Experimental Botany 2018, 150, 79–87. [Google Scholar] [CrossRef]
  44. Qiang, B.; Zhou, W.; Zhong, X.; Fu, C.; Cao, L.; Zhang, Y.; Jin, X. Effect of Nitrogen Application Levels on Photosynthetic Nitrogen Distribution and Use Efficiency in Soybean Seedling Leaves. J. Plant Physiol. 2023, 287, 154051. [Google Scholar] [CrossRef]
  45. Feng, L.; Raza, M.A.; Li, Z.; Chen, Y.; Khalid, M.H.B.; Du, J.; Liu, W.; Wu, X.; Song, C.; Yu, L.; et al. The Influence of Light Intensity and Leaf Movement on Photosynthesis Characteristics and Carbon Balance of Soybean. Front. Plant Sci. 2019, 9, 1952. [Google Scholar] [CrossRef]
  46. Fritschi, F.B.; Ray, J.D. Soybean Leaf Nitrogen, Chlorophyll Content, and Chlorophyll a/b Ratio. Photosynthetica 2007, 45, 92–98. [Google Scholar] [CrossRef]
  47. Ma, B.L.; Morrison, M.J.; Voldeng, H.D. Leaf Greenness and Photosynthetic Rates in Soybean. Crop Science 1995, 35, cropsci1995.0011183X003500050025x. [Google Scholar] [CrossRef]
  48. Bawa, G.; Chen, G.; Shi, J.; Ping, C.; Feng, L.; Pu, T.; Yang, H.; Chen, H.; Kai, S.; Hu, Y.; et al. Further Insights into How Low-Light Signaling Delays Leaf Senescence in Soybean under High-Temperature. Environ. Exp. Bot. 2021, 188, 104516. [Google Scholar] [CrossRef]
  49. Pierik, R.; de Wit, M. Shade avoidance: Phytochrome signalling and other aboveground neighbour detection cues. J. Exp. Bot. 2014, 65, 2815–2824. [Google Scholar] [CrossRef]
  50. Yu, X.; Liu, H.; Klejnot, J.; Lin, C. The cryptochrome blue light receptors. Arabidopsis Book 2010, 8, e0135. [Google Scholar] [CrossRef]
  51. Dougher TA, Bugbee B. Differences in the response of wheat, soybean and lettuce to reduced blue radiation. Photochem Photobiol. 2001, 73, 199–207. [CrossRef]
  52. Britz, S.J.; Sager, J.C. Photomorphogenesis and Photoassimilation in Soybean and Sorghum Grown under Broad Spectrum or Blue-Deficient Light Sources. Plant Physiology 1990, 94, 448–454. [Google Scholar] [CrossRef]
  53. Cope, K.R.; Bugbee, B. Spectral Effects of Three Types of White Light-Emitting Diodes on Plant Growth and Development: Absolute versus Relative Amounts of Blue Light. HortiScience 2013, 48, 504–509. [Google Scholar] [CrossRef]
  54. Snowden, M.C.; Cope, K.R.; Bugbee, B. Sensitivity of Seven Diverse Species to Blue and Green Light: Interactions with Photon Flux. PLOS ONE 2016, 11, e0163121. [Google Scholar] [CrossRef]
  55. Gong, W.Z.; Jiang, C.D.; Wu, Y.S.; Chen, H.H.; Liu, W.Y.; Yang, W.Y. Tolerance vs. avoidance: Two strategies of soybean (Glycine max) seedlings in response to shade in intercropping. Photosynthetica 2015, 53, 259–268. [Google Scholar] [CrossRef]
  56. Park, Y.; Runkle, E.S. Far-red radiation and photosynthetic photon flux density independently regulate seedling growth but interactively regulate flowering. Environ. Exp. Bot. 2018, 155, 206–216. [Google Scholar] [CrossRef]
  57. Jähne, F.; Hahn, V.; Würschum, T.; Leiser, W.L. Speed Breeding Short-Day Crops by LED-Controlled Light Schemes. Theor Appl Genet 2020, 133, 2335–2342. [Google Scholar] [CrossRef] [PubMed]
  58. Sano, T.; Horie, H.; Matsunaga, A.; Hirono, Y. Effect of shading intensity on morphological and color traits and on chemical components of new tea (Camellia sinensis L.) shoots under direct covering cultivation. J. Sci. Food Agric. 2018, 98, 5666–5676. [Google Scholar] [CrossRef]
Figure 1. Top view of cultivation trays (gray rectangles) under one lighting arrangement. The blue circles represent the position of seedlings in a 7×12 matrix. The red rectangle illustrates a group of 7 individual seedlings growing under the same lighting conditions in the same nutrient solution. Measured plant parameters are the average values of the 7 replicates associated with the same values of the environmental parameters.
Figure 1. Top view of cultivation trays (gray rectangles) under one lighting arrangement. The blue circles represent the position of seedlings in a 7×12 matrix. The red rectangle illustrates a group of 7 individual seedlings growing under the same lighting conditions in the same nutrient solution. Measured plant parameters are the average values of the 7 replicates associated with the same values of the environmental parameters.
Preprints 155536 g001
Figure 2. Spatial distribution of photon irradiance parameters measured on the cultivation trays of Experiment 1: (a) PPFD [µmol m-2 s-1]; (b) Red/Blue (R/B) photon irradiance ratio. The codes above the heatmaps denote the cultivation trays and the associated treatments.
Figure 2. Spatial distribution of photon irradiance parameters measured on the cultivation trays of Experiment 1: (a) PPFD [µmol m-2 s-1]; (b) Red/Blue (R/B) photon irradiance ratio. The codes above the heatmaps denote the cultivation trays and the associated treatments.
Preprints 155536 g002
Figure 3. Soybean seedlings grown without added nutrients: (a) A0_11, high light intensity, uniform PPFD distribution; (b) B0_11, nonuniform PPFD distribution. Discoloration of leaves indicate the nutrient deficiency symptoms.
Figure 3. Soybean seedlings grown without added nutrients: (a) A0_11, high light intensity, uniform PPFD distribution; (b) B0_11, nonuniform PPFD distribution. Discoloration of leaves indicate the nutrient deficiency symptoms.
Preprints 155536 g003
Figure 4. Soybean shoot height as a function of: (a) Blue (400-500 nm) photon irradiance; (b) Electrical conductivity of the nutrient solution. The vertical dotted line indicates a 40 µmol m-2 s-1 threshold beyond which the shoot height did not change significantly. Data points in (b) refer to plants exposed to > 40 µmol m-2 s-1 blue photon irradiance. Marker colors denote solution strength. Red: full-strength (100%), blue: half-strength (50%), green: blank (0%) nutrient solution.
Figure 4. Soybean shoot height as a function of: (a) Blue (400-500 nm) photon irradiance; (b) Electrical conductivity of the nutrient solution. The vertical dotted line indicates a 40 µmol m-2 s-1 threshold beyond which the shoot height did not change significantly. Data points in (b) refer to plants exposed to > 40 µmol m-2 s-1 blue photon irradiance. Marker colors denote solution strength. Red: full-strength (100%), blue: half-strength (50%), green: blank (0%) nutrient solution.
Preprints 155536 g004
Figure 5. First internode length of soybean as a function of: (a) Blue (400-500 nm) photon irradiance; (b) Electrical Conductivity of the nutrient solution. The vertical dotted line indicates a 40 µmol m-2 s-1 threshold beyond which first the internode length did not change. Data points in (b) refer to plants exposed to > 40 µmol m-2 s-1 blue photon irradiance.
Figure 5. First internode length of soybean as a function of: (a) Blue (400-500 nm) photon irradiance; (b) Electrical Conductivity of the nutrient solution. The vertical dotted line indicates a 40 µmol m-2 s-1 threshold beyond which first the internode length did not change. Data points in (b) refer to plants exposed to > 40 µmol m-2 s-1 blue photon irradiance.
Preprints 155536 g005
Figure 6. Soybean stem diameter as a function of: (a) PPFD; (b) Electrical Conductivity of the nutrient solution.
Figure 6. Soybean stem diameter as a function of: (a) PPFD; (b) Electrical Conductivity of the nutrient solution.
Preprints 155536 g006
Figure 7. Soybean leaf width as a function of: (a) PPFD; (b) Electrical Conductivity of the nutrient solution.
Figure 7. Soybean leaf width as a function of: (a) PPFD; (b) Electrical Conductivity of the nutrient solution.
Preprints 155536 g007
Figure 8. Shoot dry mass of soybean as a function of: (a) PPFD; (b) Electrical Conductivity of the nutrient solution.
Figure 8. Shoot dry mass of soybean as a function of: (a) PPFD; (b) Electrical Conductivity of the nutrient solution.
Preprints 155536 g008
Figure 9. Root Dry Mass of soybean as a function of: (a) PPFD; (b) Electrical Conductivity of the nutrient solution.
Figure 9. Root Dry Mass of soybean as a function of: (a) PPFD; (b) Electrical Conductivity of the nutrient solution.
Preprints 155536 g009
Figure 10. SPAD values measured on soybean leaves as a function of: (a) PPFD; (b) Electrical Conductivity of the nutrient solution.
Figure 10. SPAD values measured on soybean leaves as a function of: (a) PPFD; (b) Electrical Conductivity of the nutrient solution.
Preprints 155536 g010
Figure 11. Leaf mass ratio as a function of: (a) PPFD; (b) Electrical Conductivity of the nutrient solution.
Figure 11. Leaf mass ratio as a function of: (a) PPFD; (b) Electrical Conductivity of the nutrient solution.
Preprints 155536 g011
Figure 12. Root mass ratio as a function of: (a) PPFD; (b) Electrical Conductivity of the nutrient solution.
Figure 12. Root mass ratio as a function of: (a) PPFD; (b) Electrical Conductivity of the nutrient solution.
Preprints 155536 g012
Table 1. Experimental design.
Table 1. Experimental design.
Experiment Lighting variable Nutrient dose Tray PPFD [µmol m-2 s-1] R/B EC [dS/m]
1 A - R/B 0% A0_11 276±11 1.4…4.1 0.526
A - R/B 50% A50_11 247±7 1.3…4.0 0.857
A - R/B 100% A100_11 241±5 1.3…4.2 1.450
B - PPFD 0% B0_11 78…244 4.3±0.1 0.519
B - PPFD 50% B50_11 70…217 4.3±0.3 0.985
B - PPFD 100% B100_11 72…261 4.4±0.2 1.564
2 A - R/B 0% A0_21 110±2 0.6…5.2 0.722
A0_22 114±3 0.6…5.5 0.722
A - R/B 50% A50_21 115±3 0.6…4.5 1,305
A50_22 111±3 0.6…5.7 1,305
A50_23 101±2 0.6…6.4 1,305
A - R/B 100% A100_21 127±5 0.6…4.6 1.868
A100_22 107±2 0.7…5.3 1.868
A100_23 119±4 0.6…6.0 1.868
B - PPFD 0% B0_21 32…129 3.9±0.3 0,722
B0_22 38…148 3.8±0.2 0.722
B - PPFD 50% B50_21 34…113 3.4±0.2 1.305
B50_22 39…151 3.8±0.2 1.305
B50_23 35…122 3.6±0.2 1.305
B - PPFD 100% B100_21 37…128 3.6±0.2 1.868
B100_22 34…111 3.5±0.2 1.868
B100_23 29…124 3.8±0.3 1.868
Disclaimer/Publisher’s Note: The statements, opinions and data contained in all publications are solely those of the individual author(s) and contributor(s) and not of MDPI and/or the editor(s). MDPI and/or the editor(s) disclaim responsibility for any injury to people or property resulting from any ideas, methods, instructions or products referred to in the content.
Copyright: This open access article is published under a Creative Commons CC BY 4.0 license, which permit the free download, distribution, and reuse, provided that the author and preprint are cited in any reuse.
Prerpints.org logo

Preprints.org is a free preprint server supported by MDPI in Basel, Switzerland.

Subscribe

Disclaimer

Terms of Use

Privacy Policy

Privacy Settings

© 2026 MDPI (Basel, Switzerland) unless otherwise stated