Submitted:
09 April 2025
Posted:
10 April 2025
You are already at the latest version
Abstract
Keywords:
Introduction
Materials and Methods
Water Sampling
Bacterial Culture Identification (ISO Methods)
Bacterisk Assay
Sequencing Analysis
qPCR
Determination of Uncertainty of Measurement (UoM)
Statistical Analysis
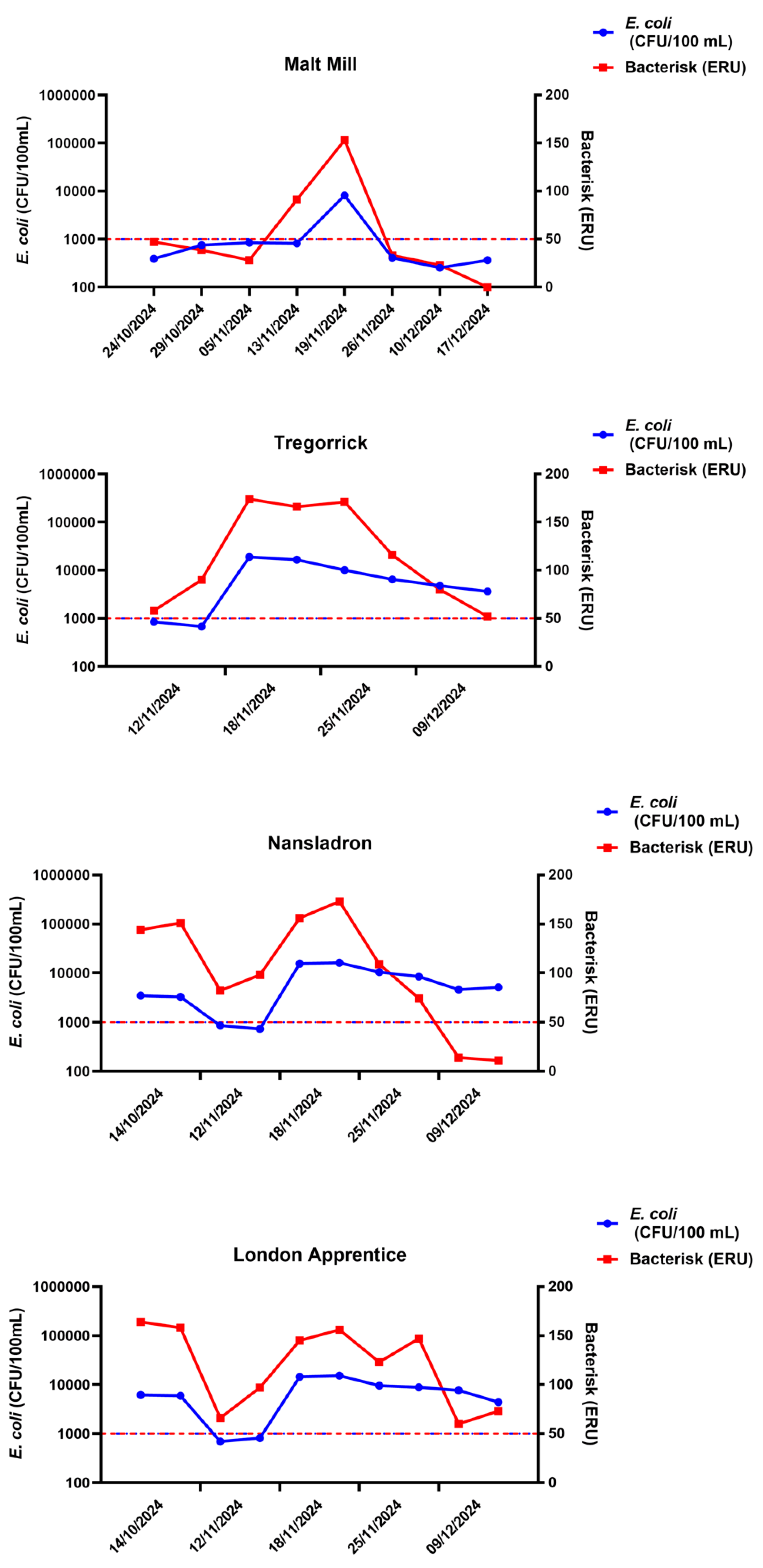
Results
Discussion
Conclusion
Supplementary Materials
Acknowledgements
References
- Anderson KL, Whitlock JE, Valerie J, Harwood VJ. 2005. Persistence and differential survival of fecal indicator bacteria in subtropical waters and sediments. Appl Environ Microbiol 71:3041–3048. [CrossRef]
- Anwar, M.A.; Choi, S. Gram-negative marine bacteria: Structural features of lipopolysaccharides and their relevance for economically important diseases. Mar. Drugs 2014, 12, 2485–2514. [CrossRef]
- Ayi B. Infections Acquired via Fresh Water: From Lakes to Hot Tubs. Microbiol Spectr. 2015 Dec;3(6). [CrossRef]
- Bernhard AE, Field KG. 2000. A PCR assay to discriminate human and ruminant feces on the basis of host differences in Bacteroides-Prevotella genes encoding 16S rRNA. Appl Environ Microbiol 66:4571–4574. [CrossRef]
- Boehm, A.B., Soller, J.A. (2013). Recreational Water Risk: Pathogens and Fecal Indicators. In: Laws, E. (eds) Environmental Toxicology. Springer, New York, NY.
- Brandão, João et al. “Climate Change Impacts on Microbiota in Beach Sand and Water: Looking Ahead.” International journal of environmental research and public health vol. 19,3 1444. 27 Jan. 2022. [CrossRef]
- Byappanahalli M, Fowler M, Shively D, Whitman R. Ubiquity and persistence of Escherichia coli in a Midwestern coastal stream. Appl Environ Microbiol. 2003;69:4549–4555. [CrossRef]
- Byappanahalli MN, Nevers MB, Korajkic A, Staley ZR, Harwood VJ. 2012. Enterococci in the environment. Microbiol Mol Biol Rev 76:685–706. [CrossRef]
- Dick LK, Simonich MT, Field KG. 2005. Microplate subtractive hybridization to enrich for Bacteroidales genetic markers for fecal source identification. Appl Environ Microbiol 71:3179–3183. [CrossRef]
- European Parliament and Council. (2006). Directive 2006/7/EC concerning the management of bathing water quality and repealing Directive 76/160/EEC. Official Journal of the European Union, L 64, 37–51.
- Evans, T.M.; Schillinger, J.E.; Stuart, D.G. Rapid determination of bacteriological water quality by using imulus lysate. Appl. Environ. Microbiol. 1978, 35, 376–382. [CrossRef]
- Farrell, M. L., Chueiri, A., O'Connor, L., Duane, S., Maguire, M., Miliotis, G., Cormican, M., Hooban, B., Leonard, A., Gaze, W. H., Devane, G., Tuohy, A., Burke, L. P., & Morris, D. (2023). Assessing the impact of recreational water use on carriage of antimicrobial resistant organisms. The Science of the total environment, 888, 164201. [CrossRef]
- Farrell, M. L., Chueiri, A., O'Connor, L., Duane, S., Maguire, M., Miliotis, G., Cormican, M., Hooban, B., Leonard, A., Gaze, W. H., Devane, G., Tuohy, A., Burke, L. P., & Morris, D. (2023). Assessing the impact of recreational water use on carriage of antimicrobial resistant organisms. The Science of the total environment, 888, 164201. [CrossRef]
- Ferguson DM, Moore DF, Getrich MA, Zhowandai MH. 2005. Enumeration and speciation of enterococci found in marine and intertidal sediments and coastal water in southern California. J Appl Microbiol 99:598–608. [CrossRef]
- Fewtrell L, Kay D. Recreational Water and Infection: A Review of Recent Findings. Curr Environ Health Rep. 2015 Mar;2(1):85-94. [CrossRef]
- Field KG, Samadpour M. Fecal source tracking, the indicator paradigm, and managing water quality. Water Res. 2007;41:3517–3538. [CrossRef]
- Flood C, Ufnar J, Wang S, Johnson J, Carr M, Ellender R. 2011. Lack of correlation between enterococcal counts and the presence of human specific fecal markers in Mississippi creek and coastal waters. Water Res 45:872–878. [CrossRef]
- Good CR, White A, Brandao J, Jackson S. Endotoxin, a novel biomarker for the rapid risk assessment of faecal contamination of coastal and transitional waters. J Water Health. 2024 Jun;22(6):1044-1052. [CrossRef]
- Griffith JF, Weisberg SB, Arnold BF, Cao Y, Schiff KC, Colford JM. Epidemiologic evaluation of multiple alternate microbial water quality monitoring indicators at three California beaches. Water Res. 2016;94:371–381. [CrossRef]
- Guida, M., Di Onofrio, V., Gallè, F., Gesuele, R., Valeriani, F., Liguori, R., Romano Spica, V., & Liguori, G. (2016). Pseudomonas aeruginosa in Swimming Pool Water: Evidences and Perspectives for a New Control Strategy. International journal of environmental research and public health, 13(9), 919. [CrossRef]
- Haas, C.N.; Meyer, M.A.; Paller, M.S.; Zapkin, M.A. The utility of endotoxins as a surrogate indicator in potable water microbiology. Water Res. 1983, 17, 803–807. [CrossRef]
- Han, Q., Wang, Y., Li, Y., Qiao, W., & Wu, X. (2022). Antimicrobial resistance genes and bacterial communities in recreational coastal waters and adjacent estuaries: Evidence from Qinhuangdao, China. Frontiers in Marine Science, 9, 976438.
- Harwood VJ, Staley C, Badgley BD, Borges K, Korajkic A. 2014. Microbial source tracking markers for detection of fecal contamination in environmental waters: relationships between pathogens and human health outcomes. FEMS Microbiol Rev 38:1–40. [CrossRef]
- Hlavsa MC, Aluko SK, Miller AD, et al. Outbreaks Associated with Treated Recreational Water — United States, 2015–2019. MMWR Morb Mortal Wkly Rep 2021;70:733–738. [CrossRef]
- Holcomb, D. A., & Stewart, J. R. (2020). Microbial Indicators of Fecal Pollution: Recent Progress and Challenges in Assessing Water Quality. Current environmental health reports, 7(3), 311–324. [CrossRef]
- Jeng HC, Sinclair R, Daniels R, Englande AJ. 2005. Survival of Enterococci faecalis in estuarine sediments. Int J Environ Stud 62:283–291. [CrossRef]
- Jorgensen, J.H.; Lee, J.C.; Alexander, G.A.; Wolf, H.W. Comparison of Limulus assay, standard plate count, and total coliform count for microbiological assessment of renovated wastewater. Appl. Environ. Microbiol. 1979, 37, 928–931. [CrossRef]
- Korajkic A, McMinn B, Harwood V. Relationships between microbial indicators and pathogens in recreational water settings. Int J Environ Res Public Health. 2018;15:2842. [CrossRef]
- Korajkic A, Wanjugi P, Brooks L, Cao Y, Harwood VJ. Persistence and decay of fecal microbiota in aquatic habitats. Microbiol Mol Biol Rev. 2019;83. [CrossRef]
- Leonard, A. F., Zhang, L., Balfour, A. J., Garside, R., & Gaze, W. H. (2015). Human recreational exposure to antibiotic resistant bacteria in coastal bathing waters. Environment international, 82, 92–100. [CrossRef]
- Li, Y., Zhang, C., Mou, X., Zhang, P., Liang, J., & Wang, Z. (2022). Distribution characteristics of antibiotic-resistant bacteria and related genes in urban recreational lakes replenished by different supplementary water sources. Water Science & Technology, 85(4), 1176–1190. [CrossRef]
- Liu J, Kabir F, Manneh J, Lertsethtakarm P, Begum S, Gratz J, et al. Development and assessment of molecular diagnostic tests for 15 enteropathogens causing childhood diarrhoea: a multicentre study. Lancet Infect Dis. 2014;14:716–724. [CrossRef]
- Magnusson,B, T. Näykki, H. Hovind, M. Krysell, E. Sahlin, Handbook for calculation of measurement uncertainty in environmental laboratories, Nordtest Report TR 537 (ed. 4) 2017.
- Mena, K. D., & Gerba, C. P. (2009). Risk assessment of Pseudomonas aeruginosa in water. Reviews of environmental contamination and toxicology, 201, 71–115. [CrossRef]
- Nahm, F. S. 2022 Receiver operating characteristic curve: Overview and practical use for clinicians. Korean Journal of Anesthesiology 75 (1), 25–36. [CrossRef]
- National Academies of Sciences, Engineering, and Medicine; Health and Medicine Division; Division on Earth and Life Studies; Board on Population Health and Public Health Practice; Board on Life Sciences; Water Science and Technology Board; Committee on Management of Legionella in Water Systems. Management of Legionella in Water Systems. National Academies Press (US), 14 August 2019.
- Oh S, Buddenborg S, Yoder-Himes DR, Tiedje JM, Konstantinidis KT. Genomic diversity of Escherichia isolates from diverse habitats. PLoS One. 2012;7:e47005. [CrossRef]
- Pantazidou, G., Dimitrakopoulou, M. E., Kotsalou, C., Velissari, J., & Vantarakis, A. (2022). Risk analysis of otitis externa (swimmer's ear) in children pool swimmers: A case study from Greece. Water, 14(13), 1983. [CrossRef]
- Rodrigues, C., Cunha, M.Â. Assessment of the microbiological quality of recreational waters: indicators and methods. Euro-Mediterr J Environ Integr 2, 25 (2017). [CrossRef]
- Sampaio, A.; Silva, V.; Poeta, P.; Aonofriesei, F. Vibrio spp.: Life Strategies, Ecology, and Risks in a Changing Environment. Diversity 2022, 14, 97. [CrossRef]
- Santoro AE, Boehm AB. 2007. Frequent occurrence of the human-specific Bacteroides fecal marker at an open coast marine beach: relationship to waves, tides and traditional indicators. Environ Microbiol 9:2038–2049. [CrossRef]
- Sattar, A.A., Good, C.R., Saletes, M.; Brandao, J.; Jackson, S.K. Endotoxin as a Marker for Water Quality. Int. J. Environ. Res. Public Health 2022, 19. [CrossRef]
- Sattar, A.A.; Abate, W.; Fejer, G.; Bradley, G.; Jackson, S.K. Evaluation of the proinflammatory effects of contaminated bathing water. J. Toxicol. Environ. Health A 2019, 82, 1076–1087. [CrossRef]
- Sattar, A.A.; Jackson, S.K.; Bradley, G. The potential of lipopolysaccharide as a real-time biomarker of bacterial contamination in marine bathing water. J. Water Health 2014, 12, 105–112. [CrossRef]
- Schriewer A, Goodwin KD, Sinigalliano CD, Cox AM, Wanless D, Bartkowiak J, Ebentier DL, Hanley KT, Ervin J, Deering LA, Shanks OC, Peed LA, Meijer WG, Griffith JF, SantoDomingo J, Jay JA, Holden PA, Wuertz S. 2013. Performance evaluation of canine associated Bacteroidales assays in a multi-laboratory comparison study. Water Res 47:6909–6920. [CrossRef]
- Schriewer A, Miller WA, Byrne BA, Miller MA, Oates S, Conrad PA, Hardin D, Yang HH, Chouicha N, Melli A, Jessup D, Dominik C, Wuertz S. 2010. Presence of Bacteroidales as a predictor of pathogens in surface waters of the central California coast. Appl Environ Microbiol 76:5802–5814. [CrossRef]
- Shahraki AH, Heath D, Chaganti SR. Recreational water monitoring: nanofluidic qRT-PCR chip for assessing beach water safety. Environ DNA. 2019. [CrossRef]
- Singh, A., Srivastava, A., Pandey, S., & Shukla, R. (2022). Antimicrobials and antimicrobial resistance genes in the environment: A review on their occurrence and spread through wastewater and natural water. Frontiers in Environmental Science, 10, 830861. [CrossRef]
- Stec, J., Kosikowska, U., Mendrycka, M., Stępień-Pyśniak, D., Niedźwiedzka-Rystwej, P., Bębnowska, D., Hrynkiewicz, R., Ziętara-Wysocka, J., & Grywalska, E. (2022). Opportunistic Pathogens of Recreational Waters with Emphasis on Antimicrobial Resistance-A Possible Subject of Human Health Concern. International journal of environmental research and public health, 19(12), 7308. [CrossRef]
- Stewart JR, Boehm AB, Dubinsky EA, Fong T-T, Goodwin KD, Griffith JF, et al. Recommendations following a multi-laboratory comparison of microbial source tracking methods. Water Res. 2013;47:6829–6838. [CrossRef]
- Stewart JR, Gast RJ, Fujioka RS, Solo-Gabriele HM, Meschke JS, Amaral-Zettler LA, et al. The coastal environment and human health: microbial indicators, pathogens, sentinels and reservoirs. Environ Health. 2008;7:S3. [CrossRef]
- Topić, N., Cenov, A., Jozić, S., Glad, M., Mance, D., Lušić, D., Kapetanović, D., Mance, D. and Vukić Lušić, D. 2021. Staphylococcus aureus-An Additional Parameter of Bathing Water Quality for Crowded Urban Beaches. Int J Environ Res Public Health 18(10), 5234. [CrossRef]
- Wade, T. J., Sams, E., Brenner, K. P., Haugland, R., Chern, E., Beach, M., Wymer, L., Rankin, C. C., Love, D., Li, Q., Noble, R., & Dufour, A. P. (2010). Rapidly measured indicators of recreational water quality and swimming-associated illness at marine beaches: a prospective cohort study. Environmental health: a global access science source, 9, 66. [CrossRef]
- WHO Guidelines on recreational water quality. Volume 1: coastal and fresh waters. Geneva: World Health Organization; 2021.
- Wu J, Long SC, Das D, Dorner SM. Are microbial indicators and pathogens correlated? A statistical analysis of 40 years of research. J Water Health. 2011;9:265. [CrossRef]




| ERU limit | Degrees of Freedom (df) | Fixed k=2 | Fixed k=1.96 | Varying k based on df | Expanded UoM |
| 20 | 287 | 31.94% | 31.30% | 1.968264 | 31.43% |
| 25 | 249 | 22.41% | 21.97% | 1.969537 | 22.07% |
| 30 | 199 | 15.87% | 15.56% | 1.971957 | 15.65% |
Disclaimer/Publisher’s Note: The statements, opinions and data contained in all publications are solely those of the individual author(s) and contributor(s) and not of MDPI and/or the editor(s). MDPI and/or the editor(s) disclaim responsibility for any injury to people or property resulting from any ideas, methods, instructions or products referred to in the content. |
© 2025 by the authors. Licensee MDPI, Basel, Switzerland. This article is an open access article distributed under the terms and conditions of the Creative Commons Attribution (CC BY) license (http://creativecommons.org/licenses/by/4.0/).